О влиянии внешней электрической сети на параметры режима узла нагрузки
- Авторы: Бацева Н.Л.1, Жуйков А.К.1
-
Учреждения:
- Национальный исследовательский Томский политехнический университет
- Выпуск: Том 335, № 11 (2024)
- Страницы: 157-169
- Раздел: Статьи
- URL: https://journals.rcsi.science/2500-1019/article/view/276180
- DOI: https://doi.org/10.18799/24131830/2024/11/4817
- ID: 276180
Цитировать
Полный текст
Аннотация
Актуальность. Одним из наиболее перспективных способов определения статических характеристик нагрузки по напряжению, отражающих зависимость активной и реактивной мощностей нагрузки от напряжения в узле нагрузки, является пассивный эксперимент, при проведении которого становится заметной реакция внешней по отношению к узлу нагрузки электрической сети. В настоящее время исследовательская задача оценки степени влияния реакции сети на параметры режима до конца не решена, что значительно усложняет процедуру статистической обработки результатов пассивного эксперимента. По этой причине анализ влияния реакции сети на режимные параметры, а также выявление способов уменьшения такого влияния являются актуальными задачами.
Цель. Количественная оценка влияния реакции сети производится с помощью коэффициентов реакции сети по активной и реактивной мощностям, поэтому целью статьи является анализ изменения величины коэффициентов реакции сети в зависимости от параметров схемы и режима, что позволит выявить способы уменьшения влияния реакции сети.
Методы. Для анализа использованы преобразования матрицы Якоби с представлением параметров режима и сетевых элементов в виде комплексных чисел.
Результаты. Получены аналитические выражения, отражающие зависимости коэффициентов реакции сети по активной и реактивной мощностям нагрузки от схемных и режимных параметров в общем случае.
Выводы. На основании полученных аналитических и графических зависимостей определены мероприятия по снижению влияния реакции сети на режимные параметры узла нагрузки, полученные в пассивном эксперименте. Продемонстрировано, что увеличение электрического сопротивления между узлами питания и подключения нагрузки приводит к увеличению влияния реакции сети, как по активной, так и по реактивной мощности. Предложен практический метод расчёта величины реакции сети. Определены дальнейшие направления по повышению точности оценивания влияния реакции сети с использованием текущих параметров электрического режима и схемы.
Полный текст
Введение
Применение результатов пассивного эксперимента для определения статических характеристик нагрузки по напряжению (СХН), несмотря на свою перспективность, связанную с отсутствием вмешательства в текущий режим работы энергосистемы, затруднено. Эти затруднения связаны с несколькими факторами [1–3], главным из которых является влияние внешней электрической сети (реакции сети) на параметры режима в узле нагрузки [4, 5].
На рис. 1 представлен сравнительный анализ статистической обработки результатов пассивного эксперимента при определении СХН для двух случаев: реакция сети практически не проявляется (рис. 1, а); реакция сети искажает эллипс рассеивания, соответствующий измерениям параметров режима в узле нагрузки (рис. 1, б). Эллипсы рассеивания представлены в координатах (ΔU; ΔР), что соответствует началу координат в точке математического ожидания.
На рис. 1, а эффекта реакции сети не наблюдается, так как изменения нагрузки, которые могли бы вызвать изменение напряжения, обусловленное падением напряжения на сопротивлении связи, минимальны [6, 7]. Такая картина наблюдается в случае отсутствия влияния реакции сети в пассивном эксперименте, а также в случае активного эксперимента, когда нагрузка находится в одном и том же состоянии, а напряжение питающего узла изменяется в максимально широких пределах [8, 9]. Искажение эллипса рассеивания на рис. 1, б обусловлено изменением мощности нагрузки. Такие изменения при проведении пассивного эксперимента часто носят случайный характер [10–13]. Из-за наличия сопротивления между узлом нагрузки и внешней сетью увеличиваются потери напряжения, сопоставимые с изменениями напряжения питающего узла, вызванными не колебаниями нагрузки.
Рис. 1. Влияние реакции сети: а) условия электроснабжения узла нагрузки изменяются сильно, а параметры нагрузки изменяются слабо; б) условия электроснабжения узла нагрузки изменяются слабо, а параметры нагрузки сильно
Fig. 1. Impact of a grid response: a) power supply conditions at a load node change intensely, but load parameters change slightly; b) power supply conditions at a load node change slightly, but load parameters change intensely
Линии CD, C'D' и C''D'' соответствуют изменениям нагрузки при постоянных, но различных условиях внешнего электроснабжения. Если бы влияние реакции сети было минимальным, линии проходили бы вертикально [4].
В случае, представленном на рис. 1, а, линейная СХН AB практически совпадает с линией регрессии (ЛР). Как показано в [3, 4, 14, 15], именно на основании этой особенности базируется механизм обработки результатов пассивного эксперимента в случае отсутствия или слабого влияния реакции сети: линейная СХН соответствует линии регрессии P на U в случае активной мощности и Q на U – в случае реактивной мощности.
Из-за значительного влияния реакции сети на рис. 1, б эллипс рассеивания изменяется таким образом, что ЛР перестаёт совпадать с линейной СХН AB. Из этого следует, что учёт реакции сети предполагает более сложную статистическую обработку, чем простое построение ЛР [4, 14, 15]. Обычно обработка сводится к усреднению телеметрии, относящейся к разным условиям электроснабжения, соответствующим линиям CD, C'D' и C''D'' [4].
Предлагаемые в работах [4, 16–19] способы учёта влияния реакции сети позволяют с помощью преобразования измерений и/или параметров распределения измерений, полученных при проведении пассивного эксперимента, учесть влияние реакции сети в итоговой СХН. Однако для использования данных способов необходима количественная оценка влияния реакции сети. В работах [4, 16, 17] такая оценка проводится с помощью постоянных величин – коэффициентов реакции сети по активной kP и реактивной kQ мощностям нагрузки. Основная проблема с количественной оценкой по коэффициентам заключается в их вычислении и последующем выводе о необходимости учёта влияния реакции сети при вычислении коэффициентов СХН.
Таким образом, для использования методов учёта влияния реакции сети при обработке результатов пассивного эксперимента с целью определения СХН по напряжению актуальной является задача количественной оценки коэффициентов реакции сети. В статье рассматривается случай электроснабжения узла нагрузки от нескольких питающих узлов.
Материалы и методы
Случай электроснабжения узла нагрузки от нескольких питающих узлов
В работах [16, 19] описан простейший случай электроснабжения узла нагрузки, когда нагрузочный узел получает электроэнергию от одного питающего узла и по одной связи. Однако определение коэффициентов реакции сети для реальных схем электроснабжения по этому способу потребует предварительных вычислений, связанных с расчётом эквивалентного сопротивления, возможного питания нагрузки от нескольких узлов, наличия в схеме трансформаторных связей. Кроме того, в схемах замещения реальных энергосистем появится необходимость учёта смешанного характера нагрузки и комплексных сопротивлений сетевых элементов.
На рис. 2 приведена схема электроснабжения узла нагрузки.
Рис. 2. Схема электроснабжения узла нагрузки
Fig. 2. Power supply scheme of a load node
Исследуемая нагрузка с комплексным напряжением U запитана от шин с комплексными напряжениями U1,U2,…,Un, где n – число шин, питающих узел нагрузки. Связи узла нагрузки с питающими узлами представлены комплексными схемами замещения, учитывающими наличие проводимостей на землю: П-образной схемой замещения линий и Г-образной схемой замещения трансформаторов [20, 21].
Из-за реакции сети при изменении комплексной мощности нагрузки S=P+jQ изменятся падения напряжения на n связях узла нагрузки с питающими узлами, что приведёт к изменению комплексного напряжения U в узле нагрузки.
Для схемы (рис. 2) напряжение в узле нагрузки U и величина потребляемой мощности S связаны отношением (1) [21]:
(1)
где знак * – комплексное сопряжение; – коэффициент трансформации i-й связи по напряжению при переходе со стороны начала i-й связи на сторону узла нагрузки (для линии ); – коэффициент трансформации i-й связи по току при переходе со стороны начала i-й связи на сторону узла нагрузки (для линии ); Zi=Ri+jXi – комплексное сопротивление i-й связи c питающим узлом, приведённое к номинальному напряжению узла нагрузки; Yi=Gi+jBi – комплексная проводимость на землю i-й связи с питающим узлом, примыкающая к узлу нагрузки и приведённая к номинальному напряжению узла нагрузки.
Из-за наличия комплексных чисел в выражении (1) вычисление напрямую производных и соответствующих коэффициентам kP и kQ, представляет трудоёмкую операцию. Для её упрощения можно перейти к вычислению производных активной и реактивной мощностей по напряжению, упростив выражение (1) и выделив действительную и мнимую части.
Учитывая, что U=U · ejδ и Ui=Ui · ejδI , где δ, δI – углы при напряжениях узла нагрузки U и узла начала i-й связи Ui относительно базисно-балансирующего узла, соотношение (1) можно преобразовать в выражение (2):
(2)
Из выражения (2) следуют выражения (3) и (4) для зависимостей P(U) и Q(U) соответственно:
(3)
(4)
Тогда значения производных , , и на основании (3) и (4) в рабочих точках, соответствующих математическим ожиданиям модуля напряжения Um и угла δm, будут соответствовать выражениям (5)–(9):
(5)
(6)
(7)
(8)
Матрица Якоби J при U=Um и угла δ=δm примет вид (13) [22]:
(9)
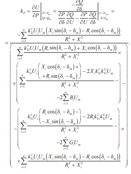
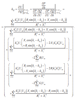
Учитывая, что и , и на основании выражений (5)–(9) для нахождения коэффициентов kP и kQ необходимо вычислить элементы обратной матрицы Якоби J–1 по формуле (10):
(10)
Таким образом, коэффициенты и могут быть вычислены по выражениям (11) и (12):
(11)
(12)
Выражения (11) и (12) позволяют проанализировать зависимости коэффициентов реакции сети от схемных и режимных параметров, хотя на практике их удобно определять путём вычисления отношений приращений напряжения в узле нагрузки, возникающих при малых приращениях мощности в узле нагрузки [18, 22].
Результаты исследования
Примем, что число связей, осуществляющих питание узла нагрузки n=1, и коэффициент трансформации связи, питающей узел нагрузки, kTi=1. Тогда выражения для kP и kQ после всех преобразований примут вид (13) и (14):
(13)
(14)
Из выражений (13) и (14) следует, что коэффициенты реакции сети зависят от параметров сетевых элементов: kTi – коэффициента трансформации i-й связи; Ri, Xi – активного и реактивного сопротивлений i-й связи c питающим узлом, приведённых к стороне высокого напряжения; Gi, Bi – примыкающих к узлу нагрузки активной и реактивной проводимостей на землю i-й связи с питающим узлом, а также от режимных параметров: Ui – модуля напряжения i-го питающего узла; Um – модуля рабочего напряжения узла нагрузки; δi–δm – разности электрических углов напряжения i-го питающего узла и рабочего напряжения узла нагрузки.
Влияние параметров сетевых элементов на величину коэффициентов
При проведении анализа влияния параметров сетевых элементов на величину коэффициентов kP и kQ в качестве переменной по оси абсцисс отложим реактивное сопротивление сетевого элемента X. Оценка влияния активного сопротивления R и поперечных проводимостей активной G и реактивной B будет производиться для зависимостей kP(X) и kQ(X) при различных значениях указанных параметров.
Режимные параметры: модуль напряжения питающего узла U=230 кВ; модуль рабочего напряжения узла нагрузки Um=220 кВ; разность электрических углов комплексного напряжения питающего узла и комплексного рабочего напряжения узла нагрузки δi–δm=10°. Указанные параметры соответствуют передаче мощности от питающего узла к узлу нагрузки.
На рис. 3, а, б представлены графики зависимостей kP(X) и kQ(X) при R=0, G=0 и различных значениях B.
Из графиков следует:
- При B<0 (ёмкостная проводимость) точки разрыва для коэффициентов kP и kQ смещаются в область положительных значений X.
- При B>0 (индуктивная проводимость) точки разрыва для коэффициентов kP и kQ смещаются в область отрицательных значений X. Так как большинство сетевых элементов, питающих узел нагрузки, обладают положительным реактивным сопротивлением [23], далее область значений X<0 исключается из рассмотрения.
- При B=0 значения kP и kQ убывают с ростом X.
- При X>0 до точек разрыва функций kP(X) и kQ(X) (точки, в которых значения kP и kQ обращаются в бесконечность) при увеличении B наблюдается уменьшение kP и kQ.
- Чем больше значение модуля |B|, тем ближе точки разрыва kP и kQ к оси ординат. Физически это означает, что с ростом величины реактивной проводимости величина напряжения в узле нагрузки будет значительно меняться при незначительном изменении мощности нагрузки и отсутствии сопротивления, что соответствует протеканию зарядной мощности и токов намагничивания сетевых элементов, питающих узел нагрузки.
- При изменении X коэффициент kQ изменяется на величину большую, чем коэффициент kP. Это обусловлено влиянием реактивной проводимости на протекание перетоков реактивной мощности.
На рис. 4 а, б представлены графики зависимостей kP(X) и kQ(X) при R=0, B=0 и различных значениях G.
Рис. 3. Графики зависимостей: а) kP(X); б) kQ(X) при R=0, G=0 и B=var
Fig. 3. Dependence graph: а) kP(X); b) kQ(X) if R=0, G=0 and B=var
Рис. 4. Графики зависимостей: а) kP(X); б) kQ(X) при R=0, G=0 и B=var
Fig. 4. Dependence graph: а) kP(X); b) kQ(X) if R=0, G=0 and B=var
При любом значении G значения kP и kQ убывают с увеличением X. При этом большее значение G соответствует меньшим по модулю значениям kP и kQ. Как и в случае c реактивной проводимостью значения kQ больше по модулю соответствующих значений kP.
На рис. 5, а, б представлены графики зависимостей kP(R) и kQ(R) при X=0, G=0 и различных значениях B.
C ростом R возрастает значение kQ, в то же время kP убывает. Рост B приводит к увеличению по модулю kP и kQ. Положительное значение kQ при заданных режимных параметрах соответствует увеличению напряжения в узле нагрузки при увеличении реактивной мощности нагрузки.
На рис. 6, а, б представлены графики зависимостей kP(R) и kQ(R) при X=0, B=0 и различных значениях G.
С ростом R kP убывает. Стоит отметить, что поведение графиков на рис. 6 соответствует поведению графиков на рис. 3. Однако из графиков 6, б видно, что рост R приводит к увеличению коэффициента kQ при заданных режимных параметрах.
Из представленных на рис. 3–6 графиков можно сделать вывод, что основным способом снижения коэффициента реакции сети является уменьшение полного сопротивления связи, осуществляющей питание узла нагрузки. При этом компенсация реактивной мощности (увеличение/уменьшение проводимости в узле нагрузки) не оказывает однозначного влияния на их величину.
Рис. 5. Графики зависимостей: а) kP(R); б) kQ(R) при X=0, G=0 и B=var
Fig. 5. Dependence graph: а) kP(R); b) kQ(R) if X=0, G=0 and B=var
Рис. 6. Графики зависимостей: а) kP(R); б) kQ(R) при X=0, B=0 и G=var
Fig. 6. Dependence graph: а)kP(R); b) kQ(R) if X=0, B=0 and G=var
Рис. 7. Графики зависимостей: а) kP(R); б) kQ(R) при G=0, B=0 и R=var
Fig. 7. Dependence graph: а) kP(X); b) kQ(X) if G=0, B=0 and R=var
На рис. 7, а, б приведены графики зависимостей kP(X) и kQ(X) при различных значениях R, G=0, B=0 и режимных параметрах, используемых при построении графиков на рис. 3–6.
C увеличением R значения kP и kQ возрастают по модулю (без учёта знака). Таким образом, уменьшение активного и реактивного сопротивлений сетевого элемента, осуществляющего питание узла нагрузки, позволяет снизить значения коэффициентов реакции сети.
Влияние режимных параметров на величину коэффициентов
Для анализа влияния режимных параметров на величину kP и kQ рассмотрим два типа зависимостей:
1) kP(U) и kQ(U) при различных значениях модуля напряжения Uвн питающего узла и δвн–δ=0;
2) kP(δвн–δ) и kQ(δвн–δ) при различных значениях модуля рабочего напряжения U узла нагрузки и Uвн=1 o. e., приведённого к номинальному напряжению Uном=220 кВ.
Сетевые параметры: активное сопротивление R=10 Ом; реактивное сопротивление X=10 Ом; поперечная активная проводимость G=100 мкСм; поперечная активная проводимость B= –600 мкСм. Указанные параметры соответствуют передаче мощности к узлу нагрузки по ЛЭП.
Графики зависимостей kP(U) и kQ(U) при различных значениях U и δвн–δ=0 приведены на рис. 8.
При некотором граничном значении напряжения узла нагрузки Uгр≈0,5 Uвн наблюдается точка разрыва функций kP(U) и kQ(U). Данное значение напряжения соответствует границе по статической апериодической устойчивости связи, осуществляющей питание узла нагрузки.
Рис. 8. Графики зависимостей kP(U) и kQ(U) при Uвн=var и δвн–δ=0
Fig. 8. Dependence graph kP(U) and kQ(U) if Uвн=var and δвн–δ=0
Значения kP и kQ, полученные для значений напряжения в узле нагрузки меньше Uгр, не будут отражать реального поведения нагрузки в узле, так как установившийся режим в данной области напряжений существовать не будет [24]. При рассмотрении областей U>Uгр видно, что с увеличением рабочего напряжения в узле нагрузки kP и kQ уменьшаются по абсолютной величине, причём их зависимость от модуля напряжения U питающего узла энергосистемы проявляется сильнее при малых значениях рабочего напряжения, близких к Uгр. При возрастании Uвн и постоянстве напряжения U в узле нагрузки модули kP и kQ увеличиваются.
Таким образом, из графиков рис. 8 следуют два способа уменьшения коэффициентов реакции сети: увеличение модуля напряжения в узле нагрузки; уменьшение модуля напряжения в питающем узле.
Выполнение указанных способов возможно с помощью подключения шунтирующих реакторов в питающем узле и батарей статических конденсаторов в узле нагрузки
На рис. 9, а, б приведены графики зависимостей kP(δвн–δ) и kQ(δвн–δ) при различных значениях модуля рабочего напряжения U узла нагрузки и Uвн=1 o. e.
C увеличением модуля рабочего напряжения U узла нагрузки абсолютные значения kP и kQ вне точек разрыва уменьшаются, причём при одних и тех же значениях разности δвн–δ модуль kQ уменьшается сильнее, чем kP. Стоит отметить, что с ростом разности δвн–δ модули kP и kQ уменьшаются. Точки разрыва соответствуют углам по связи между питающим и нагрузочным узлом, больше которых (меньше в случае δвн–δ<0) передача мощности невозможна. По этой причине рабочим диапазоном при δвн–δ и при заданном значении U является диапазон между точками разрыва. Видно, что с увеличением напряжения в узле нагрузки рабочий диапазон между точками разрыва увеличивается. При U<0,5Uвн точки разрыва не возникают, а значит, рабочий диапазон по разности δвн–δ не ограничен.
Таким образом, для уменьшения kP и kQ требуется уменьшать разность углов по связи между питающим и нагрузочным узлами. Добиться этого можно путём уменьшения перетока активной мощности по связи, что может быть достигнуто за счёт подключения собственной генерации в узле нагрузки.
Стоит отметить, что, как и в случае зависимостей kP и kQ от сетевых параметров, их зависимости от режимных параметров подчиняются текущей конфигурации сети [4, 16].
Направления дальнейших исследований
Приведённые преобразования справедливы только в случае малых отклонений режимных параметров, наблюдаемых при проведении пассивного эксперимента, что позволило учесть СХН по напряжению и влияние реакции сети с помощью линейных функций. В случае значительных изменений параметров режима, при которых начинает проявляться их нелинейность, реакция сети, учитываемая коэффициентами kP и kQ, внесет погрешность при определении параметров, соответствующих системе случайных величин (U',P',Q')
[16, 25–27].
Рис. 9. Графики зависимостей: а) kP(δвн–δ); б) kQ(δвн–δ) при Uвн=var и Uвн=1 o. e.
Fig. 9. Dependence graph: а) kP(δвн–δ); b) kQ(δвн–δ) if Uвнvar and Uвн=1 o. e.
Стоит отметить, что допущение о постоянстве значений kP и kQ в общем случае справедливо только для одномодального распределения случайных величин. Каждому выделенному состоянию нагрузки соответствует своё значение kP и kQ. Однако чаще всего при проведении пассивного эксперимента условия электроснабжения не претерпевают значительных изменений, поэтому на первом этапе можно принять одно значение kP или kQ для всех состояний. Это допущение позволяет вычислить коэффициенты один раз с помощью расчёта обратной матрицы Якоби, используя расчётную модель в программном комплексе для расчёта режимов.
Согласно этому, следует выделить четыре наиболее перспективных направления:
- Вычисление коэффициентов реакции сети для каждого состояния нагрузки. Как показал анализ, коэффициенты реакции сети в значительной степени зависят не только от параметров электрической сети, которые можно принять условно постоянными, но и от условно переменных параметров электрического режима.
- Вычисление коэффициентов реакции сети по телеизмерениям. Данное направление исследований является наиболее трудоёмким, так как отсутствует возможность определения влияния на одно измерение СХН и реакции сети [28]. В связи с этим для вычисления коэффициентов реакции сети по телеизмерениям также требуется некоторая статистическая обработка, как и для получения СХН.
- Вычисление коэффициентов реакции сети через обратную матрицу Якоби, несмотря на высокую точность, обладает сравнительно низкой производительностью, что может ограничить вычисление коэффициентов реакции сети при определении СХН в режиме online, поэтому наиболее практически значимым представляется способ расчёта электрических режимов при малых приращениях мощности в узле нагрузки [29].
- Сравнение результатов, полученных при обработке данных активного и пассивного экспериментов для одного и того же узла нагрузки, проведённых при учёте мероприятий, снижающих влияние внешней электрической сети. При совпадении или минимальной погрешности полученных результатов в будущем проведение активных экспериментов для тех нагрузочных узлов, у которых предусмотрена передача телеметрии, будет сведено к минимуму.
Выводы
- Степень влияния внешней электрической сети на параметры электрического режима в узле нагрузки зависит от сетевых и режимных параметров. Характеристикой влияния внешней электрической сети являются коэффициенты реакции сети по активной kP и реактивной kQ мощностям.
- Отсутствие влияния реакции сети соответствует тому, что при изменении мощности нагрузки в узле напряжение в этом узле не изменяется.
- С ростом величины сопротивлений связей, по которым выполняется электроснабжение узла нагрузки, абсолютная величина коэффициентов реакции сети увеличивается.
- Увеличение проводимостей связей, по которым осуществляется электроснабжение узла нагрузки, приводит к уменьшению абсолютной величины коэффициентов реакции сети.
- Снижение влияния реакции сети достигается за счёт уменьшения абсолютной величины коэффициентов kP и kQ. Достижение такого эффекта возможно в случае: компенсации реактивного сопротивления связей, по которым выполняется электроснабжение узла нагрузки; включения шунтирующих реакторов и отключения конденсаторных батарей в узле нагрузки; увеличения модуля напряжения в узле нагрузки; уменьшения модуля напряжения в питающем узле.
Об авторах
Наталья Ленмировна Бацева
Национальный исследовательский Томский политехнический университет
Автор, ответственный за переписку.
Email: batsevan@tpu.ru
ORCID iD: 0000-0003-1808-4700
кандидат технических наук, доцент отделения электроэнергетики и электротехники Инженерной школы энергетики
Россия, 634050, Томск, пр. Ленина, 30Александр Константинович Жуйков
Национальный исследовательский Томский политехнический университет
Email: akz3@tpu.ru
ORCID iD: 0000-0003-1216-0653
аспирант Инженерной школы энергетики
Россия, 634050, Томск, пр. Ленина, 30Список литературы
- Fundamental study on the influence of dynamic load and distributed energy resources on power system short-term voltage stability / A. Boričić, J. Luis, R. Torres, M. Popov // International Journal of Electrical Power and Energy Systems. – 2021. – Vol. 131 (2). – P. 1–12. doi: 10.1016/j.ijepes.2021.107141.
- Dmitriev S.A., Semenenko S.I., Suvorov A.A. Complex load bus static load characteristics determination using passive experiment method // 2018 17th International Ural Conference on AC Electric Drives (ACED 2018). – Institute of Electrical and Electronics Engineers Inc, April 2018. – P. 1–6. doi: 10.1109/ACED.2018.8341711.
- Гуревич Ю.Е., Либова Л.Е. Об определении характеристик нагрузки по напряжению методом пассивного эксперимента // Электричество. – 1972. – № 2. – С. 21–24.
- Гуревич Ю.Е., Либова Л.Е. Применение математических моделей электрической нагрузки в расчетах устойчивости энергосистем и надежности электроснабжения промышленных потребителей. – М.: ЭЛЕКС-КМ, 2008. – 246 с.
- Uncertainties in modern power systems / Eds. A.F. Zobaa, S.H.E. Abdel Aleem. – London: Elsevier Inc., 2022. – 686 р. doi: 10.1016/C2019-0-01693-7.
- Гуревич Ю.Е., Либова Л.Е., Окин А.А. Расчёты устойчивости и противоаварийной автоматики в энергосистемах. – М.: Энергоатомиздат, 1990. – 390 с.
- Singh V., Moger T., Jena D. Uncertainty handling techniques in power systems: a critical review // Electric Power Systems Research. – 2022. – Vol. 203. – P. 1–20. doi: 10.1016/j.epsr.2021.107633.
- Горбунова Л.М., Портной М.Г., Рабинович Р.С. Экспериментальные исследования режимов энергосистем. – М.: Энергоатомиздат, 1985. – 448 с.
- A composite load model aggregation method and its equivalent error analysis / P. Wu, X. Zhang, C. Lu, Y. Wang, H. Ye, X. Ling // International Journal of Electrical Power and Energy Systems. – 2023. – Vol. 150 (5). – P. 1–12. doi: 10.1016/j.ijepes.2023.109098.
- A data-driven approach for online aggregated load modeling through intelligent terminals / Y. Tang, L. Zhu, J. Ning, Q. Wang // International Journal of Distributed Sensor Networks. – 2019. – Vol. 15 (1). – Р. 1–14. doi: 10.1177/1550147719825996.
- Гуревич Ю.Е., Либова Л.Е., Хачатрян Э.А. Устойчивость нагрузки электрических систем. – М.: Энергоиздат, 1981. – 20 c.
- Effect of load modeling on power system stability studies / I.D. Pasiopoulou, E.O. Kontis, T.Α. Papadopoulos, G.K. Papagiannis // Electric Power Systems Research. – 2022. – Vol. 207. – P. 1–15. doi: 10.1016/j.epsr.2022.107846.
- Коновалов Ю.С., Кугелевичус И.Б. О возможности определения статических характеристик нагрузки методами математической статистики // Электричество. – 1968. – № 3. – С. 11–13.
- A comprehensive survey of clustering algorithms: State-of-the-art machine learning applications, taxonomy, challenges, and future research prospects / A.E. Ezugwu, A.M. Ikotun, O.O. Oyelade, L. Abualigah, J.O. Agushaka, C.I. Eke, A.A. Akinyelu // Engineering Applications of Artificial Intelligence. – 2022. – Vol. 110. – P. 1–25. doi: 10.1016/j.engappai.2022.104743.
- Application of expectation maximization algorithm for measurement-based power system load modeling / A. Pankratov, N. Batseva, E. Polyakova, A. Tavlintsev, I. Lapatin, I. Lipnitskiy // 2019 International Siberian Conference on Control and Communications (SIBCON). – Tomsk, 18–20 April 2019. – Tomsk: Tomsk IEEE Chapter. – Р. 1–5. doi: 10.1109/SIBCON.2019.8729610.
- Определение статических характеристик нагрузки по напряжению по данным пассивного эксперимента с учётом реакции сети / А.В. Панкратов, А.К. Жуйков, А.А. Шувалова, В.И. Полищук // Электротехнические системы и комплексы. – 2021. – № 2 (51). – С. 4–10. doi: 10.18503/2311-8318-2021-2(51)-4-11.
- Бацева Н.Л., Жуйков А.К. Метод обработки измерений в задаче идентификации полиномиальных статических характеристик нагрузки по напряжению // SCM-2023: сборник докладов Международн. конф. по мягким вычислениям и измерениям. – СПб: СПбГЭТУ "ЛЭТИ", 2023. – С. 20–24.
- Бацева Н.Л., Панкратов А.В., Жуйков А.К. Программное обеспечение для определения модели нагрузки по массивам измерений пассивного эксперимента // XXI век: итоги прошлого и проблемы настоящего плюс. – 2022. – № 3 (59). – С. 51–56. doi: 10.46548/21vek-2022-1159-0008.
- Шувалова А.А. Разработка автоматизированной системы управления перетоком активной мощности по линии электропередач в вынужденном режиме работы: дисс. ... канд. техн. наук. – Омск, 2022. – 153 с.
- Power flow studies for assessment the security of steady states in zone inside the large interconnected power system / T. Kuznecovs, A. Mahnitko, A. Sauhats, V. Oboskalov // Procedia Computer Science. – 2017. – Vol. 104. ‒ P. 421–428. doi: 10.1016/j.procs.2017.01.155.
- Kamran M. Fundamentals of smart grid systems. Power grids. – Boston: Academic Press, 2023. – 131 p. doi: 10.1016/B978-0-323-99560-3.00005-3.
- Исследование возможности применения числового значения определителя матрицы Якоби для анализа статической устойчивости энергосистем / О.М. Гук, М.В. Одинцов, А.В. Севастьянова, С.В. Смоловик // Известия ВУЗов. Проблемы энергетики. – 2012. – № 3–4. – С. 55–59.
- Бессонов Л.А. Теоретические основы электротехники. Электрические цепи. – М.: Высш. шк., 2003. – 612 с.
- Cao S., Dong Y., Liu X. Electromechanical transient modeling analysis of large-scale new energy grid connection // Energy Engineering. – 2024. – Vol. 121 (4) – P. 1–14. doi: 10.32604/ee.2023.043004.
- Понарин Я.П. Аффинная и проективная геометрия. – М.: МЦНМО, 2009. – 288 с.
- Affine arithmetic-based dynamic operating reserve quantification considering correlated load and renewable uncertainties / S. Garg, S. Yamujala, P. Mathuria, R. Bhakar, H. Tiwari // Electric Power Systems Research. – 2024. – Vol. 233. – P. 1–14. doi: 10.1016/j.epsr.2024.110513.
- Vaccaro A., Pepiciello A. Affine arithmetic-based methods for uncertain power system analyses. – Amsterdam, Netherland; Kidlington, Oxford, England; Cambridge, Massachusetts: Elsevier Inc., 2022. – 149 p. doi: 10.1016/C2020-0-3442-0.
- Pavella M., Ernst D., Ruiz-Vega D. Transient stability of power systems: a unified approach to assessment and control. – New York: Springer Science and Business Media Inc., 2012. – 254 p. doi: 10.1007/978-1-4615-4319-0.
- Белов Е.И. Исследование влияния параметров узлов и ветвей на сенсорность элементов электроэнергетической системы // Известия НТЦ Единой энергетической системы. – 2018. – № 2 (79). – С. 88–95.
Дополнительные файлы











