Effect of coal suspension concentration and gas-air medium temperature on liquid droplets collisions
- 作者: Islamova A.G.1, Tkachenko P.P.1, Shulyaev S.A.1
-
隶属关系:
- National Research Tomsk Polytechnic University
- 期: 卷 335, 编号 7 (2024)
- 页面: 58-70
- 栏目: Articles
- URL: https://journals.rcsi.science/2500-1019/article/view/267630
- DOI: https://doi.org/10.18799/24131830/2024/7/4629
- ID: 267630
如何引用文章
全文:
详细
Relevance. Understanding the mechanisms of liquid droplets interaction with each other is important for many industrial and technical applications related to solving a range of problems like slag removal in a high-temperature environment, obtaining components of the desired fraction in the food industry, etc. Aim. Establishment of the main patterns of suspension droplets interaction in a gas-air environment with temperature variation. Methods. Using shadow high-speed video recording, the main patterns of the binary collision of suspensions droplets were determined. The paper introduces the results of experimental studies of the coal-water suspensions droplets collisions characteristics in a gas-air environment with a temperature of 90–120°C. Parameters of the generated droplets: radius 1.0–2.2 mm, velocity 0.5–2.0 m/s. Results and conclusions. The authors have determined the modes of suspensions droplets collision (coagulation and separation) and the main characteristics of secondary fragments and constructed the maps of the modes of suspensions droplets interaction with each other when varying the concentration of solid particles in the suspension, the temperature of the gas-air environment and the time the target drop spent in a gas-air environment with an elevated temperature. The conditions were established for the coagulation of droplets, as well as their intensive secondary grinding to intensify their drying, ignition and combustion in boiler furnaces. It was established that an increase in the temperature of the gas-air environment leads to a significant change in the size and properties of droplets, as well as to the occurrence of oscillatory phenomena in the system. It is substantiated that collision of droplets of suspensions in a gas-air environment with elevated temperature is complex and multi-parametric. Its characteristics depend on a combination of factors (surface tension and liquid viscosity, size and shape of droplets, speed of their movement, density and viscosity of gas-air environment). The authors obtained mathematical expressions to describe the boundaries of the modes of the studied processes and schemes for using the results obtained in order to increase the efficiency of the corresponding technological processes.
全文:
Введение
Распыление жидкостей применяется во многих технологических приложениях, в частности: при пламенно-аэрозольном синтезе [1], очистке газовых сред на основе гигроскопичности аэрозоля [2], локализации и подавлении возгораний [3, 4], подготовке и сжигании [5, 6] топлив, приготовлении многокомпонентных смесей и разделении компонентов [7, 8], в испарительных и теплообменных системах [9, 10], в процессе дымоосаждения [11, 12], в пищевой промышленности [13]. Во всех приложениях реализуются соударения капель жидкости и твердых частиц. Широкую известность получили исследования, посвященные столкновению капель чистых жидкостей в различных системах [14, 15]. Их применимость к суспензиям ограничена, поскольку последние обладают уникальными свойствами [16]. Суспензии представляют смеси твердых частиц, диспергированных в жидкости. Наличие последних оказывает влияние на вязкость жидкости, ее поверхностное натяжение, теплопроводность и т. д. Эти факторы оказывают значительное влияние на механизмы столкновения, а также на результаты таких взаимодействий [17, 18]. Понимание физики столкновений капель суспензий имеет решающее значение для целого ряда приложений – от распылительной сушки до предотвращения загрязнения воздуха [19, 20]. В связи с этим исследования столкновений капель суспензий являются актуальными.
В аэрозольных потоках капли суспензии имеют различные формы и размеры [21]. При соударении капли сливаются, образуя более крупные, или же отскакивают от поверхности [22]. Кроме того, капли могут прилипать к поверхности частиц и образовывать на них пленку или конгломераты [23]. Важным фактором является концентрация суспензии, которая влияет и на последствия соударения [22]. Еще одним важным аспектом столкновений капель суспензии с твердыми частицами является относительная скорость движения [24]. Высокая скорость движения капель приводит к увеличению интенсивности соударения. Однако этот параметр также может увеличивать вероятность отскока капель от поверхности частиц. Кроме того, скорость движения влияет на механизмы взаимодействия [24, 25]. Форма твердых частиц также оказывает влияние на процессы соударения с каплями [26]. Например, частицы с выступами на поверхности препятствуют коагуляции, в то время как частицы с более гладкой поверхностью лучше агломерируют. Частицы с полостями удерживают жидкость внутри себя, образуя структуры типа капсул. Поверхностные свойства капель и частиц существенно влияют на столкновения в суспензии. Например, гидрофобные или гидрофильные свойства поверхности изменяют вероятность адгезии или отталкивания между частицами и жидкостью [27]. Это приводит к изменению механизмов соударения и качественным изменениям результатов.
Одним из основных вопросов, который целесообразно изучить в рамках исследования столкновения капель суспензий, является определение оптимальных условий для достижения максимальной степени смешивания. Понимание физики столкновений капель суспензии имеет важное значение для промышленных и научных приложений, таких как распыление, формирование пленок и образование новых суспензий. Разработка технологий, позволяющих контролировать эти процессы, имеет значительный потенциал для повышения эффективности и экологической устойчивости промышленных процессов. Изучение закономерностей взаимодействия капель суспензий между собой в нагретой газовоздушной среде позволит улучшить существующие технологические процессы и разработать новые технологии для сушки аэрозолей или их зажигания в топках котлов. Цель работы – установление основных закономерностей взаимодействия капель жидкости в газовоздушной среде при варьировании температуры последней.
Методика исследования
Схема экспериментального стенда представлена на рис. 1. Каркас стенда представляет алюминиевый конструкционный профиль (1) для крепления оборудования. Процесс соударения капель с твердыми углеродистыми частицами регистрировался высокоскоростной видеокамерой Photron mini UX100 (2) с разрешением 1280×1000 и объективом Nikon ED AF Micro Nikkor 100 мм. Съемка велась с частотой 5000 кадр/с и межкадровой задержкой 1/20000 с. Для дополнительной подсветки использовался диодный прожектор (3). Область регистрации (4) выбиралась и настраивалась таким образом, чтобы обеспечить слежение за параметрами исходных капель и сформировавшихся вторичных фрагментов.
Рис. 1. Экспериментальный стенд (а) и схема проведения эксперимента (б): 1 – каркас стенда; 2 – высокоскоростная видеокамера; 3 – прожектор; 4 – область регистрации; 5 – сменные сопла различного диаметра; 6 – шприц с жидкостью; 7 – шприцевой насос; 8 – закрепленная капля суспензии; 9 – держатель капли; 10 – спиртовая горелка
Fig. 1. Experimental stand (a) and experimental scheme (b): 1 – stand frame; 2 – high-speed video camera; 3 – spotlight; 4 – registration area; 5 – replaceable nozzles of various diameters; 6 – syringe with liquid; 7 – syringe pump; 8 – fixed drop of suspension; 9 – drop holder; 10 – alcohol burner
Через сменные сопла (5) с различными внутренними диаметрами (0,21–1,12 мм) подавалась угольная суспензия с варьируемой концентрацией твердых частиц (Cр=10–60 %). Напор жидкости генерировался с помощью шприца (6) объемом 50 мл, установленного в канале шприцевого насоса (7) и с поддержанием постоянного расхода жидкости
60–100 мл/ч. Основные параметры генерируемых капель: радиус (Rd) 1,0–2,2 мм, скорость движения (Ud) 0,5–2,0 м/с. Диапазон изменения размеров капель выбирался таким образом, чтобы капля претерпевала наименьшую деформацию и характеризовалась стабильной формой при движении в газовоздушной среде. Выбор диапазона изменения скорости движения основан на том, чтобы обеспечить реализацию различных режимов столкновения. Во время проведения экспериментов капля суспензии (8) располагалась на специальном держателе (9). Для нагрева газовоздушной среды использовалась спиртовая горелка (10). Регистрация температуры в области столкновения осуществлялся с помощью хромель-алюмелевой термопары. Температура среды варьировалась в диапазоне от 90 до 120 °С. Выбор такого диапазона связан с практическими приложениями. В пищевой промышленности и фармацевтике важным параметром является сохранение свойств продуктов после высыхания капель суспензий. Для большинства процессов оптимальна температура воздействия от 50 до 90 °С [28].
Для формирования капли-мишени использовалась угольная суспензия с различной концентрацией твердых частиц (10–60 %). Уголь марки «К» фракцией 200 мкм применялся в качестве твердых частиц. Процесс смешения такой суспензии происходил при помощи магнитной мешалки при 950 об/мин в течение 10 минут, после чего состав применялся в экспериментальных исследованиях. В таких условиях в течение эксперимента частицы угля не успевали осаждаться и находились во взвешенном равновесном состоянии. Поверхностное натяжение жидкости определено методом висящей капли с помощью прибора по измерению краевого угла DSA 25S. Плотность суспензии измерена ареометром. С целью определения вязкости использовался вискозиметр Brookfield DV3TLV. При концентрации суспензии 60 % жидкость являлась неньютоновской, поэтому вязкость для нее не измерялась. Физические свойства исследуемых суспензий приведены в таблице.
Таблица. Физические свойства суспензий
Table. Physical properties of suspensions
Концентрация, мас. % Сoncentration, wt % | Плотность, кг/м3 Density, kg/m3 | Вязкость, Па∙с Viscosity, Pa∙s | Поверхностное натяжение, Н/м Surface tension, N/m |
10 | 1046 | 0,0017 | 0,109 |
40 | 1095 | 0,0028 | 0,311 |
60 | 1290 | – | 0,488 |
Рассчитывались значения безразмерного линейного параметра взаимодействия B (B=b/(Rd1+Rd2)) и числа Вебера (We=2·ρ·Rd·Ud2/σ). Последнее вычислялось с учетом результирующей скорости движения капель. Значения We варьировались в диапазоне от 0 до 60. Далее строились режимные карты в системе координат B(We) по аналогии с [13]. Затем определялись пограничные точки, характеризующие каждый режим взаимодействия капель для построения границы раздела режимов. Изучались характеристики вторичных фрагментов, формирующихся при дроблении исходной капли. Для этого регистрировались радиусы (rd) всех вторичных фрагментов и их количество N в области видеорегистрации.
Результаты исследования и их обсуждение
На рис. 2–4 приведены видеокадры соударения движущейся капли-снаряда с каплей-мишенью, закрепленной на держателе и находящейся в газовоздушной среде с температурой 90 °С.
Рис. 2. Видеокадры соударения капли суспензии Сp1=10 мас. %, Rd1=1,25 мм с закрепленной на держателе каплей суспензии Сp2=60 мас. %, Rd2=1,1 мм, находящейся в газовоздушной среде с температурой 90 °С в течение t=5 с
Fig. 2. Video frames of the impact of a droplet of suspension (Сp1=10 wt %, Rd1=1,25 mm) with a droplet of suspension (Сp2=60 wt %, Rd2=1,1 mm) fixed to the holder located in a gas-air environment with a temperature of 90°С for t=5 s
Рис. 3. Видеокадры соударения капли-снаряда Сp1=10 мас. %, Rd1=1,25 мм с закрепленной на держателе каплей-мишенью Сp2=60 мас. %, Rd2=1,25 мм, находящейся в газовоздушной среде с температурой 90 °С в течение времени t=10 с: а) капля-снаряд № 1; б) капля-снаряд № 2
Fig. 3. Video frames of the impact of a droplet-projectile Сp1=10 wt %, Rd1=1,25 mm with a target droplet Сp2=60 wt %, Rd2=1,25 mm fixed to the holder located in a gas-air environment with a temperature of 90°С for t=10 s: а) projectile droplet no. 1; b) projectile droplet no. 2
Рис. 4. Видеокадры соударения капли суспензии cp1=10 мас. %, Rd1=1,25 мм с закрепленной на держателе каплей суспензии cp2=60 мас. %, Rd2=1,25 мм, находящейся в газовоздушной среде с температурой 90 °С в течение времени t=20 с: а) соударение с первой каплей; б) соударение со второй каплей; в) соударение с третьей каплей
Fig. 4. Video frames of the impact of a suspension droplet cp1=10 wt %, Rd1=1,25 mm with a suspension droplet cp2=60 wt %, Rd2=1,25 mm fixed to the holder located in a gas-air environment with a temperature of 90°С for t=20 s: а) collision with the first droplet; b) collision with the second droplet; c) collision with the third droplet
При малом времени нахождения (t=5 с) капли-мишени в газовоздушной среде с температурой 90 °С (рис. 2) жидкая составляющая суспензии не успевает полностью испариться. Поэтому при соударении капли-снаряда с каплей-мишенью происходит неполное разрушение последней и унос ее определенного объема вместе с вторичными фрагментами капли-снаряда. Установлено, что взаимодействие между жидкостями в соударяющихся каплях сильнее, чем взаимодействие между жидкостью и твердыми частицами. Таким образом, под действием сил вязкости происходило активное смешение суспензий в момент времени от 0 до 4 мс. После этого под действием сил инерции снаряда происходило растяжение результирующей капли. Формирующиеся в виде ламели фрагменты результирующей капли растягивались до достижения критической толщины перешейка между основным объемом жидкости, находящимся на держателе, и падающими ламелями. После достижения критической толщины перешеек разрушался. Формировались несколько вторичных фрагментов.
Высокоскоростная видеорегистрация показала, что увеличение времени нахождения капли суспензии в газовоздушной среде с повышенной температурой приводит к постепенному испарению жидкости с ее поверхности. При последовательном столкновении двух капель суспензии (снарядов) с подсушенной каплей суспензии (мишенью) (рис. 3, а) растекание жидкости капли-снаряда № 1 существенно отличается от случая столкновения капли-снаряда с каплей-мишенью, находящейся в нагретой до 90 °С газовоздушной среде при t=5 с (рис. 2). Суспензия капли-снаряда № 1 полностью обволакивает каплю-мишень и стекает с нее, формируя монолитный массив суспензии.
При этом на рис. 3, а видно, что капля-снаряд № 1 уносит с собой часть твердых частиц с поверхности капли-мишени. При сравнении геометрических размеров капли-мишени перед соударением с каплей-снарядом № 1 и оставшейся на держателе жидкости, видно, что капля-снаряд № 1 оставляет часть суспензии на поверхности капли-мишени. Это подтверждается изменением взаимодействия капли-снаряда № 2 и капли-мишени.
Процесс соударения капли-снаряда № 2 с каплей-мишенью значительно отличается от соударения капли-снаряда № 1 с каплей-мишенью. На начальном этапе взаимодействия процессы подобны, однако через 2,6–2,8 мс после начала взаимодействия около 50 % объема капли-мишени уносится формирующимися вторичными фрагментами капли-снаряда № 2. В дальнейшем формирующиеся вторичные фрагменты под действием сил вязкости и поверхностного натяжения растягивают каплю-мишень. Это приводит к ее практически полному отрыву от держателя. Происходит формирование нескольких (от 3 до 8) вторичных фрагментов радиусами 0,3–0,9 мм. Таким образом, после двух последовательных соударений одинаковых по размеру снарядов суспензии с мишенью идентичного размера (Rd1=1,25 мм и Rd2=1,25 мм) на держателе остается объем жидкости, равный 5–7 % от начального объема капли-мишени.
На рис. 4 приведены видеокадры взаимодействия капли-мишени, находящейся в газовоздушной среде с температурой 90 °С, в течение 20 секунд с тремя последовательно падающими на нее каплями-снарядами. Твердые частицы в суспензии капли-мишени находятся во взвешенном состоянии и подвержены воздействию различных эффектов, включая термические и Ван-дер-Ваальсовые взаимодействия. За время, равное 20 секундам, с поверхности мишени, как это будет показано впоследствии, испаряется основной объем жидкости, оставляя только высушенный конгломерат твердых частиц. При столкновении с первой каплей-снарядом № 1 (рис. 4, а) происходит движение жидкости по поверхности мишени, что ведет к возникновению силы трения, которая уменьшает скорость движения суспензии. Твердые частицы в суспензии при этом подвержены диффузии, термическому движению и конвекции. При падении капли-снаряда № 1 происходит также переход массы твердых частиц из внутренней части капли на ее поверхность, что способствует объединению частиц и формированию агломератов. Скорость растекания снаряда № 1 значительно замедляется из-за неоднородностей поверхности мишени. В результате снаряд № 1 обволакивает мишень, некоторый объем жидкости стекает вниз. После отрыва от основной результирующей капли формируются
2–3 вторичных фрагмента. При этом, как видно из рис. 4, а, во вторичном фрагменте значительно меньше твердых частиц капли-мишени (до 15), чем при условиях взаимодействия, представленных на рис. 2, 3. Взаимодействия снаряда № 2 (рис. 4, б) и снаряда № 3 (рис. 4, в) с каплей-мишенью идентичны представленным, соответственно, на рис. 3, а, б.
Коагуляция происходит в результате пересечения эффективных объемов взаимодействия между частицами и прилипания частиц друг к другу с образованием внутриагломератных связей. При этом происходит образование связей между частицами. Увеличение времени нахождения капли-мишени в газовоздушной среде с температурой 90 °С до 30 и более секунд не привело к изменению процесса взаимодействия между каплей-мишенью и каплями-снарядами. После соударения с каплей-снарядом № 3 во всех случаях происходило полное разрушение капли-мишени, как это показано на рис. 4, в.
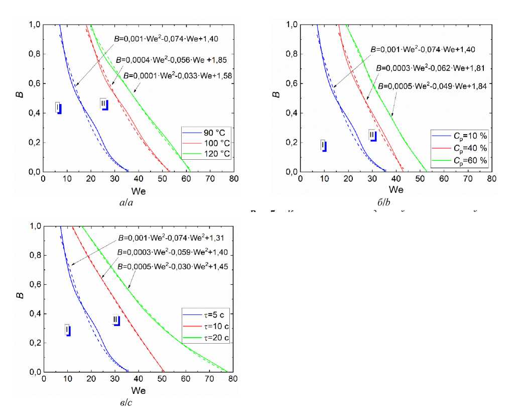
Результаты проведенных экспериментов обобщены в виде карт режимов соударений капель суспензий на рис. 5 при различных параметрах проведения экспериментов.
Установлены границы режимов взаимодействия капель на данных картах. При этом критические значения числа Вебера определяют переход от одного режима к другому, т. е. границу раздела между ними. Показано, что для реализации режима дробления при увеличении температуры газовоздушной среды от 90 до 120 °С требуются повышенные значения чисел Вебера (рис. 5, а). Критические числа Вебера при 120 °С оказались наибольшими, в частности, на 50–60 % выше, чем для реализации данного режима при температуре газовоздушной среды 90 °С. То есть чем выше температура окружающей газовоздушной среды, тем выше скорость испарения жидкости и тем выше шероховатость поверхности мишени. Увеличение шероховатости приводит к необходимости увеличения скоростей движения капли-снаряда в режиме дробления. Такой эффект объясняется увеличением неравномерности (неровности поверхности) с увеличением температуры газовоздушной среды. Но в то же время при контакте капли-снаряда с множеством неровностей и отдельных разнонаправленных твердых частиц капли-мишени интенсифицируют разрушение капли-снаряда. Экспериментально установлено, что при увеличении температуры газовоздушной среды и объема испарившейся жидкости капли-мишени происходило смещение границ режима дробления в сторону повышенных значений чисел Вебера.
Рис. 5. Карты режимов соударений капель суспензий при варьировании условий проведения экспериментов, Rd1=Rd2=1,25 мм: a) варьирование температуры газовоздушной среды от 90 до 120 °С, Сp1=10 мас. %, Сp2=60 мас. %, t=5 с; б) варьирование концентрации твердых частиц в суспензии, T=90 °С, t=5 с; в) варьирование времени нахождения капли-мишени в газовоздушной среде с повышенной температурой перед соударением с каплей-снарядом № 1, T=90 °С, Сp110 мас. %, Сp2=60 мас. %. I – коагуляция; II – разрушение
Fig. 5. Maps of collision modes of droplets of suspensions when varying experimental conditions, Rd1=Rd2=1,25 mm: a) varying the temperature of the gas-air environment from 90 to 120°С, Сp1=10 wt %, Сp2=60 wt %, t=5 s; b) varying the concentration of solid particles in the suspension, T=90°С, t=5 s; c) varying the time of the target droplet being in a gas-air environment with an elevated temperature before colliding with the projectile droplet no. 1, T=90°С, Сp1=10 wt %, Сp2=60 wt %. I – coagulation; II – separation
Реологические свойства суспензии, такие как вязкость, пластичность, текучесть и структура, играют важную роль в процессах дробления капель. Более вязкие суспензии могут создавать большее сопротивление для дробящего устройства, тормозя процесс дробления, в то время как пластичные суспензии могут формировать липкие оболочки вокруг капель, что делает их более устойчивыми к разрушению. Текучесть суспензии определяет ее способность к деформации, влияя на процесс дробления, а структура суспензии может также играть роль в создании дополнительного сопротивления или интерференции между каплями. Учет этих реологических свойств суспензии существенен для оптимизации процессов дробления капель и получения требуемого конечного продукта.
Изменение концентрации твердых частиц в суспензии от 10 до 60 мас. % влияет на характеристики соударения через различные механизмы, включая эффекты, связанные с силами вязкости и поверхностного натяжения, адгезией и коагуляцией частиц (рис. 5, б). При пониженных скоростях движения капель (до 1–1,5 м/с) влияние концентрации твердых частиц на процесс соударения ограничивается эффектами, связанными с их взаимодействием с жидкой средой. Однако при увеличении скорости движения капель усиливается действие сил, связанное с движением жидкой среды, включая силы турбулентности и инерции, что приводит к существенному изменению характеристик соударения капель. Следствием этого стало смещение границы режима дробления в сторону увеличения числа Вебера при росте концентрации твердых частиц в суспензии с 10 до 60 мас. %. Изменение критического числа Вебера при Сp=40 мас. % в сравнении с Сp=10 мас. % составило от 12 до 23 % в зависимости от значения безразмерного линейного параметра взаимодействия. При увеличении концентрации твердых частиц до Сp=60 мас. % граница режима дробления сместилась еще на 8–17 % в сторону увеличения We. При высоких концентрациях твердых частиц в суспензии возможно образование сложных по структуре и форме агломератов в каплях. Это приводит к уменьшению эффективной плотности и размеров свободных частиц и изменению их взаимодействия между собой. Следствием этого является усиление или ослабление сил поверхностного натяжения между каплями и изменение механизма соударения, включая эффекты, связанные с агломерацией частиц внутри капель.
Значительное влияние на соударение двух капель также оказывает время нахождения капли-мишени в газовоздушной среде с температурой 90–120 °С (рис. 5, в). При попадании капли суспензии в газовую среду с температурой 90–120 °С на поверхности капли начинают происходить процессы испарения, что приводит к изменению ее поверхности. Через 5 с после помещения капли в нагретую газовоздушную среду на ее поверхности интенсифицируется процесс испарения, что приводит к увеличению концентрации угля в приповерхностных слоях. Через 10 с процесс испарения замедляется, а на поверхности капли формируется слой твердых частиц. Трансформация приповерхностного слоя несущественно изменяет ее форму. Также ускоряется термогравитационная конвекция внутри капли, что приводит к перемешиванию слоев суспензии. Следствием описанных процессов стало увеличение критических чисел Вебера для реализации дробления на 34–51 %. При нахождении в газовоздушной среде с повышенной температурой в течение 20 и более секунд жидкость из капли размером Rd=1,25 мм полностью испаряется, что подтверждается видеорегистрацией процесса взаимодействия и последующей обработкой результатов экспериментов. Характеристики взаимодействия через 20, 25, 30 и 40 с воздействия газовоздушной среды с температурой 90–120 °С идентичны. При значении В=0 граница начала режима дробления сместилась на 78–91 % относительно границы для t=10 с. Однако с увеличением В относительное смещение границы снижалось, и для диапазона В=0,8–1,0 составило 34–46 %. Данный эффект свидетельствует о преобладании сил инерции над силами трения при уменьшении эффективных объемов сталкивающихся капель.
При обработке результатов, представленных на рис. 5, получены аппроксимационные выражения для границ режимов агломерации и дробления при варьировании температуры газовоздушной среды, концентрации твердых частиц в суспензии и времени нахождения капли в газовоздушной среде с повышенной температурой. В общем виде выражения имеют вид:
(1)
Коэффициенты уравнения, зависящие от температуры газовоздушной среды, описываются следующими зависимостями:
(2)
(3)
(4)
При подстановке выражений (2)–(4) в (1) получаем итоговое уравнение границы перехода между режимами агломерации и дробления (рис. 5, а):
Коэффициенты уравнения, зависящие от концентрации твердых частиц в суспензии, описываются следующими зависимостями:
(5)
(6)
(7)
При подстановке выражений (5)–(7) в (1) получаем итоговое уравнение (рис. 5, а):
.
Коэффициенты уравнения, зависящие от времени нахождения капли в газовоздушной среде с повышенной температурой, описываются следующими зависимостями:
(8)
(9)
(10)
где t – время движения капли-снаряда от момента отрыва от сопла до момента соударения с каплей-мишенью.
При подстановке выражений (8)–(10) в уравнение (1), описывающее переход между режимами агломерации и дробления при варьировании τ, итоговое выражение примет следующий вид (рис. 5, в):
Из анализа полученных после обработки экспериментальных данных по количеству и размерам вторичных фрагментов следует вывод о том, что время нахождения капли-мишени в газовоздушной среде с температурой 90–120 °С оказывает существенное влияние на формирование вторичных фрагментов. В частности, чем выше время t (при аналогичных остальных условиях), тем меньшее количество вторичных фрагментов образуется в результате взаимодействия капли-снаряда с каплей-мишенью. Данный эффект продемонстрирован на рис. 6.
Рис. 6. Распределения по размерам вторичных фрагментов при соударениях капли-снаряда Rd1=1,25 мм, Сp1=10 мас. % и капли-мишени Rd2=1,25 мм, Сp2 = 60 мас. % при варьировании времени ее нахождения в газовоздушной среде с температурой 90 °С
Fig. 6. Size distributions of secondary fragments during impacts of a projectile droplet Rd1=1,25 mm, Сp1=10 wt % and target droplet Rd2=1,25 mm, Сp2 = 60 wt % when varying the time of its presence in a gas-air environment with a temperature of 90°C
Пики распределения вторичных фрагментов смещаются в сторону больших размеров с увеличением времени нахождения капли в газовоздушной среде с повышенной температурой. Если при t=5 с пик распределения находился в области 0,2 мм, то при t=10 с экстремум сместился к 0,25 мм, а при t=20 с – в область 0,3–0,35 мм. В первую очередь, это обусловлено торможением жидкости капли-снаряда вследствие образования большего количества пустот между твердыми частицами при постепенном высыхании капли суспензии. Установлено, что при увеличении времени нахождения капли-мишени в газовоздушной среде с температурой 90–120 °С при постоянных размерах и скоростях движения капель изменяется количественный и качественный состав сформированных вторичных фрагментов. Такой эффект обусловлен тем, что суспензия капли-снаряда при контакте с поверхностью капли-мишени с большей шероховатостью сильнее замедляется на ней, инерция капли-снаряда расходуется на преодоление сил трения. В результате этого на преодоление сил вязкости остается меньше кинетической энергии и под действием сил поверхностного натяжения формируется меньшее количество, но более крупных вторичных фрагментов. Множество выступающих твердых фрагментов на поверхности капли-мишени с сопоставимыми размеру расстояниями между ними создают естественный тормозящий барьер. Жидкость и твердые частицы суспензии капли-снаряда задерживаются в пустотах между возвышенностями на поверхности капли-мишени. Увеличение времени нахождения капли-мишени в газовоздушной среде с температурой
90–120 °С приводит к большему испарению жидкости с поверхности капли-мишени. Следствием этого становится формирование большего количества воздушных пустот между твердыми частицами, вакантными для заполнения суспензией капли-снаряда. Соответствующий эффект обусловлен тем, что при столкновении двух капель элементы шероховатости поверхности капли-мишени приводят к деформации поверхностных слоев капли-снаряда.
Установлено, что при столкновении капель суспензии происходит их измельчение, которое протекает на нескольких уровнях. На первом уровне происходит слияние двух капель в одну более крупную каплю за счет совмещения их поверхностей. Это явление существует при условии, что капли достаточно близко находятся относительно друг друга и имеют одинаковые размеры. На втором уровне происходит измельчение капель на более мелкие вторичные фрагменты. Этот процесс связан с образованием при столкновении множества мелких капель вокруг центральной капли. При этом происходит разрушение поверхностей капель и образование более мелких фрагментов. На третьем уровне образуются мельчайшие капли при условии высокой интенсивности соударений. Это происходит при взаимодействии между каплями и газовым потоком, которые при столкновении вызывают испарение капель и образование мельчайших фрагментов.
Дробление капель суспензии представляет существенно неоднородный процесс. Его характеристики зависят от совокупности факторов, включая размеры капель, их форму, плотность и вязкость жидкости, а также скорость движения и температуру газовоздушной среды. Кроме того, на дробление капель влияют и другие факторы, такие как наличие добавок и примесей в жидкости, а также взаимодействия между молекулами суспензии и газа.
Заключение
Проведенные эксперименты показали, что нагрев газовоздушной среды до 90–120 °С при соударении капель суспензий приводит к значительному уменьшению размеров капель. Этот эффект обусловлен увеличением скорости движения молекул газа при повышении температуры, что приводит к увеличению интенсивности столкновений молекул с каплями суспензии. Кроме того, при соударении капель суспензии в газовоздушной среде с температурой 90–120 °С происходит образование мельчайших капель, что обусловлено реализацией микро-взрывных эффектов и интенсификацией парообразования на поверхности капель. Это явление носит колебательный характер и сопровождается высокочастотной вибрацией поверхности капель.
Значительное влияние на соударение двух капель также оказывает время нахождения капли-мишени в газовоздушной среде с повышенной температурой. За счет испарения жидкости из капли-мишени через 10 с после начала нагрева в газовоздушной среде с температурой 120 °С значения критических чисел Вебера увеличились на 34–51 %, через 20 с – на 78–91 %. При постепенном высыхании мишени экстремумы распределения вторичных фрагментов смещались в сторону больших величин. При t=5 с пик распределения находился в области 0,2 мм, при t=10 с экстремум сместился к rd≈0,25 мм, а при t=20 с – в область 0,3–0,35 мм. В первую очередь это связано с торможением жидкости капли-снаряда за счет образования большего количества пустот между твердыми частицами при постепенном высыхании капли-мишени.
Процесс соударения капель суспензий в газовоздушной среде с повышенной температурой является сложным и многопараметрическим процессом, который зависит от совокупности факторов: поверхностного натяжения, размеров и форм капель, скорости их движения и вязкости газовоздушной среды. Полученные результаты важны для глубокого понимания процессов, происходящих в суспензиях, а также для разработки новых методов контроля их свойств.
作者简介
Anastasia Islamova
National Research Tomsk Polytechnic University
编辑信件的主要联系方式.
Email: agi2@tpu.ru
ORCID iD: 0000-0001-7350-8102
Cand. Sc., Associate Professor
俄罗斯联邦, TomskPavel Tkachenko
National Research Tomsk Polytechnic University
Email: tkachenko_pavel_1996@mail.ru
ORCID iD: 0000-0003-1095-9277
Postgraduate Student
俄罗斯联邦, TomskStanislav Shulyaev
National Research Tomsk Polytechnic University
Email: sas77@tpu.ru
ORCID iD: 0009-0001-2743-6600
Master’s Student
俄罗斯联邦, Tomsk参考
- Liu S., Mohammadi M.M., Swihart M.T. Fundamentals and recent applications of catalyst synthesis using flame aerosol technology. Chemical Engineering Journal, 2021, vol. 405, 126958. doi: 10.1016/j.cej.2020.126958.
- Tang M., Chan C.K., Li Y.J., Su H., Ma Q., Wu Z., Zhang G., Wang Z., Ge M., Hu M., He H., Wang X. A review of experimental techniques for aerosol hygroscopicity studies. Atmospheric Chemistry and Physics, 2019, vol. 19,
- pp. 12631–12686. doi: 10.5194/acp-19-12631-2019.
- Kuznetsov G. V., Kralinova S.S., Voytkov I.S., Islamova A.G. Rates of High-Temperature Evaporation of Promising Fire-Extinguishing Liquid Droplets. Applied Sciences, 2019, vol. 9, 5190. doi: 10.3390/app9235190.
- Kuznetsov G.V., Antonov D.V., Voitkov I.S., Islamova A.G., Kropotova S.S., Shlegel’ N.E. Mechanisms of heat and mass transfer in the localization of ground forest fires with the use of barrier strips. Journal of Engineering Physics and Thermophysics, 2021, vol. 94, pp. 775–789. doi: 10.1007/s10891-021-02355-0.
- Yang C., Jeong J., Kim Y., Bang B., Lee U. Numerical simualtion of a circulating fluidized bed combustor and evaluation of empirical models for estimating solids volume fraction. Powder Technology, 2021, vol. 393, pp. 786–795. doi: 10.1016/J.POWTEC.2021.08.001.
- Stefanitsis D., Malgarinos I., Strotos G., Nikolopoulos N., Kakaras E., Gavaises M. Numerical investigation of the aerodynamic breakup of diesel and heavy fuel oil droplets. International Journal of Heat and Fluid Flow, 2017, vol. 68, pp. 203–215. doi: 10.1016/j.ijheatfluidflow.2017.10.012.
- Wang P., Zhang K., Liu R. Influence of air supply pressure on atomization characteristics and dust-suppression efficiency of internal-mixing air-assisted atomizing nozzle. Powder Technology, 2019, vol. 355, pp. 393–407. doi: 10.1016/J.POWTEC.2019.07.040.
- Alekseenko S. V., Anufriev I.S., Dekterev A.A., Shadrin E.Y., Kuznetsov V.A., Sharypov O.V., Boyko E.E., Naumov I.V., Kabardin I.K. Investigation of transfer processes in swirling flows in application to vortex furnaces for coal fuel. International Journal of Thermal Sciences, 2021, vol. 161, 106715. doi: 10.1016/J.IJTHERMALSCI.2020.106715.
- Kunkel S., Teumer T., Dörnhofer P., Schlachter K., Weldeslasie Y., Kühr M., Rädle M., Repke J.U. Determination of heat transfer coefficients in direct contact latent heat storage systems. Applied Thermal Engineering, 2018, vol. 145, pp. 71–79. doi: 10.1016/J.APPLTHERMALENG.2018.09.015.
- Zhang R., Wu H., Si X., Zhao L., Yang L. Improving the removal of fine particulate matter based on heterogeneous condensation in desulfurized flue gas. Fuel Processing Technology, 2018, vol. 174, pp. 9–16. doi: 10.1016/J.FUPROC.2018.01.015.
- Fathinia F., Khiadani M., Al-Abdeli Y.M. Experimental and mathematical investigations of spray angle and droplet sizes of a flash evaporation desalination system. Powder Technology, 2019, vol. 355, pp. 542–551. doi: 10.1016/j.powtec.2019.07.081.
- Anufriev I.S., Baklanov A.M., Borovkova O.V., Vigriyanov M.S., Leshchevich V.V., Sharypov O.V. Investigation of soot nanoparticles during combustion of liquid hydrocarbons with injection of a superheated steam jet into the reaction zone. Combustion, Explosion, and Shock Waves, 2017, vol. 53, pp. 140–148. doi: 10.1134/S0010508217020034.
- Pawar S.K., Henrikson F., Finotello G., Padding J.T., Deen N.G., Jongsma A., Innings F., Kuipers J.A.M.H. An experimental study of droplet-particle collisions. Powder Technology, 2016, vol. 300, pp. 157–163. doi: 10.1016/j.powtec.2016.06.005.
- Shao L., Liu D., Ma J., Chen X. Experimental characterization of the effect of liquid viscosity on collisions between a multi-component droplet and a heated particle. Chemical Engineering Science, 2022, vol. 261, 117968. doi: 10.1016/J.CES.2022.117968.
- Schweitzer J.-M., Servel M., Salvatori F., Dandeu A., Minière M., Joly J.-F., Gaubert Q., Barbosa S., Onofri F.R.A. Spray drying of colloidal suspensions: Coupling of particle drying and transport models with experimental validations. Chemical Engineering Research and Design, 2021, vol. 170, pp. 224–238. doi: 10.1016/j.cherd.2021.04.004.
- Malnarič I., Alič B., Krajnc M., Vesel A., Šebenik U. Rheological study of highly concentrated aqueous graphene oxide suspensions: the effects of concentration, particle lateral dimensions and number of layers per particle. Colloids Surfaces A Physicochemical and Engineering Aspects, 2023, vol. 675, 132012. doi: 10.1016/j.colsurfa.2023.132012.
- Lv Q., Li J., Guo P., Zhang B., Tang P. Effect of Reynolds number on impact force and collision process of a low-velocity droplet colliding with a wall carrying an equal-mass deposited droplet. International Journal of Multiphase Flow, 2023, vol. 163, 104432. doi: 10.1016/j.ijmultiphaseflow.2023.104432.
- Sun W., Zhang X., Yao C., Wang Q., Jin N., Lv H., Zhao Y. Hydrodynamic characterization of continuous flow of Pickering droplets with solid nanoparticles in microchannel reactors. Chemical Engineering Science, 2021, vol. 245, 116838. doi: 10.1016/j.ces.2021.116838.
- Moradi Maryamnegari S., Ashrafizadeh A., Baake E., Guglielmi M. Effects of thermal boundary conditions on the performance of spray dryers. Journal of Food Engineering, 2023, vol. 338, 111250. doi: 10.1016/j.jfoodeng.2022.111250.
- Nie W., Yang B., Du T., Peng H., Zhang X., Zhang Y. Dynamic dispersion and high-rise release of coal dust in the working surface of a large-scale mine and application of a new wet dust reduction technology. Journal of Cleaner Production, 2022, vol. 351, 131356. doi: 10.1016/j.jclepro.2022.131356.
- Bassani C.L., Barbuto F.A.A., Sum A.K., Morales R.E.M. A three-phase solid-liquid-gas slug flow mechanistic model coupling hydrate dispersion formation with heat and mass transfer. Chemical Engineering Science, 2018, vol. 178, pp. 222–237. doi: 10.1016/j.ces.2017.12.034.
- Wang X.-H., Jiang B., Yuan L., Zhao Y., Yu C.-F., Zheng Y., Huang J., Ji B. Study on coupling chelating agent and surfactant to enhance coal wettability: Experimental and theoretical discussion. Fuel, 2023, vol. 342, 127861. doi: 10.1016/j.fuel.2023.127861.
- Elghobashi S., Truesdell G. On the two-way interaction between homogeneous turbulence and dispersed solid particles. I: Turbulence modification. Physics of Fluids A: Fluid Dynamics, 1993, vol. 5, pp. 1790–1801.
- Yoon I., Shin S. Direct numerical simulation of droplet collision with stationary spherical particle: a comprehensive map of outcomes. International Journal of Multiphase Flow, 2021, vol. 135, 103503. doi: 10.1016/j.ijmultiphaseflow.2020.103503.
- Wu G., Chen S.. Comparison of droplet-particle interaction on a stationary and a moving particle. Chemical Engineering Science, 2022, vol. 253, 117552. doi: 10.1016/J.CES.2022.117552.
- Liang G., Mudawar I. Review of mass and momentum interactions during drop impact on a liquid film. International Journal of Heat and Mass Transfer, 2016, vol. 101, pp. 577–599. doi: 10.1016/j.ijheatmasstransfer.2016.05.062.
- Islamova A.G., Tkachenko P.P., Shlegel N.E., Strizhak P.A. Effect of surface roughness of solid particles on the regimes and outcomes of their collisions with liquid droplets. Experimental Thermal and Fluid Science, 2023, vol. 142, 110829. doi: 10.1016/J.EXPTHERMFLUSCI.2022.110829.
- Usupkozhoeva A.A., Elemanova R.Sh. The influence of temperature drying mode to quality indicators of dry mare’s milk. Technologies of food and processing industry of the agro-industrial complex – healthy food, 2017, no. 6, pp. 39–45. (In Russ.)
补充文件








