Influence of the process of damage accumulation on the asymptotic behavior of stress fields under creep conditions of a sample with a central crack
- Authors: Bykova Y.S.1, Stepanova L.V.1
-
Affiliations:
- Samara National Research University
- Issue: Vol 29, No 4 (2023)
- Pages: 7-25
- Section: Mechanics
- URL: https://journals.rcsi.science/2541-7525/article/view/310426
- DOI: https://doi.org/10.18287/2541-7525-2023-29-4-7-25
- ID: 310426
Cite item
Full Text
Abstract
The present study describes the influence of the mutual effect of damage accumulation on the stress fields at the central crack tip in the plate subjected to uniaxial tension. The objective of the study is to analyze the cracked plate experiencing uniaxial loading under creep conditions using the CAE software SIMULIA ABAQUS taking into account the damage accumulation processes near the crack tip. Computations were performed by means of the user procedure UMAT (User material), which is based on the Bailey-Norton creep power law and the Kachanov — Rabotnov damage evolution equation describing the power-law damage accumulation processes. The analysis of the obtained results showed that in the creep and elasticity zones, in computations without taking into account the damage effect, there are asymptotics of stress fields that correspond to well-known analytical solutions of fracture mechanics (Hutchinson — Rice — Rosengren asymptotics for the creep zone, the asymptotics of linear fracture mechanics corresponding to the stress dependence. inversely proportional to the square root of the distance from the tip of the crack – for the zone of elastic behavior of the material. The presence of damage in the cracked specimen affected the asymptotic behavior of the crack tip fields. It is felt that the proposed procedure could pave the way for the analytical solution of the boundary value problem and allow us to determine the structure of the asymptotic solution of the problem. The finite element analysis clearly shows that the process of damage accumulation affects the change in the asymptotic behavior of the stress field in the vicinity of the crack tip and leads to a new asymptotic distribution of the stress tensor components. The proposed procedure can pave the way to an analytical solution of the boundary value problem and allow us to determine the structure of the asymptotic solution of the problem.
Keywords
Full Text
Введение
Проектирование и создание изделий, обладающих хорошей надежностью и работоспособностью, являются неотъемлемым требованием в машиностроении и промышленности [1; 2]. Элементы авиационных конструкций, электростанций, тепловых и газовых турбин, детали автомобильной промышленности обычно подвергаются механическим нагрузкам при высокой температуре. В этой неблагоприятной среде скорость деградации механических свойств материала возрастает из-за комбинированного воздействия механической и температурной нагрузки. Поэтому несомненно актуальным является изучение влияния таких неблагоприятных условий на компоненты для обеспечения их безопасности и долговечности. Правильный выбор материала или их совокупности позволяет достичь высоких прочностных и эксплуатационных характеристик изготавливаемых деталей или конструкций. Так, например, в авиационной отрасли для создания высоконагруженных деталей используются алюминиевые и титановые сплавы, а для снижения веса и продления срока эксплуатации — композитные материалы [3].
Положения и представления континуальной механики поврежденности являются одними из современных авторитетных подходов, которые привлекают внимание исследователей к изучению разрушения в условиях ползучести посредством учета влияния накопления повреждений [4; 5]. Основы континуальной механики поврежденности были заложены Л.М. Качановым и Ю.Н. Работновым, впоследствии она сформировалась в самостоятельную область механики [4; 5] и вобрала в себя основополагающие концепции [6–8] и новые результаты [9–14].
В настоящее время особый интерес представляют исследования деформационного поведения новых материалов, подверженных сложным температурно-механическим видам нагружения [15; 16]. Проведение натурных испытаний и экспериментов не позволяет в полной мере получить данные о механизмах деформации и изменении внутренней структуры материала в условиях активного нагружения, так как большинство экспериментальных методик основано на анализе состояния структуры материала только после снятия всех внешних нагрузок [17]. Исходя из этого, в дополнение к эксперименту важным инструментом в изучении поведения материалов становится использование цифровых расчетных моделей. Создание таких моделей осуществляется с помощью расчетных программных комплексов (Computer-Aided Engineering), в основе которых лежат численные методы и методы конечно-элементного моделирования [8; 11–14; 18–21].
Ввиду ограниченности вычислительных мощностей долгое время расчеты производились на основе упрощенных физических моделей материалов, которые не учитывали их реальные свойства (нелинейные, термические, анизотропия и т. п.). Сегодня стремительное развитие информационных и компьютерных технологий открыло большие возможности для моделирования сложных процессов и позволило применять на практике разнообразные теоретические исследования, которые создавались не одно десятилетие известными учеными [11–14]. Современные расчетные программные комплексы как иностранные (ANSYS, Siemens Simcenter 3D, Simulia ABAQUS), так и отечественные (ЛОГОС [22], APM WinMachine [23], FIDESYS [24]) содержат достаточно широкую базу данных о материалах и законах их поведения, а также обладают инструментом для внедрения пользовательских подпрограмм и модулей. Они представляют собой мощный инструмент для инженеров и исследователей в области механики твердого тела, биомеханики, строительной механики и материаловедения. В частности, с помощью пользовательской подпрограммы UMAT (Simulia ABAQUS) [25; 26] можно инкорпорировать в расчет собственную модель поведения материала. Таким образом, объединение возможностей современных расчетных комплексов с теоретическими знаниями позволяет создавать новые методики для оценки напряженно-деформированного состояния изделий с использованием реальных свойств материалов.
В представленной работе анализируются результаты, полученные для пластины с центральной трещиной, рассчитанные с помощью созданной пользовательской подпрограммы UMAT программного комплекса Simulia ABAQUS. В основе данной подпрограммы лежат определяющие соотношения, описывающие изотропное поведение материала в условиях ползучести, включающие в себя скалярную величину — параметр сплошности, определяющий процесс накопления повреждений. В работе построены распределения полей напряжения на продолжении трещины с учетом процесса накопления повреждений в материале, определены асимптотики напряжений и сплошности в областях установившейся ползучести и в областях чисто упругого поведения материала.
1. Понятие ползучести материалов и процесса накопления повреждений
Появление трещин и разрушение конструкций во многих случаях вызваны явлением ползучести, где под термином «ползучесть» понимается процесс нарастания остаточной деформации во времени при постоянном значении нагрузки [27]. В технической литературе часто встречается термин «вязкоупругость», что является аналогом эффекта ползучести [28]. Так, например, обрушение Всемирного торгового центра было связано с ползучестью в условиях высоких температур [29]. Ползучесть эпоксидного анкерного клея стала причиной разрушения потолка туннеля Big Dig в Бостоне, штат Массачусетс, которое произошло в июле 2006 года [30]. В газотурбинных двигателях, где температура может достигать значений более чем 1000 °C, могут возникать деформации ползучести даже в турбинных лопатках, изготовленных из высокопрочных сплавов. Исходя из этого, для анализа напряженно-деформированного состояния детали или конструкции важно учитывать эффект ползучести.
Так как процесс накопления деформаций ползучести происходит в течение достаточно большого диапазона времени, то экспериментальные тесты материала и натурные испытания в реальных условиях эксплуатации могут быть нереализуемыми и достаточно дорогостоящими, поэтому при решении подобных задач актуально использование расчетных программных комплексов. Для описания ползучести обычно используется закон зависимости скорости деформации от напряжения , времени и температуры :
(1.1)
При действии постоянной нагрузки для большинства материалов можно выделить три стадии ползучести. На первой стадии, которая наблюдается в течение достаточно небольшого промежутка времени, происходит уменьшение скорости деформации ползучести со временем, на второй стадии скорости деформации ползучести приобретают постоянные значения, и уже на третьей стадии наблюдается быстрое увеличение скорости деформации до значений, при которых происходит полное разрушение материала. Особый интерес представляет вторая стадия ползучести, или стадия установившейся ползучести.
Предполагается, что на стадии установившейся ползучести существует зависимость между скоростью деформаций ползучести и напряжением , которая носит название степенного закона Нортона — Бейли и имеет вид:
(1.2)
где — постоянная материала, показатель степени — постоянная материала, значение которой, например для сталей, находится в диапазоне от 3 до 8 (для чистых металлов значение данного показателя равно примерно 4) [31].
При проведении инженерных расчетов на статическую прочность и долговечность вводят некоторые допущения, одним из которых является идеализация материала и использование только его упругих свойств. В реальности в любом материале, сплаве на микроструктурном уровне присутствуют дефекты, наличие которых существенно влияет на прочностные характеристики, образование и рост трещин и тем самым — на ресурс изделия.
Для описания процесса накопления повреждений добавляется в определяющие соотношения поведения материала скалярная величина . Такая математическая модель поведения материала была представлена в работах Качанова — Работнова [32–34]:
(1.3)
где — компоненты тензора скоростей деформации ползучести, – материальные константы, — скалярная величина, описывающая поврежденность материала, — интенсивность касательных напряжений.
Для решения задач с применением модели материала, наиболее приближенной к реальности и учитывающей процессы накопления повреждений (1.3), была разработана пользовательская процедура UMAT программного комплекса Simulia ABAQUS [25; 26]. Подпрограмма UMAT написана с использованием языка программирования FORTRAN, программ Parallel Studio, Visual Studio, а также настроенной компиляцией кода между ними и расчетным программным комплексом Simulia ABAQUS [25]. Основные элементы кода, параметры и функции пользовательских подпрограмм различного вида хорошо представлены в руководстве для пользователя программного комплекса Simulia ABAQUS. Созданная подпрограмма UMAT задается в модуле меню . Константы материала, определенные в коде программы через параметры , задаются в модуле [25; 26].
2. Задача об одноосном растяжении плоскости с горизонтальным дефектом в условиях ползучести
2.1 Постановка задачи
Анализ влияния процесса накопления повреждений на напряженно-деформированное состояние тела был выполнен для конечно-элементной модели пластины с дефектом в виде трещины, подверженной одноосному растяжению усилием .
На рис. 2.1 представлена исследуемая пластина и приложенные на нее граничные условия. Геометрические параметры рассматриваемой модели следующие: длина и ширина пластины — 100 мм; длина выреза и его радиус, соответственно, 10 и 0.001 мм. Пластина изготовлена из материала, определяемого следующими материальными постоянными: модуль упругости (модуль Юнга) и коэффициент Пуассона . Ползучесть моделируется с помощью степенного закона Нортона — Бейли (1.3), который был описан пользовательской подпрограммой UMAT. Сеточная модель построена на основе геометрии, представленной на рис. 2.1, и выполнена преимущественно квадратными элементами первого порядка. Количество элементов на четверть окружности у основания выреза — 16, размер которых равен 0.0002 мм.
Рис. 2.1. Модель пластины с закругленным вырезом: геометрия, приложенная нагрузка и конечно-элементная сетка
Fig. 2.1. Model of a plate with a rounded crack: geometry, applied load and finite element mesh
В рамках выполненной работы была проведена серия расчетов со значениями материальных констант и согласно табл. 2.1. Используемые значения постоянных материала, которые были получены в ходе натурных испытаний образцов, представлены в работе [31].
Таблица 2.1. Материальные константы
Table 2.1. Material constants
№ материала | Модуль Юнга, , МПа | Kоэффициент Пуассона, | , | ||
1 | 121000 | 0.34 | 5 | 3.5 | |
2 | 121000 | 0.34 | 7 | 4.9 | |
3 | 121000 | 0.34 | 9 | 6.3 |
Расчеты выполнялись на временном интервале от 1 ч до 10 000 ч с шагом по времени в 500 ч для каждой из трех моделей материала согласно табл. 2.1. Для анализа результатов были выбраны следующие временные расчетные точки: 2 000 ч, 4 000 ч, 6 000 ч, 8 000 ч и 10 000 ч.
2.2. Верификация пользовательской подпрограммы UMAT
Для оценки возможности использования созданной пользовательской подпрограммы UMAT и корректности ее работы на первом этапе была проведена ее верификация, которая заключается в проведении серии сравнительных расчетов. Конечно-элементная модель пластины была рассчитана с материалом, входящим в стандартную библиотеку программного комплекса Simulia ABAQUS (модель № 1), и с тем же самым материалом, но описанным с помощью подпрограммы UMAT (модель № 2). В проведенных вычислениях не учтен эффект накопления повреждений, поскольку в стандартной библиотеке такого свойства не предусмотрено.
Рис. 2.2. Распределение полей перемещений: полное смещение, смещение в горизонтальном направлении, смещение в вертикальном направлении
Fig. 2.2. Distribution of displacement fields: total displacement, horizontal displacement, vertical displacement
Рис. 2.3. Распределение полей напряжений: интенсивность напряжений, компонента σ11, компонента σ22
Fig. 2.3. Stress field distribution: stress intensity, σ11 component, σ22 component
Верификация полученных результатов основана на сравнении полей перемещений и эквивалентных напряжений двух моделей (модель № 1 и модель № 2), которые оказались абсолютно идентичными как по числовым значениям, так и по распределению изопараметрических контуров. Результаты расчетов приведены на рис. 2, 3. Таким образом, достоверность написанной пользовательской процедуры UMAT была проверена и подтверждена сравнительными расчетами.
3. Исследование асимптотического поведения полей напряжений без учета и с учетом процесса аккумуляции повреждений
Функционал созданной пользовательской подпрограммы UMAT, описывающей поведение материала в условиях ползучести и верифицированной проверочными расчетами, был расширен с помощью введения соотношений, учитывающих процесс накопления повреждений (1.3). В результате выполненных серий расчетов исследованы поля эквивалентных напряжений в окрестности вершины трещины в условиях ползучести. На рис. 3.1 изображен путь, вдоль которого приведены распределения компоненты тензора напряжений , длина которого равна 1.05 мм.
Рис. 3.1. Выборка узлов конечно-элементной модели для построения распределения напряжений σ22(x,y=0)
Fig. 3.1. Sampling of finite element model nodes for constructing stress distribution σ22(x,y=0)
Представим результаты расчетов без учета процесса накопления повреждений. На графиках рис. 3.2-3.4 отображены значения компонент тензора напряжений в двойных логарифмических координатах вдоль назначенного пути для моментов времени 2 000 ч, 4 000 ч, 6 000 ч, 8 000 ч и 10 000 ч для , и . Различными символами обозначены распределения полей напряжений для различных временных точек. Для каждого представленного графика на рис. 3.2-3.4 в зоне ползучести построены прямые сплошные линии-асимптотики, которые аппроксимируют значения компоненты тензора напряжений для каждого расчетного момента. Полученные средние значения коэффициента наклона этих прямых равны значению для соответствующего . Так, для значение коэффициента наклона прямых находится в диапазоне 0.165 – 0.167, для : 0.123 – 0.126 и для : 0.098–0.106. Стоит отметить, что и являются безразмерными величинами напряжений и расстояния, отнесенными соответственно к 1 МПа и 1 мм.
Рис. 3.2. Расчет без учета эффекта накопления повреждений для n=5: распределение компоненты тензора напряжений σ22 для выбранных расчетных точек. Асимптотика в зоне ползучести
Fig. 3.2. Computation without taking into account the effect of damage accumulation for n=5: distribution of the stress tensor component σ22 for selected design points. Asymptotic behavior in the creep zone
Рис. 3.3. Расчет без учета эффекта накопления повреждений для n=7: распределение компоненты тензора напряжений σ22 для выбранных расчетных точек. Асимптотика в зоне ползучести
Fig. 3.3. Computation without taking into account the effect of damage accumulation for n=7: distribution of the stress tensor component σ22 for selected design points. Asymptotic behavior in the creep zone
Рис. 3.4. Расчет без учета эффекта накопления повреждений для n=9: распределение компоненты тензора напряжений σ22 для выбранных расчетных точек. Асимптотика в зоне ползучести
Fig. 3.4. Computation without taking into account the effect of damage accumulation for n=9: distribution of the stress tensor component σ22 for selected design points. Asymptotic behavior in the creep zone
В зоне упругого поведения материала также выстраиваются прямые сплошные линии — классические асимптотики в линейной механике, коэффициент наклона которых равен . Поведение полученных асимптотик представлено на графиках рис. 3.5-3.7.
Рис. 3.5. Расчет без учета эффекта накопления повреждений для n=5: распределение компоненты тензора напряжений σ22 для выбранных расчетных точек. Асимптотика в зоне упругости
Fig. 3.5. Computation without taking into account the effect of damage accumulation for n=5: distribution of the stress tensor component σ22 for selected design points. Asymptotic behavior in the elastic zone
Рис. 3.6. Расчет без учета эффекта накопления повреждений для n=7: распределение компоненты тензора напряжений σ22 для выбранных расчетных точек. Асимптотика в зоне упругости
Fig. 3.6. Computation without taking into account the effect of damage accumulation for n=7: distribution of the stress tensor component σ22 for selected design points. Asymptotic behavior in the elastic zone
Рис. 3.7. Расчет без учета эффекта накопления повреждений для n=9: распределение компоненты тензора напряжений σ22 для выбранных расчетных точек. Асимптотика в зоне упругости
Fig. 3.7. Computation without taking into account the effect of damage accumulation for n=9: distribution of the stress tensor component σ22 for selected design points. Asymptotic behavior in the elastic zone
Используя данные графики, легко определить зоны ползучести и упругости, размеры которых зависят от времени расчета. Чем больше время расчета, время приложения нагрузки на образец, тем больше становится зона ползучести, и при этом наблюдается уменьшение зоны упругости. Также эти зоны легко можно определить с помощью визуализации деформаций ползучести из МКЭ-расчета. На рис. 3.8 обозначены точками границы зоны ползучести для двух временных расчетных точек: 500 ч и 10 000 ч. Для расчета в 500 часов размер зоны ползучести равен 0.0064 мм, для 10 000 часов — 0.0087 мм.
Рис. 3.8. Деформации ползучести. Границы зон ползучести (слева — расчет 500 ч, справа — расчет 10 000 ч)
Fig. 3.8. Creep strains. Boundaries of creep zones (left — computation for 500 h, right — computation for 10 000 h)
В результате конечно-элементных расчетов можно сделать вывод, что представленные асимптотики для зон ползучести и упругости соответствуют аналитическим решениям. Таким образом, можно сделать заключение, что независимо от формы трещины на расстоянии, характерном протяжению зоны ползучести, строятся асимптотики Хатчинсона — Райса — Розенгрена.
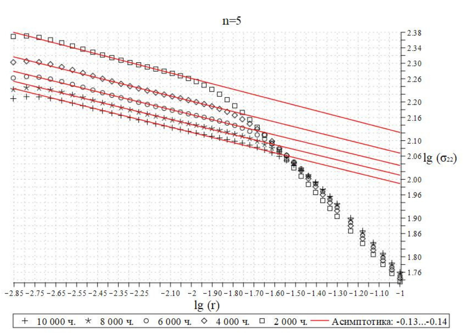
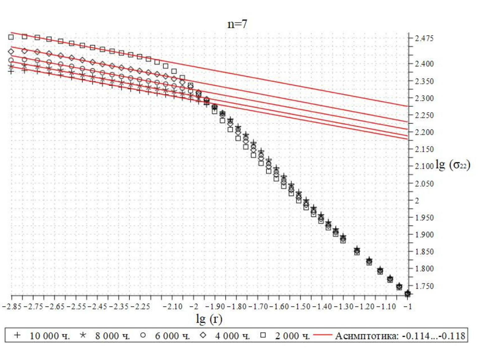
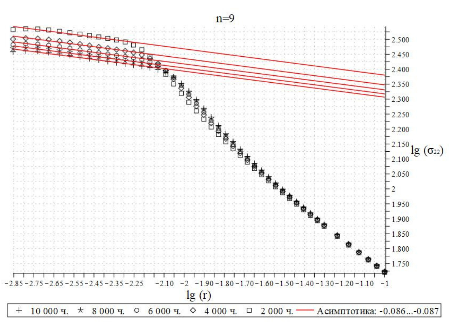
Большой интерес вызывает вопрос, возможно ли получить асимптотическое поведение в зонах ползучести и упругости при введении в определяющие соотношения поведения материала эффекта накопления повреждений. Проведя аналогичные вычисления с пользовательской процедурой UMAT с описанными процессами накопления повреждений, построены графики распределения поля напряжений для различных временных точек, которые представлены на рис. 3.10-3.12. Анализируя полученные графики, можно сделать вывод, что в расчетах с учетом эффекта накопления повреждений также присутствуют асимптотики в зоне ползучести. Наклон этих прямых отличается от тех, что получены в расчетах без учета данного процесса. В табл. 3.1 приведено сравнение коэффициентов наклона для двух типов расчета, из которого следует, что процесс накопления повреждений меняет асимптотику напряжений в окрестности вершины трещины.
Рис. 3.10. Расчет с учетом эффекта накопления повреждений для n=5: распределение компоненты тензора напряжений σ22 для выбранных расчетных точек. Асимптотика в зоне ползучести
Fig. 3.10. Computation taking into account the effect of damage accumulation for n=5: distribution of the stress tensor component σ22 for selected design points. Asymptotic behavior in the creep zone
Рис. 3.11. Расчет с учетом эффекта накопления повреждений для n=7: распределение компоненты тензора напряжений σ22 для выбранных расчетных точек. Асимптотика в зоне ползучести
Fig. 3.11. Computation taking into account the effect of damage accumulation for n=7: distribution of the stress tensor component σ22 for selected design points. Asymptotic behavior in the creep zone
Рис. 3.12. Расчет с учетом эффекта накопления повреждений для n=9 : распределение компоненты тензора напряжений σ22 для выбранных расчетных точек. Асимптотика в зоне ползучести
Fig. 3.12. Computation taking into account the effect of damage accumulation for n=9: distribution of the stress tensor component σ22 for selected design points. Asymptotic behavior in the creep zone
Таблица 3.1. Сравнение коэффициентов наклона прямых (асимптотик)
Table 3.1. Comparison of slope coefficients (asymptotic)
| Материальная постоянная | Коэффициент наклона (без учета повреждений) | Коэффициент наклона (с учетом повреждений) |
| 5 | от -0.165 до -0.167 | от -0.130 до -0.140 |
| 7 | от -0.123 до -0.126 | от -0.114 до -0.118 |
| 9 | от -0.098 до -0.106 | от -0.086 до -0.087 |
Поле напряжений в упругой зоне для расчета с учетом повреждений сохраняет асимптотику, обратно пропорциональную корню из расстояния от кончика трещины. Данное асимптотическое поведение изображено на рис. 3.13 для расчета с материальной постоянной .
Рис. 3.13. Расчет с учетом эффекта накопления повреждений для n=7: распределение компоненты тензора напряжений σ22 для выбранных расчетных точек. Асимптотика в зоне упругости
Fig. 3.13. Computation taking into account the effect of damage accumulation for n=7: distribution of the stress tensor component σ22 for selected design points. Asymptotic behavior in the elastic zone
Рассмотрев поведение полей напряжений у вершины трещины, стоит перейти к анализу введенной величины — сплошности. На рис. 3.9 показаны картины распределения параметра сплошности материала с постоянной по пути, указанном на рис. 3.1 с течением времени.
Рис. 3.9. Распределение параметра сплошности c течением времени: 500 ч, 2 000 ч, 4 000 ч, 6 000 ч, 8 000 ч, 10 000 ч
Fig. 3.9. Distribution of the continuity parameter over time: 500 h, 2 000 h, 4 000 h, 6 000 h, 8 000 h, 10 000 h
Для параметра сплошности также построены графики в двойных логарифмических координатах, изображенные на рис. 3.14-3.17, которые построены для двух значений материальной константы и . Представленные графики показывают наличие асимптотик двух типов: и , где асимптотика вида реализуется в достаточно узкой области (зона I) согласно рис. 3.14, 3.15.
Рис. 3.14. Расчет с учетом эффекта накопления повреждений для n=7: распределение сплошности ψ для выбранных расчетных точек. Асимптотика в зоне I
Fig. 3.14. Computation taking into account the effect of damage accumulation for n=7: distribution of continuity ψ for selected design points. Asymptotic behavior in zone I
Рис. 3.15. Расчет с учетом эффекта накопления повреждений для n=9: распределение сплошности ψ для выбранных расчетных точек. Асимптотика в зоне I
Fig. 3.15. Computation taking into account the effect of damage accumulation for n=9: distribution of continuity ψ for selected design points. Asymptotic behavior in zone I
Рис. 3.16. Расчет с учетом эффекта накопления повреждений для n=7: распределение сплошности 1-ψ для выбранных расчетных точек. Асимптотика в зоне II
Fig. 3.16. Computation taking into account the effect of damage accumulation for n=7: distribution of continuity 1-ψ for selected design points. Asymptotic behavior in zone II
Рис. 3.17. Расчет с учетом эффекта накопления повреждений для n=9: распределение сплошности 1-ψ для выбранных расчетных точек. Асимптотика в зоне II
Fig. 3.17. Computation taking into account the effect of damage accumulation for n=9: distribution of continuity 1-ψ for selected design points. Asymptotic behavior in zone II
Особый интерес вызывают асимптотики вида , которые выстраиваются на тех же расстояниях, что и асимптотики полей напряжений в зоне ползучести (зона II), и требуют дальнейшего изучения.
Заключение
В данной статье представлен конечно-элементный анализ модели пластины с центральным разрезом в 2D-постановке, подверженной одноосному растяжению и работающей в условиях ползучести с учетом процесса накопления повреждений. Определяющие соотношения поведения материала были применены с помощью пользовательской подпрограммы UMAT программного комплекса Simulia Abaqus, которая была верифицирована сравнительными расчетами. Результаты данных расчетов дают возможность оценить поля напряжений у вершины дефекта для разных временных интервалов приложения нагрузки на данный образец и для различных материальных постоянных. В программном пакете системы компьютерной алгебры Maple были построены асимптотики полей напряжений для двух типов расчета: без учета эффекта накопления повреждений в образце и с учетом данного эффекта. Результат показал, что в зонах ползучести и упругости в расчетах без учета эффекта повреждений полученные асимптотики соотносятся с известными аналитическими решениями, в то время как в расчетах с учетом процесса накопления повреждений для зоны ползучести такого не наблюдается, асимптотический характер поведения напряжений сохраняется. Особый интерес представляет дальнейшее изучение параметра сплошности, обладающего асимптотическим поведением. Предложенная процедура может проложить путь к построению аналитического решения краевой задачи и позволить определить структуру асимптотического разложения решения задачи [35; 36].
Авторы выражают благодарность Российскому научному фонду за финансовую поддержку исследования, научный проект № 21-11-00346.
About the authors
Yulia S. Bykova
Samara National Research University
Author for correspondence.
Email: bykova.yus@ssau.ru
ORCID iD: 0000-0002-7347-8553
assistant lecturer of the Department of Mathematical Modeling in Mechanics
Russian Federation, 34, Moskovskoye shosse, Samara, 443086Larisa V. Stepanova
Samara National Research University
Email: stepanova.lv@ssau.ru
ORCID iD: 0000-0002-6693-3132
Doctor of Physical and Mathematical Sciences, associate professor, head of the Department of Mathematical Modeling in Mechanics
Russian Federation, 34, Moskovskoye shosse, Samara, 443086References
- GOST 34233.12–2017. Vessels and apparatus. Norms and methods of strength calculation. Requirements for representation of the strength calculations carried out on the computer. Moscow: Standartinform, 2019, 8 p. Available at: https://files.stroyinf.ru/Data2/1/4293739/4293739661.pdf?ysclid=lp9o2xano8254018623. (In Russ.)
- GOST 25.101–83. Strength calculation and testiing. Representation of random loading of machine elements and structures and statistical evaluation of results. Moscow: Izdatel’stvo standartov, 1984, 21 p. Available at: https://files.stroyinf.ru/Data2/1/4294829/4294829387.pdf?ysclid=lp9o9dtg3t684965498. (In Russ.)
- Kabakov V.V. Composite materials in the aircraft industry. Science and Business: Ways of Development, 2019, no. 8 (98), pp. 10–14. Available at: https://www.elibrary.ru/item.asp?id=41472175. EDN: https://www.elibrary.ru/jguxfh. (In Russ.)
- Voyiadjis G.Z. Handbook of Damage Mechanics. Cham: Springer, 2022, 1386 p. DOI: https://doi.org/10.1007/978-3-030-60242-0
- Murakami S. Continuum Damage Mechanics: A Contimuum Mechanics Approach to the Analysis of Damage and Fracture. Cham: Springer, 2012, 423 p. DOI: https://doi.org/10.1007/978-94-007-2666-6.
- Lemaitre J. How to use damage mechanics. Nuclear Engineering and Design, 1984, vol. 80, issue 2, pp. 233–-245. DOI: https://doi.org/10.1016/0029-5493(84)90169-9.
- Lemaitre J. A Continuous Damage Mechanics Model for Ductile Fracture. Journal of Engineering Materials and Technology, 1985, vol. 107, issue 1, pp. 83–89. DOI: http://dx.doi.org/10.1115/1.3225775.
- Izvekov O.Ya., Kondaurov V.I. Model of a porous mdedium with an elestic fractured skeleton. Izvestiya, Physics of the Solid Earth, 2009, vol. 45, issue 4, pp. 301–312. DOI: https://doi.org/10.1134/S106935130904003X. EDN: https://www.elibrary.ru/llrzcn. (In English; original in Russian)
- Pandey V.B., Singh I.V., Mishra B.K. A new creep-fatigue interaction damage model and CDM-XFEM framework for creep-fatigue crack growth simulations. Theoretical and Applied Fracture Mechanics, 2023, vol. 124, article number 103740. DOI: https://doi.org/10.1016/j.tafmec.2022.103740.
- Nikbin K. A Unified Multiscale/Multiaxial Constraint-Based Model for Creep Damage and Crack Growth in Engineering Alloys. In: Comprehensive Structural Integrity (Second Edition), 2023, vol. 5, pp. 139–157. DOI: https://doi.org/10.1016/B978-0-12-822944-6.00006-2.
- Shlyannikov V.N., Tumanov A.V. Force and deformation models of damage and fracture during creep. Fizicheskaya mezomekhanika = Physical Mesomechanics, 2018, vol. 21, no. 3, pp. 70–85. DOI: http://doi.org/10.24411/1683-805X-2018-13008. EDN: https://www.elibrary.ru/xrgsgd. (In Russ.)
- Shlyannikov V.N. Solution of nonlinear strain and fracture problems of materials in complex stress states. Fizicheskaya mezomekhanika = Physical Mesomechanics, 2012, vol. 15, no. 1, pp. 57–-67. Available at: https://www.elibrary.ru/item.asp?id=17428838. EDN: https://www.elibrary.ru/orkhbf. (In Russ.)
- Shlyannikov V.N., Tumanov A.V., Boychenko N.V. Creep-fatigue crack growth rate assessment using ductility damage model. International Journal of Fatigue, 2018, vol. 116, pp. 448–461. DOI: https://doi.org/10.1016/j.ijfatigue.2018.07.003.
- Shlyannikov V., Tumanov A. Creep damage and stress intensity factor assessment for plane multi-axial and three-dimensional problems. International Journal of Solids and Structures, 2018, vol. 150, pp. 166–183. DOI: https://doi.org/10.1016/j.ijsolstr.2018.06.009.
- Aliabadi F.M.H., Soboyejo W. Comprehensive Structural Integrity. 2nd edition. London: Elsevier, 2023. 4923 p. Available at: https://www.sciencedirect.com/referencework/9780323919456/comprehensive-structural-integrity.
- Altenbach H., Mkhitaryan S.M., Hakobyan V., Sahakyan A.V. Solid Mecahnics, Theory of Elasticity and Creep (Advanced Structured Materials). Cham: Springer, 2023, 395 p. DOI: https://doi.org/10.1007/978-3-031-18564-9. EDN: https://www.elibrary.ru/afeuiz.
- Stepanova N.N. Methods for studying materials and processes. Yekaterinburg: GOU VPO UGTU–UPI, 2006, 133 p. Available at: https://study.urfu.ru/Aid/Publication/479/1/Stepanova.pdf. (In Russ.)
- Kaplun A.B., Morozov E.M., Shamraeva M.A. ANSYS in the hands of an engineer: practical guide. Moscow: Editorial URSS, 2021, 272 p. Available at: https://djvu.online/file/q08xcXdYit618?ysclid=lpavg1x0va486177241. (In Russ.)
- Naprasnikov V.V., Borodula A.V., Kovaleva I.V., Krasnovskaya S.V., Kunkevich D.P. Computer finite element modelling. Part 1. Minsk: BNTU, 2021, 83 p. Available at: https://rep.bntu.by/handle/data/106830. (In Russ.)
- Naprasnikov V.V., Kovaleva I.V., Polozkov Yu.V., Kunkevich D.P. Computer finite element modelling. Part 2. Minsk: BNTU, 2021, 79 p. Available at: https://rep.bntu.by/handle/data/105804. (In Russ.)
- Chapliy D.V., Stepanova L.V., Belova O.N. Effect of damage accumulation on the asymptotic behavior of stresses ahead the crack tip. Vestnik Samarskogo universiteta. Estestvennonauchnaya seriia Vestnik of Samara University. Natural Science Series, 2023, vol. 29, no. 1, pp. 47–63. DOI: http://doi.org/10.18287/2541-7525-2023-29-1-47-63. (In Russ.)
- Rosatom. VNIIEF LOGOS. Retrieved from LOGO website. Available at: http://logos.vniief.ru/ (accessed 17.09.2023) (In Russ.)
- Scientific and Technical Center APM. Retrieved from APM website. Available at: https://apm.ru/apm-winmachine (accessed 17.09.2023) (In Russ.)
- FIDESYS. Retrieved from FIDESYS website. Available at: https://cae-fidesys.com/products (accessed 25.09.2023) (In Russ.)
- USER MATERIAL IN ABAQUS. Available at: https://abaqus-docs.mit.edu/2017/English/SIMACAEMATRefMap/simamat-c-usermat.htm.
- Lecture 6. Writing a UMAT or VUMAT. Available at: https://imechanica.org/files/Writing%20a%20UMAT.pdf.
- Birger I.A., Mavlyutov R.R. Strength of materials: textbook. Moscow: Nauka. Glavnaya redaktsiya fiziko-matematicheskoi literatury, 1986, 560 p. Available at: https://djvu.online/file/YUwSFubMbV0Ns?ysclid=lpawdr3abv546374760. (In Russ.)
- Adamov A.A. Methods of applied viscoelasticity Yekaterinburg: UrO RAN, 2003, 411 p. (In Russ.)
- Roitman V.M. On the mechanism of progressive collapse of the high-rise building WTC-7 during events of 11 September 2001 in New York. Fire and Explosion Safety, 2015, vol. 24, no. 10, pp. 37–44. DOI: http://doi.org/10.18322/PVB.2015.24.10.37-44. (In Russ.)
- textt Central Association of Rural Construction Organizations (JSC Tsentrselstroy) Collapse of the Big Dig Tunnel: The most expensive tunnel project in US history Source. Retrieved from the website Construction and Repair — Tsentrselstroy. Available at: https://centrselstroy.ru/krah-tunnelya-big-dig-samyy-dorogoy-tonnelnyy-proekt-v-istorii-ssha (accessed 17.09.2023) (In Russ.)
- Meng Q., Zhenqing H. Creep damage models and their applications for crack growth analysis in pipes: A review. Engineering Fracture Mechanics, 2019, vol. 205, pp. 547–576. DOI: http://dx.doi.org/10.1016/j.engfracmech.2015.09.055.
- Shlyannikov V.N., Tumanov A.V. Force and deformation models of damage and fracture during creep. Fizicheskaya mezomekhanika = Physical Mesomechanics, 2018, vol. 21, no. 3, pp. 70–85. DOI: http://doi.org/10.24411/1683-805X-2018-13008. EDN: https://www.elibrary.ru/xrgsgd. (In Russ.)
- Kachanov L.M. Creep theory. Moscow: Gos. izd-vo fiziko-matematicheskoi literatury, 1960, 455 p. Available at: https://lib-bkm.ru/13835?ysclid=lpaxqf3bhz66275805. (In Russ.)
- Rabotnov Yu.N. Creep of structural elements. Moscow: Nauka, 2014, 752 p. Available at: https://lib-bkm.ru/13795?ysclid=lpay3abcl882354384. (In Russ.)
- Stepanova L.V., Yakovleva E.M. Mixed-mode loading of the cracked plate under plane stress conditions. PNRPU Mechanics Bulletin, 2014, no. 3, pp. 129–162. DOI: https://doi.org/10.15593/perm.mech/2014.3.08. EDN: https://www.elibrary.ru/sxdtor.
- Stepanova L.V., Yakovleva E.M. Asymptotics of the stress field near a crack tip under mixed-mode loading: small parameter method. Vestnik Samarskogo universiteta. Estestvennonauchnaya seriia = Vestnik of Samara University. Natural Science Series, 2015, vol. 10, no. 132, pp. 77–90. Available at: https://www.mathnet.ru/rus/vsgu485. (In Russ.)
Supplementary files






















