Методика определения оптимального объема реагента для кислотных обработок карбонатных коллекторов на основе метода кривой восстановления давления
- Авторы: Юрин А.В.1, Рябоконь Е.П.2
-
Учреждения:
- ООО «ЛУКОЙ-ПЕРМЬ»
- Пермский национальный исследовательский политехнический университет
- Выпуск: Том 335, № 8 (2024)
- Страницы: 215-226
- Раздел: Статьи
- URL: https://journals.rcsi.science/2500-1019/article/view/267399
- DOI: https://doi.org/10.18799/24131830/2024/8/4484
- ID: 267399
Цитировать
Полный текст
Аннотация
Актуальность исследования обусловлена необходимостью повышения эффективности кислотных обработок карбонатных коллекторов. Зачастую в дизайне обработок не учитываются реальные условия работы добывающих скважин, что ведет к завышению или занижению требуемого объема реагента.
Цель: предложить методику определения оптимального количества реагента для проведения кислотных обработок карбонатных коллекторов с целью восстановления проницаемости горной породы околоскважинной зоны с учетом реальных условий работы скважины, позволяющую рационализировать использование ресурсов недропользователя.
Объекты: добывающие нефтяные скважины, эксплуатирующие залежи нефти в карбонатных отложениях Пермского края, а также результаты гидродинамических исследований, проведенные на данных скважинах.
Методы: теоретическое обоснование возможности определения зоны ухудшенной проницаемости вокруг скважины по графику кривой восстановления давления, графическая обработка диагностических графиков кривой восстановления давления, математический расчет технологических показателей на основе данных гидродинамических исследований скважин, интегрирование объемов притока, анализ технологических данных и условий применимости методики.
Результаты. Разработана методика определения оптимального объема реагента для кислотных обработок карбонатных коллекторов на основе метода кривой восстановления давления. Выполнен расчет оптимального объема реагента для 21 добывающей скважины. На примере 13 скважин определен коэффициент полезного действия закаченного объема реагента и продемонстрирован завышенный объем закаченного в пласт реагента. Выполнена оценка затрат недропользователя с учетом перерасхода реагента. Определены факторы, влияющие на успешность применения методики в зависимости от условий работы скважин. Выявлены критерии, при которых проведение кислотной обработки нецелесообразно.
Полный текст
Введение
При работе добывающих скважин происходит загрязнение горной породы в околоскважинной зоне пласта из-за проникновения в поровое пространство технологических жидкостей из скважины [1] или выноса частиц из пласта [2, 3], что ведет к снижению проницаемости горной породы и продуктивности скважины. Для восстановления продуктивности добывающих скважин широкое распространение получили кислотные обработки пласта. Согласно [4], основными вопросами при проектировании кислотных обработок являются: эффективное управление направлением флюида, ограничение червоточины и чрезмерной утечки жидкости, применение обработки при высоких и низких температурах, а также подбор концентрации кислоты. В целом считается, что с увеличением объема закаченной кислоты в пласт происходит снижение скин-эффекта [5] и увеличение проницаемости горной породы околоскважинной зоны паста [6]. Введено понятие пороговой проницаемости (cutoff permeability) [7], выше которой кислотная обработка матрицы более эффективна, чем кислотный гидроразрыв, и выполнено моделирование множества сценариев, демонстрирующих, что с увеличением объема кислоты эффективность кислотной обработки повышается. Одним из критически важных аспектов в дизайне кислотных обработок является анализ на совместимость кислотного состава с пластовыми флюидами [8]. В работе [9] на основе трех моделей кислотных жидкостей (Dowell, McLeod, and Kalfayan) выполнен анализ совместимости составов с горной породой и определен требуемый объем кислотного состава.
Современные подходы к дизайну кислотных обработок включают использование программных продуктов (например, [10]), машинного обучения [11] и генетического программирования [12]. Входными параметрами для расчета в лабораторных условиях являются: пористость, проницаемость, размеры образца керна, насыщенность флюидом, вязкость, плотность, сжимаемость нефти, скорость закачки, температура, концентрация кислоты, молекулярная диффузия кислоты и скорость реакции, перепад давления, скорость потока [13]. Оценить эффективность кислотной обработки также можно по результатам гидродинамических исследований (ГДИ) скважин, проведенных перед обработкой пласта и после нее, сравнив значения скин-эффекта [14] и подставив в уравнение продуктивности [15].
Для успешного проведения кислотной обработки пласта помимо данных лабораторных исследований и истории работы скважины [16] дизайн обработки должен учитывать множество факторов, включая расход, концентрацию, температуру и давление в обрабатываемом пласте, а также объем реагента [17]. Среди прочих факторов на выбор требуемого объема реагента в пластовых условиях влияет расположение (глубина) загрязненного участка пласта относительно скважины, которое должно учитываться в дизайне кислотной обработки [18]. Для оценки объема реагента многие инженеры и исследователи используют идеализированный подход, когда объем реагента определяется исходя из размеров призабойной зоны пласта (ПЗП). Однако при проведении расчетов с таким подходом при выборе объема реагента не учитывается расстояние от скважины в пласте, на котором расположена зона ухудшенной проницаемости. Негативными последствиями этого могут являться как недостаточный объем реагента, что ведет к потере временных и финансовых ресурсов, так и повышенный расход реагента, что ведет к изменениям механических характеристик горных пород, в частности к снижению модуля Юнга [19]. В обоих случаях выбранный неоптимальный объема реагента снижает эффективность кислотной обработки.
Помимо указанных подходов, существуют и другие, описанные далее. На основе математического моделирования автор [20] разработал диаграммы для определения требуемого объема кислоты для обработки трещиноватых карбонатных коллекторов и предложил рассчитывать глубину зоны ухудшенной проницаемости по экспоненциальному закону rd=rwexp(S/(ka/kd–1)) на основании знания только лишь скин-эффекта и проницаемостей двух зон. В работе [21] предложено определять оптимальный объем раствора соляной кислоты на основе кривой кислотной реакции (acid response curve), даны соотношения для определения итогового коэффициента проницаемости, расчет которого основан на текущем и прогнозируемом коэффициенте продуктивности, однако не представлено соотношений для определения требуемого объема кислотного состава для условий пласта. Для определения оптимального объема реагента при соляно-кислотной обработке (СКО) в [22] предложено использовать формулу Vopt=ln(a)/(–b), в которой a характеризует долю оставшегося скин-эффекта по отношению к общему скин-эффекту, b – это характеристика кривой, влияющая на соответствие расчетных и фактических значений. Аналогичный подход отображения скин-эффекта в реальном времени для оценки эффективности проведения кислотной обработки был предложен в [23]. Однако технология определения оптимального объема кислотного состава в режиме реального времени [24] не получила широкого распространения, в результате чего в пласт продолжает закачиваться заранее приготовленный объем кислотного состава.
Учитывая расхожие подходы к оценке требуемого количества реагента для кислотных обработок пласта, в дополнении к указанным в [4] направлениям можно выделить еще один не менее актуальный вопрос, связанный с дизайном кислотных обработок – определение оптимального объема кислотного состава.
Помимо указанных выше методик для расчета оптимального объема химического реагента широкое распространение получили методики, основанные на числах Дамкелера (например, [25, 26]) и Пекле. Число Дамкеллера используется для определения количества кислоты из расчета толщины пласта. Особенностью и одновременно недостатком теорий на основе использования числа Дамкеллера по выбору объема кислотного состава является то, что они все закладывают в расчет идеальные условия и не учитывают явления, которые наблюдаются в пласте при эксплуатации скважины. Если, к примеру, на пласте небольшой толщины проводилась кислотная обработка (и не одна), то некоторый объем породы уже был растворен кислотным составом. Это означает, что при расчете объема кислотного состава для следующей кислотной обработки по методикам на основе чисел Дамкеллера требуемый объем реагента будет завышен.
Идея настоящей работы заключается в определении объема реагента на основе результатов ГДИ до кислотной обработки, которые отражают актуальные условия эксплуатации скважины. В работе предлагается определять оптимальный объем кислотного состава по кривой восстановления давления (уровня) (КВД/КВУ). Статья организована следующим образом. Выше приведена методика использования КВД для оценки размеров зоны ухудшенной проницаемости. Ранее на основе результатов промысловых исследований приведены результаты тестирования методики и обсуждение, за которыми следует заключение.
Описание методики
Кривая восстановления давления как инструмент для оценки объема зоны ухудшенной проницаемости
Дизайн кислотных обработок должен предполагать предварительную оценку загрязненности околоскважинной зоны пласта и расстояние от скважины, на котором расположена область ухудшенной проницаемости. Наличие зоны вблизи скважины с ухудшенной проницаемостью горной породы можно определить по форме графика КВД. Если проницаемость горной породы в околоскважинной зоне не ухудшена (соответствует проницаемости пласта), то давление в скважине восстанавливается с приблизительно равной скоростью, что проявляется в плавном росте кривой зависимости забойного давления Pз от времени с начала исследования t (с момента остановки скважины). Этому явлению соответствует беспрепятственное (за исключением естественных фильтрационных сопротивлений) наполнение флюидом околоскважинной зоны и поступление флюида в скважину (рис. 1).
Рис. 1. График изменения забойного давления при регистрации КВД/КВУ в скважине с околоскважинной зоной где: (1) проницаемость не ухудшена; (2) проницаемость ухудшена
Fig. 1. Graph of changes in bottomhole pressure when recording pressure build-up curve in a well with a near-wellbore zone where: (1) permeability is not deteriorated; (2) permeability is deteriorated
В случае, если проницаемость околоскважинной зоны ухудшена, блокирующий поровое пространство материал (кольматант, песок или парафины) играет роль штуцера и ограничивает поступление флюида из пласта в околоскважинную зону, в результате чего давление в околоскважинной зоне становится значительно ниже, чем сразу за её границей. В таких условиях, после остановки скважины на начальном этапе исследования происходит интенсивный рост забойного давления, связанного с тем, что значительное подпирающее давление флюида на границе зоны ухудшенной проницаемости быстро наполняет объем околоскважинной зоны и поступает в скважину. При этом чем меньше объем околоскважинной зоны с ухудшенной проницаемостью (т. е. зона частично заблокированного порового пространства горной породы расположена ближе к стволу скважины), тем быстрее на начальном этапе будет увеличиваться забойное давление (рис. 1). Данное утверждение справедливо и в обратную сторону: с увеличением объема околоскважинной зоны (т. е. зона частично заблокированного порового пространства расположена дальше от скважины) забойное давление восстанавливается медленнее. Примеры реальных КВД со скважин с отсутствием зоны ухудшенной проницаемости и в присутствии зоны ухудшенной проницаемости горной породы околоскважинной зоны пласта приведены на рис. 2, а, б, соответственно.
В случае отсутствия зоны ухудшенной проницаемости (рис. 2, а) забойное давление растет практически с одинаковой скоростью, на графике при этом выделяется несколько прямолинейных участков (этапов). Первый прямолинейный участок фиксируется на протяжении полутора месяцев с начала исследования. Этот этап характеризуется равномерным беспрепятственным поступлением жидкости в скважину, после чего давление перестает увеличиваться с тем же темпом ввиду ограничения (штуцера), вызванного, по всей видимости, областью ухудшенной проницаемости, расположенной на достаточно удаленном расстоянии от скважины. После того, как 29.05.2023 давление в двух областях стабилизировалось, рост забойного давления вновь продолжается (этап 2), но уже с меньшим темпом. В дальнейшем в пласте вновь возникает некоторое сопротивление, после которого на этапе 3 давление снова растет с постоянным темпом. Временные периоды нелинейного роста забойного давления между выделенными этапами соответствуют перераспределению давления между зонами в пласте. На рис. 2, б, в сравнении с рис. 2, а, наблюдается высокий тем роста забойного давления в течение первых трех дней (этап 1) с начала исследования. Этому явлению соответствует очень небольшая зона ухудшенной проницаемости вокруг скважины, за которой расположена зона с высоким давлением, в результате чего забойное давление уже в течение недели (этап 2) достигает значения пластового давления.
Рис. 2. Графики изменения забойного давления по времени при регистрации КВУ на скважинах: (а) с отсутствием зоны с ухудшенной проницаемостью: Pз восстанавливается плавно, выделяются интервалы линейного роста, отмеченные стрелками; (б) с ухудшенной проницаемостью горной породы околоскважинной зоны пласта – Pз восстанавливается интенсивно вначале и медленно после перегиба. Стрелками показаны интервалы линейного роста забойного давления
Fig. 2. Graphs of changes in bottomhole pressure over time when recording water pressure in wells: (a) without a zone with deteriorated permeability: Pз is restored smoothly, intervals of linear growth are identified, marked by arrows; (b) with deteriorated permeability of the rock near the wellbore zone of the formation – Pз is restored intensively at the beginning and slowly after the inflection. The arrows indicate the intervals of linear growth of bottomhole pressure
Рис. 3. Схематичное изображение распределения давления в пласте в момент остановки скважины для исследования, когда: (а) зона ухудшенной проницаемости отсутствует; (б) зона ухудшенной проницаемости горной породы расположена у стенки скважины; (в) зона ухудшенной проницаемости горной породы расположена в глубине пласта
Fig. 3. Schematic representation of the pressure distribution in the formation at the time of stopping the well for research, when: (a) there is no zone of deteriorated permeability; (b) a zone of deteriorated rock permeability is located near the well wall; (c) a zone of deteriorated rock permeability is located deep in the formation
Схематично влияние расположения зоны ухудшенной проницаемости в пласте на форму кривой КВД показано на рис. 3. Если проницаемость околоскважинной зоны не ухудшена, то в начальный момент времени распределение давления соответствует рис. 3, а. Если блокирующий материал расположен вблизи ствола скважины, то распределение давления соответствует рис. 3, б. Если блокирующий поровое пространство материал проник глубоко в пласт, то распределение давления будет соответствовать рис. 3, в.
Пример использования данных КВД по предлагаемой методике
Приведем пример работы с данными ГДИ по одной из нефтяных залежей в башкирских отложениях С2b (средний карбон) на юге Пермского края. На скважине в ноябре 2020 г. были проведены исследования до обработки (рис. 4, а, б) и в марте 2023 г. после обработки (рис. 4, в, г).
Предварительный анализ результатов ГДИ после кислотной обработки позволяет отметить следующее:
1) в сравнении с результатами ГДИ до обработки график изменения забойного давления (рис. 4, в) демонстрирует выполаживание кривой, означая что в целом кислотная обработка прошла успешно (наличие перегиба на рис. 4, в, вероятно, связано с возникновением новой кольматации ПЗП, образованной уже после обработки скважины);
Рис. 4. Результаты ГДИ до кислотной обработки: (а) кривая восстановления забойного давления Рз во времени; (б) диагностический график КВУ и после кислотной обработки: (в) кривая восстановления забойного давления Рз во времени; (г) диагностический график КВУ
Fig. 4. Results of hydrodynamic studies of the well before acid treatment: (a) recovery curve of bottomhole pressure Рз over time; (b) diagnostic graph of water pressure control and after acid treatment: (c) recovery curve of bottomhole pressure Рз over time; (d) diagnostic graph of pressure build-up curve
2) перегиб производной после кислотной обработки наблюдается на 30-й день, в то время как по данным до обработки перегиб выделялся только после 10 дней. Рис. 4, г демонстрирует, что после обработки накопление жидкости в ПЗП происходит быстрее, чем до обработки. Вероятной интерпретацией при сравнении данных рис. 4, г, б является снятие скин-эффекта вокруг скважины в результате обработки;
3) после обработки отмечается снижение пластового давления, связанное с увеличением отбора жидкости в районе скважины.
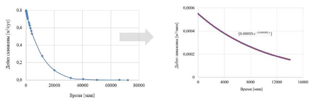
Выполним расчет оптимального значения объема кислотной обработки. Для этого нам понадобится КВД (рис. 4, а) и диагностический график (рис. 4, б), снятые перед кислотной обработки на скважине. На диагностическом графике перегиб кривой производной давления во времени выделяется в районе 14 тыс. мин (или 9,7 дней), что соответствует окончанию наполнения ПЗП флюидом.
Идея заключается в определении объема жидкости, поступившей в ПЗП до момента перегиба производной на рис. 4, а, б. Для этого нам потребуется просуммировать объемы, поступившие в пласт к этому времени. Из рис. 4, а, б, определяется значение забойного давления, при котором работает скважина до остановки, а также значение текущего пластового давления, что дает понимание полной депрессии на пласт (табл. 1).
Таблица 1. Значения параметров исследования скважины
Table 1. Values of well test parameters
Параметр/Parameter | |||
Депрессия на пласт (полная) Pressure drop (full) | Дебит скважины до остановки Well rate before shutdown | Коэффициент продуктивности Productivity index | Время перегиба графика производной Inflection time of the derivative graph |
5,48 МПа MPa | 0,8 м3/сут m3/day | 0,146 м3/сут/Мпа m3/day/MPa | 14000 мин min |
Далее с использованием коэффициента продуктивности выполняется расчет дебита скважины в м3/сут (рис. 5, а). Чтобы проинтегрировать кривую на рис. 5, а выполнен пересчет ее значений в м3/мин (рис. 5, б).
Затем ограничиваем значения абсциссы моментом перегиба производной и аппроксимируем данные. В результате получаем аппроксимирующую функцию дебита, которую нужно проинтегрировать (подробности интегрирования в следующем подразделе). Итогом интегрирования является значение объема жидкости, поступившей из пласта и наполнившей ПЗП. В случае рассматриваемой скважины объем жидкости, поступившей в ПЗП, составил 4,3 м3.
Рис. 5. Графики дебита скважины: (а) на протяжении всего исследования в координатах м3/сут/мин; (б) до перегиба производной в координатах м3/мин/мин
Fig. 5. Well flow charts: (a) throughout the study in coordinates m3/day/min; (b) before the inflection of the derivative in the coordinates m3/min/min
Однако объем реагента для кислотной обработки был выбран равным 30 м3, что почти в 6 раз больше расчетного значения. Данный пример свидетельствует о дизайне кислотной обработки с неоптимальным объемом реагента, в результате чего трудовые и материальные ресурсы были израсходованы неэффективно.
Алгоритм методики
Методика определения по данным ГДИ добывающей скважины требуемого объема химического реагента для обработки ПЗП включает шесть этапов:
- На основе табличных значений графика изменения забойного давления во времени выполняется оценка технологических показателей работы скважины, таких как: депрессия на пласт, дебит скважины и коэффициент продуктивности. Расчет везде выполняется в одинаковых единицах времени.
- По графику изменения забойного давления во времени выявляется перегиб, соответствующий границе зоны ухудшенной проницаемости.
- По диагностическому графику КВД определяется точка (момент времени), в которой наблюдается перегиб производной, соответствующий моменту времени, когда волна возмущения дошла от скважины до интервала пласта ухудшенной проницаемости, что соответствует замедлению темпа роста забойного давления.
- Строится график изменения дебита с момента начала исследования до момента перегиба производной и определяется функция, аппроксимирующая данные исследования.
- Интегрируется объем жидкости, поступившей в околоскважинное пространство до момента перегиба производной. В качестве примера использован метод трапеций. В пределах интегрирования устанавливается временной шаг h и количество шагов интегрирования i (чем меньше временной шаг и больше шагов интегрирования, тем точнее значение интеграла и меньше погрешность). Далее по полученной аппроксимирующей функции на каждом новом шаге рассчитывается объем жидкости f(xi) для каждого момента времени xi, а также сумма объемов предыдущего шага и текущего f(xi–1)+f(xi). Суммируются значения f(xi–1)+f(xi) и по формуле рассчитывается интегральное значение объема пластового флюида, поступившего в околоскважинное пространство. Определяется погрешность.
- Исходя из объема жидкости, поступившей в околоскважинное пространство до момента перегиба производной, с использованием параметров пласта (толщина, пористость) определяется расстояние r, на котором в околоскважинном пространстве расположен интервал низкой проницаемости. До этого расстояния и немного дальше в пласт необходимо закачать кислотный раствор, чтобы разблокировать (убрать штуцер) поровое пространство.
Блок-схема методики приведена на рис. 6.
Результаты и обсуждение
Выполнен анализ результатов ГДИ для 26 добывающих скважин, эксплуатирующих залежи нефти в карбонатных коллекторах, на которых проводилась СКО. Скважины выбраны в соответствии с тем, что по ним имеются, во-первых, относительно свежие данные по ОПЗ – за 2021–2022 гг., во-вторых, результаты ГДИ до обработки и после обработки, чтобы можно было сравнить как изменилась форма кривых после СКО (соответственно для большего рассматриваемого периода скважин для анализа будет больше; помимо этого, скважин, по которым есть ГДИ только до обработки, также большое количество, но анализ по тем скважинам является задачей последующих исследований).
Рис. 6. Блок-схема определения объема реагента для проведения кислотной обработки
Fig. 6. Flowchart for determining the volume of reagent for carrying out acidizing
По диагностическому графику до обработки скважины выполнена оценка объема зоны ухудшенной проницаемости и требуемое количество объема кислотного состава для обработки. Далее выполнено сопоставление с фактическим значением объема закаченного в пласт кислотного состава. Если рассчитанное по модели значение объема ниже фактического значения объема, а обработка при этом оказалась успешной (критерием успешности СКО являлся устойчивый прирост дебита скважины по жидкости после обработки), то делается вывод о подтверждении гипотезы и, соответственно, работоспособности методики. Если по модели значение объема больше, чем фактическое значение, а обработка не успешна, то снова делается вывод – методика работоспособна.
Если по модели объём околоскважинной зоны с ухудшенной проницаемостью определяется значительным, то представляется логичным предположить, что на такой скважине успешность от обработки будет низкая. Однако без оценки объема околоскважинной зоны, используя диагностический график по предлагаемой методике, невозможно предсказать результативность кислотной обработки. В подобном случае использование предлагаемой методики позволяет избежать материальных и временных потерь на проведение кислотной обработки и проводить обработку пласта только на тех скважинах, на которых имеется потенциал для этого.
Анализ показал, что для 21 из 26 отобранных для анализа скважин наблюдается совпадение гипотезы и отмечается работоспособность модели (табл. 2). Критериями работоспособности модели являются успешность обработки: увеличение дебита скважины и поддержание его в течение нескольких месяцев, либо неуспешность обработки в результате недостаточного закаченного объема реагента. Коэффициент полезного действия (КПД) закаченного в пласт объема реагента оценен как кпд=Vм/Vф´100 %, где Vм – объем, рассчитанный по предлагаемой модели, Vф – фактический объем затраченного реагента. Из табл. 1 видно, что без учета стоимости проведения скважинных операций (время работы сервисной бригады) затраты на реагент, который был перерасходован, составляют 11,5 млн р. (из расчета, что средняя стоимость 1 м3 равна 20 тыс. р., всего перерасход по модели на успешных скважинах 359 м3, а закаченный в недостаточном количестве реагент на неуспешных скважинах 218 м3). Если учесть, что у крупных компаний-недропользователей с большим фондом добывающих скважин в год проводится несколько сотен кислотных обработок с неоптимальным объемом реагента, переплачиваемая компаниями стоимость составляет более ста миллионов рублей в год.
На 13 скважинах, подтверждающих методику, был выбран объем кислотного состава больше объема ПЗП и получен эффект, поэтому можно оценивать непроизводительный расход кислотного состава и определять КПД закаченного объема. На 8 скважинах планируемый эффект от ОПЗ не был достигнут, так как объем закаченного реагента был меньше по сравнению с объемом ПЗП, что также подтверждает методику. Факторный анализ оставшихся пяти из 26 скважин продемонстрировал, что по некоторым двум эффект был достигнут после обработки не за счет роста Кпрод, а за счет оптимизации режима работы глубинно-насосного оборудования (ГНО) с увеличением депрессии на пласт за счет наличия потенциала по забойному давления.
Таблица 2. Результаты анализа эффективности ОПЗ по предлагаемой методике
Table 2. Results of the treatment effectiveness analysis on the method proposed
Скважина Well | Объем реагента, м3 Reagent volume, m3 | Закачено слишком много/мало реагента Too much/too little reagent injected | КПД закаченного объема реагента Efficiency of the injected volume of reagent, % | |
по модели by model | фактически in fact | |||
1/1 | 4,3 | 25 | много/much | 17,2 |
1/2 | 64 | 30 | мало/little | 0 |
1/3 | 151 | 20 | мало/little | 0 |
2/1 | 188 | 40 | мало/little | 0 |
2/2 | 44 | 23 | мало/little | 0 |
2/3 | 63 | 70 | много/much | 90 |
2/4 | 2 | 20 | много/much | 10 |
2/5 | 78 | 18 | мало/little | 0 |
2/6 | 86 | 12 | мало/little | 0 |
2/7 | 24 | 25 | много/much | 96 |
3/1 | 27 | 70 | много/much | 38,6 |
4/1 | 15 | 30 | много/much | 50 |
5/1 | 28 | 50 | много/much | 56 |
6/1 | 13 | 45 | много/much | 29 |
7/1 | 4 | 30 | много/much | 13,3 |
1/4 | 74 | 25 | мало/little | 0 |
8/1 | 77 | 50 | мало/little | 0 |
9/1 | 44 | 100 | много/much | 44 |
9/2 | 1 | 80 | много/much | 1,2 |
10/1 | 17 | 20 | много/much | 85 |
11/1 | 3 | 40 | много/much | 7,5 |
Средний КПД/Average efficiency | 41,4 % | |||
Суммарный перерасход реагента в объемном выражении Total overconsumption of reagent in volume terms | 577 м3/m3 | |||
Суммарный перерасход реагента в финансовом выражении Total overconsumption of reagent in financial terms | 11,5 млн р. million rubles | |||
В результате тестирования методики и анализа промысловых данных выявлено девять факторов (приведены ниже), которые определяют успешность ее применения в зависимости от условий работы скважин.
Фактор 1. Тип коллектора
Освоение добывающих скважин в карбонатных коллекторах, как правило, выполняется совместно с кислотными обработками, которые растворяют в ПЗП некоторый объем горной породы, в результате чего образуются хорошо проводимые каналы фильтрации жидкости из пласта в скважину.
Для терригенного коллектора без проведения проппантного гидроразрыва пласта характерно наличие несовершенства скважины по характеру вскрытия практически во всех случаях. Также в отличие от карбонатного коллектора для терригенного коллектора успешность кислотной обработки зависит от множества других факторов, в частности, от содержания глинистых частиц в цементе горной породы, минералогического состава глинистых частиц и др. Предлагаемая в настоящей работе методика ориентирована исключительно на кислотные обработки карбонатных коллекторов, где механизм достижения эффекта связан с растворением горной породы, а не с удалением кольматирующих частиц в поровом пространстве, что характерно для терригенных пластов.
Фактор 2. Срок между ГДИ и ОПЗ
В случае если с момента проведения ГДИ прошел год или больше, нужно с осторожностью использовать предлагаемую методику. Особенностью является то, что в модель закладываются результаты исследований, которые к моменту проведения ОПЗ становятся неактуальными, если за рассматриваемый период произошло изменение условий работы скважины, например: кольматация ПЗП, снижение дебита скважины более чем на 10 %, значительное снижение пластового давления и другие факторы. При подстановке в модель параметров, полученных при ГДИ, результирующее значение объёма ПЗП ухудшенной проницаемости не будет совпадать с данными на момент проведения ОПЗ. В подобном случае для использования методики перед планированием кислотной обработки требуется предварительно проводить ГДИ. В то же время если за рассматриваемый период значительных изменений не произошло, методика может применяться.
Фактор 3. Достоверность промысловых данных
Перед проведением СКО для использования методики требуется убедиться, что динамика технологических показателей (например, дебит скважины по жидкости) достоверна и значения параметров в базах данных верны. Одним из примеров ошибочных данных может является некорректный (завышенный) замер расхода жидкости скважин на автоматизированной групповой замерной установке. В результате подобных замеров эффективность ОПЗ будет скрыта завышенными показателями дебита скважины.
Фактор 4. Газовый фактор
В зависимости от метода, применяемого при ГДИ, газовый фактор может оказывать различное влияние на работоспособность предлагаемой методики.
В случае исследования методом КВУ низкий газовый фактор не влияет на график КВУ в момент проведения ГДИ. Если при фильтрации нефти отмечается высокий газовый фактор, то при КВУ применять методику нельзя, так как за счет высокого газового фактора (ГФ) будет вспениваться жидкость и искажать показания измерительного устройства. При умеренно высоком ГФ применять методику требуется с осторожностью. Рекомендуемое значение ГФ составляет не более 100 м3/т, хотя для различных месторождений и даже отдельных скважин это соотношение индивидуально.
В случае исследования методом КВД, когда производится прямой замер забойного давления, не искаженный вспениванием жидкости, предлагаемая методика работает даже в условиях очень высокого ГФ. Из опыта компаний-недропользователей отмечена работа методики на скважинах с ГФ более 1000 м3/т при условии интерпретации данных, полученных методом КВД.
Фактор 5. Обводненность скважиной продукции
Предлагаемая методика применима для скважин с низкой обводненностью скважинной продукции. Аналогично влиянию высокого ГФ, на высокообводненных скважинах (с обводненностью выше 50 % для месторождений Пермского края) наблюдается эффект образования скин-фактора в ПЗП за счет снижения фазовой проницаемости как по нефти, так и по воде. Это явление снижает точность методики, в результате чего на скважинах с обводненностью выше 50 % ее следует применять с осторожностью. При этом в большинстве случаев кислотные обработки на высокообводненных скважинах приводят к увеличению дебита жидкости с ростом обводненности продукции. В таких случаях рекомендуется применять эмульсионные или гелеобразующие отклонители кислотного состава. В любом случае повышенная обводненность является рисковой составляющей при применении предлагаемой методики и применять ее на высокообводненных скважинах рекомендуется авторами лишь после накопления существенного опыта обработок низкообводненных скважин с учетом особенностей отдельного месторождения.
Фактор 6. Удаленность добывающей скважины от нагнетательной
В случае если добывающая скважина находится под влиянием нагнетательной скважины, необходимо использовать аккуратно данные ГДИ. Особенностью является то, что в подобных случаях перегиб на диагностическом графике соответствует моменту времени, когда давление в скважине перевосстановилось за счет влияния жидкости нагнетательной скважины. Закладывая в модель депрессию, полученную напрямую из результатов ГДИ без вдумчивого анализа, можно таким образом провести некорректный расчет объема ПЗП с ухудшенной проницаемостью.
Фактор 7. Конструкция ствола скважины
Конструкция ствола скважины (профиль) роли не играет. Методика применима к вертикальным, наклонно-направленным и горизонтальным скважинам. Однако стоит отметить, что скважины, законченные горизонтальным открытым стволом, а также скважины с многостадийным гидроразрывом пласта и многозабойные скважины отличаются очень высокими объемами ПЗП и, как правило, требуют очень высоких объемов кислотного состава.
Фактор 8. Оптимизация ГНО
Используя предлагаемую методику при анализе промысловых данных, нужно иметь в виду, что результативность от ОПЗ может быть искусственно завышена за счет оптимизации режима работы глубинно-насосного оборудования. Такое может наблюдаться в случаях, когда модельный расчет демонстрирует отсутствие результата (из-за недостаточного объема закаченного реагента), а фактически эффект от ОПЗ получен положительный.
Фактор 9. Тип скважины
Предлагаемая методика применима как к добывающим, так и к нагнетательным скважинам. По данным исследований методом кривой падения давления можно оценить объем околоскважинного пространства ухудшенной проницаемости. В отличие от добывающих нефтяных скважин, кольматация на нагнетательных скважинах обычно происходит более интенсивно (особенно в условиях низкого качества подготовки закачиваемой в пласт воды), что практически всегда проявляется в низком объеме ПЗП.
На сегодняшний день критериями проведения кислотных обработок пласта на добывающих скважинах в российских компаниях-недропользователях зачастую являются:
- снижение дебита скважины по жидкости (при этом нет тенденции на снижение пластового давления) и снижение коэффициента продуктивности скважины;
- резкое падение дебита скважины, в результате чего принимается решение о проведении кислотной обработки без анализа данных работы скважины;
- кислотная обработка на соседней скважине показала эффективность, в результате чего принимается решение, что кислотная разработка на рассматриваемой скважине будет также эффективна.
В подобных случаях проведения кислотных обработок без учета предлагаемой методики вероятно отсутствие эффекта, что связано с недостаточным объемом реагента для снятия кольматации на границе ПЗП. Также в случае, если в поровом пространстве ПЗП присутствуют парафиновые отложения, в дизайне кислотной обработки рекомендуется предусматривать частотное воздействие [27–29], что позволит мобилизовать парафины.
Заключение
В работе выполнен анализ результатов ГДИ добывающих скважин в карбонатных отложениях, на которых проводились кислотные обработки. Выполнено сопоставление полученных результатов с промысловыми данными эксплуатации скважин до и после обработки. Предложено оценивать объем прискважинной зоны, требующей обработки для восстановления проницаемости, на основании данных ГДИ. Разработана методика определения оптимального объема химического реагента для проведения кислотных обработок по данным ГДИ. По результатам исследований можно отметить следующие выводы:
1) использование результатов ГДИ скважин позволяет в дизайне кислотной обработки учесть актуальное состояние пласта прискважинной зоны (расстояние от скважины, на котором расположена зона ухудшенной проницаемости) и дополнить расчеты, основанные на объемном методе;
2) средний коэффициент полезного действия закаченных объемов кислоты по данным 13 добывающих скважин, на которых ОПЗ были результативны, составляет 41,4 %, что не является высоким показателем; помимо этого на 8 добывающих скважинах объем фактически закаченного реагента был недостаточен, ввиду чего КПД нулевой;
3) на 13 скважинах, подтверждающих методику, был выбран объем кислотного состава больше объема ПЗП и получен эффект, поэтому можно оценивать непроизводительный расход кислотного состава и определять КПД закаченного объема; на 8 скважинах планируемый эффект от ОПЗ не был достигнут, так как объем закаченного реагента был меньше по сравнению с объемом ПЗП, что также подтверждает работоспособность методики;
4) использование разработанной методики в дизайне кислотных обработок может повысить эффективность расходования химического реагента и сократить затраты недропользователя;
5) выявлено девять факторов, определяющих условия применимости предложенной методики и результативность кислотной обработки.
Об авторах
Александр Викторович Юрин
ООО «ЛУКОЙ-ПЕРМЬ»
Автор, ответственный за переписку.
Email: Alexandr.Yurin@lp.lukoil.com
ведущий инженер отдела разработки месторождений нефти и газа Управления разработки нефтяных и газовых месторождений
Россия, г. ПермьЕвгений Павлович Рябоконь
Пермский национальный исследовательский политехнический университет
Email: riabokon@pstu.ru
ORCID iD: 0000-0003-0555-3977
научный сотрудник кафедры нефтегазовых технологий
Россия, г. ПермьСписок литературы
- Lufeng Z., Fujian Z., Shicheng Z., Zhun L., Jin W., Yuechun W. Evaluation of permeability damage caused by drilling and fracturing fluids in tight low permeability sandstone reservoirs. Journal of Petroleum Science and Engineering, 2019, vol. 175, pp. 1122–1135.
- Galal S.K., Elgibaly A.A., Elsayed S.K. Formation damage due to fines migration and its remedial methods. Egyptian Journal of Petroleum, 2016, vol. 25, no. 4, pp. 515–524.
- Kozhevnikov E.V., Turbakov M.S., Riabokon E.P., Gladkikh E.A. Apparent permeability evolution due to colloid migration under cyclic confining pressure: on the example of porous limestone. Transport in Porous Media, 2023, vol. 151, pp. 263–286.
- Coulter G.R., Jennings A.R. A contemporary approach to matrix acidizing. SPE Production & Facilities, 1999, vol. 14, pp. 150–158.
- Amro M.M. Laboratory study and field matching of matrix acidizing of petroleum reservoir rocks. Journal of King Saud University – Engineering Science, 2002, vol. 14, no. 1, pp. 119–135.
- Mota T.M., Rachmat S. Parametric wormhole studies on matrix acidizing carbonate reservoir. Timor-Leste Journal of Engineering and Science, 2020, vol. 1, no. 1, pp. 11–27.
- Palharini Schwalbert M., Aljawad M.S., Hill A.D., Zhu D. Decision criterion for acid-stimulation method in carbonate reservoirs: matrix acidizing or acid fracturing? SPE Journal, 2020, vol. 25, no. 5, pp. 2296–2318.
- Dankwa O.K., Appah D., Of J., Ek A. Compatibility: a key to an efficient matrix acidizing fluid design. Journal of Petroleum & Environmental Biotechnology, 2016, vol. 7, pp. 1–5.
- Aurianto M.P.D., Maulana D.T., Chandra S. IOP Conference Series: Earth and Environmental Science, 2022, vol. 1014, 012015.
- Alameedy U., Al-Haleem A.A., Almalichy A. Well performance following matrix acidizing treatment: case study of the Mi4 unit in Ahdeb oil field. Iraqi Journal of Chemical and Petroleum Engineering, 2022, vol. 23, no. 4, pp. 7–16.
- Alkathim M., Aljawad M.S., Hassan A., Alarifi S.A., Mahmoud M. A data-driven model to estimate the pore volume to breakthrough for carbonate acidizing. Journal of Petroleum Exploration and Production Technology, 2023, vol. 13, pp. 1789–1806.
- Dargi M., Khamehchi E., Mahdavi Kalatehno J. Optimizing acidizing design and effectiveness assessment with machine learning for predicting post-acidizing permeability. Scientific Reports, 2023, vol. 13, 11851.
- Hatamizadeh A., Sedaee B. Simulation of carbonate reservoirs acidizing using machine and meta-learning methods and its optimization by the genetic algorithm. Geoenergy Science and Engineering, 2023, vol. 223, 211509.
- Kristanto G.W., Ratnaningsih D.R., Kristanto D. Matrix acidizing optimization for screened sandstone formation at high-rate gas well of deepwater GWK-8. International Journal of Petroleum Technology, 2022, vol. 9, pp. 33–43.
- Herianto T. Improving effective porosity of rocks with matrix acidizing stimulation on sand stone formation. International Journal of Innovative Research & Development, 2018, vol. 7, no. 9, pp. 282–292.
- Leong V.H., Ben Mahmud H. A preliminary screening and characterization of suitable acids for sandstone matrix acidizing technique: a comprehensive review. Journal of Petroleum Exploration and Production Technology, 2019, vol. 9, pp. 753–778.
- Chacon O.G., Pournik M. Matrix acidizing in carbonate formations. Processes, 2022, vol. 10, no. 174, 18 p.
- McLeod H.O. Matrix Acidizing. Journal of Petroleum Technology, 1984, vol. 36, no. 12, pp. 2055–2069.
- Hou B., Qui K., Chen M., Jin Y., Chen K.P. The wellbore collapse on sandstone formation during well test with matrix acidizing treatment. Petroleum Science and Technology, 2013, vol. 31, no. 3, pp. 237–249.
- Xiong H. Prediction of effective acid penetration and acid volume for matrix acidizing treatments in naturally fractured carbonates. SPE Production & Facilities, 1994, vol. 9, no. 3, pp. 188–194.
- Rbeawi S.A., Kadhim F.S., Farman G.M. Optimum matrix acidizing: how much does it impact the productivity. IOP Conference Series: Materials Science and Engineering, 2018, vol. 454, 012105.
- Boonyapaluk P., Hareland G. Optimum acid volume estimation using real-time skin evaluation. Proceedings of SPE Latin America/Caribbean Petroleum Engineering Conference. Port-of-Spain, Trinidad, April 1996. 381 p.
- Prouvost L.P., Economides M.J. Applications of real-time matrix-acidizing evaluation method. SPE Production Engineering, 1989, vol. 4, no. 4, pp. 401–407.
- Crowe C., Masmonteil J., Thomas R. Trends in matrix acidizing. Oilfield Review, 1992, vol. 4, no. 4, pp. 24–40.
- Krivoshchekov S.N., Kochnev A.A., Ravelev K.A. Development of an algorithm for determining the technological parameters of acid composition injection during treatment of the near-bottomhole zone, taking into account economic efficiency. Journal of Mining Institute, 2021, vol. 250, pp. 587–595.
- Fogler H.S., McCune C. On the extension of the model of matrix acid stimulation to different sandstones. AIChE Journal, 1976, vol. 22, no. 4, pp. 799–805.
- Riabokon E., Gladkikh E., Turbakov M., Kozhevnikov E., Guzev M., Popov N., Kamenev P. Effects of ultrasonic oscillations on permeability of rocks during the paraffinic oil flow. Géotechnique Letters, 2023, vol. 13, no. 3, pp. 151–157.
- Riabokon E., Gladkikh E., Turbakov M., Kozhevnikov E., Guzev M., Yin Q. The effect of ultrasonic alternating loads on restoration of permeability of sedimentary rocks during crude paraffinic oil flow. Applied Sciences, 2023, vol. 13, 11821.
- Riabokon E.P., Kazantsev A.L., Gladkikh E.A., Turbakov M.S. Development of an experimental set-up for studying the effect of elastic oscillations on fluid flow through rocks. IOP Conference Series: Earth and Environmental Science, 2022, vol. 1021, no. 1, 012016.
Дополнительные файлы









