Использование программного обеспечения Petroleum Experts Prosper для получения дополнительной добычи нефти путем анализа режима работы скважин
- Авторы: Коротков Р.Н.1, Овчаренко Д.М.1, Ерофеев В.И.1
-
Учреждения:
- Национальный исследовательский Томский политехнический университет
- Выпуск: Том 335, № 3 (2024)
- Страницы: 31-39
- Раздел: Статьи
- URL: https://journals.rcsi.science/2500-1019/article/view/267379
- DOI: https://doi.org/10.18799/24131830/2024/3/4457
- ID: 267379
Цитировать
Полный текст
Аннотация
Актуальность исследования обусловлена текущей ситуацией, когда все большее количество недропользователей движется по пути корректного выбора системы разработки, следовательно, применимость интегрированных моделей актива экспоненциально растет с каждым годом. Одним из комплексных подходов в области моделирования системы пласт – скважина – наземная инфраструктура является использование программного обеспечения Petroleum Experts. Данное решение успешно зарекомендовало себя на международном рынке ввиду наличия большого количества всевозможных корреляций, подходящих под те или иные геологические условия, а также вследствие сложной методики расчета поставленных задач. Благодаря вышеописанному продукту задачи расчета притока из пласта, дебита скважин и анализа пропускной способности инфраструктуры образовали собой единое интегрированное решение для качественного моделирования месторождений/группы месторождений. В свою очередь программное обеспечение Petroleum Experts Prosper позволяет оценить эффективность работы скважины, а также получить дополнительную добычу за счет оптимизационного расчета на модели скважины, настроенной на фактические параметры.
Цель: формирование и анализ подхода к настройке моделей-компонент (скважин) путем адаптации параметров к фактическим данным с целью получения дополнительной добычи нефти.
Методы: настройка и адаптация моделей скважин, оборудованных установками электроцентробежных насосов, настройка и адаптация фонтанных скважин, подход к работе с периодическим фондом, оценка эффективности использования Prosper в части дополнительной добычи нефти.
Результаты. Полученные результаты позволяют адаптировать модели скважин с точностью более 95 %, что помогает симулировать режим работы механизированного и фонтанного добывающего фонда с целью оптимизации и увеличения добычи нефти. В результате анализа были выявлены критерии настройки скважин, а также представлен минимальный необходимый набор параметров для качественной адаптации моделей. Также доказана эффективность и точность метода посредством сравнения фактических данных о режимах работы скважин с синтетическими. На основании проделанной работы можно сделать вывод о том, что использование интегрированной модели демонстрирует нам высокое схождение с реальными данными, что позволяет с достаточной точностью проводить оптимизационные расчеты с получением результата, обеспечивающего наибольший эффект.
Ключевые слова
Полный текст
Введение
На текущий момент нефтегазодобывающие компании начали активное использование систем моделирования для контроля режима работы фонда скважин, а также с целью проведения оптимизационных расчетов для получения дополнительной добычи нефти.
Программное обеспечение Petroleum Experts Prosper является уникальным решением для нефтегазового комплекса ввиду обеспечения целостного представления системы пласт – скважина – наземная инфраструктура [1]. Благодаря интеграции и широкому функционалу программы специалисты нефтегазовой отрасли могут проводить комплексные исследования, моделировать различные сценарии работы месторождения и принимать обоснованные решения на основе полученных данных. Использование Petroleum Experts Prosper позволяет существенно сократить время на проведение расчетов производительности работы скважин и анализа возможных ограничений по наземной инфраструктуре, а также повышает точность и надежность полученных результатов. Такой подход позволяет эффективно эксплуатировать месторождения и достигать оптимальных показателей в добыче углеводородов [2].
Методы
Настройка моделей добывающих скважин заключается в адаптации параметров, полученных расчетным путем в программном обеспечении Petroleum Experts Prosper, к фактическим данным на дату актуализации.
Если говорить о скважинах, оборудованных установками электроцентробежных насосов (УЭЦН), то для корректной настройки моделей добывающих скважин необходимо произвести следующие действия в секции программного продукта Petroleum Experts Prosper:
- внести фактические данные по замерам на дату актуализации модели;
- настроить модель вертикального лифта;
- настроить индикаторную кривую;
- проверить адаптацию скважины в секции «System»;
- сгенерировать кривые вертикального лифта;
- произвести настройку многопластовых скважин (при необходимости).
В меню «VLP/IPR Matching» вносятся данные, которые используются для дальнейших расчетов. Параметры накапливаются в окне по мере обновления моделей скважин и могут быть использованы для анализа работы скважин с течением времени:
1. Test Point Date – дата актуализации модели скважины;
2. Test Point Comment – информация об устьевом штуцере (диаметр штуцера или отсутствие штуцера);
3. Tubing Head Pressure – буферное давление;
4. Tubing Head Temperature – температура флюида на устье скважины;
5. Water Cut – обводненность добываемой продукции;
6. Liquid Rate – дебит жидкости. Для постоянно работающих скважин заносится фактический дебит. Для периодических скважин заносится мгновенный дебит, определяемый через время работы/простоя по следующей формуле:
Qмгн=Qупл/((1–Tпр/24)),
где Qмгн – мгновенный дебит жидкости в пересчёте на сутки; Qупл – среднесуточный (уплотнённый) дебит жидкости; Tпр – время простоя (в часах) в течение суток;
7. Gauge Depth (Measured) – глубина спуска датчика;
8. Gauge Pressure – давление на датчике;
9. Reservoir Pressure – пластовое давление;
10. Gas Oil Ratio – газосодержание;
11. GOR Free – содержание газа, приходящего из газовой шапки;
12. Operating Frequency – частота работы ЭЦН;
13. Pump Wear Factor – коэффициент износа насоса;
14. Pump Intake Pressure – давление на приёме насоса;
15. Pump Discharge Pressure – давление на выходе насоса.
Для настройки вертикального лифта предназначен раздел «Correlation Comparison» в секции «VLP/IPR Matching». Секция «Quick Look» подходит только для односекционных насосов.
На вкладке «Correlation Comparison» выполняется расчёт и построение градиента давления и температуры в скважине для данных на дату актуализации. Для этого вносятся данные о буферном давлении, проценте обводненности, газовом факторе и дебите жидкости. Также немаловажным фактором является выбор правильной корреляции для расчета, которая подбирается опытным путем и обычно является единой для залежей с аналогичными физико-химическими свойствами [3].
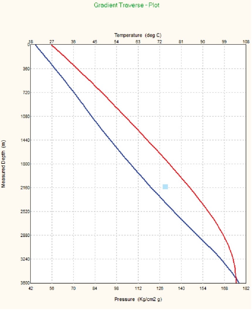
На графике градиента давления визуально оценивается, насколько расчётное значение на приёме ЭЦН совпадает с фактическим (рис. 1). Голубой точкой на рисунке отмечено фактическое давление на приеме ЭЦН, полученное с датчика погружной телеметрии (ТМС). Синяя линия демонстрирует нам распределение давления по стволу скважины.
Рис. 1. Проверка качества настройки модели
Fig. 1. Checking the quality of the model tuning
В случае, если расчётное давление меньше фактического, подбирается коэффициент износа насоса пока значения не совпадут (рекомендуемое расхождение не более 1 кгс/см2). Если коэффициент износа лежит в пределах от 0 до 0,2, то это считается допустимым значением, при условии, если межремонтный период (МРП) насоса больше 200 суток [4]. Настройка вертикального лифта на этом заканчивается.
Если коэффициент износа насоса окажется более 0,2, то это считается повышенным износом. Необходим дополнительный анализ: либо перепроверка исходных данных по замеру на дату актуализации (в случае обнаружения ошибок процедура настройки вертикального лифта повторяется заново), либо поиск причин повышенного износа насоса (в случае подтверждения повышенного износа настройка вертикального лифта заканчивается, подобранный коэффициент износа принимается допустимым) [5–10].
Производится анализ причин ремонтов. Значение коэффициента износа может достигать 0,5 в том случае, если для скважины характерны осложнения при эксплуатации в виде солеотложений. При этом точная адаптация таких скважин возможна только после замера профиля давления над насосом, так как возможно солеотложение как в УЭЦН, так и в лифте [11]. На рис. 2 голубыми точками представлены замеры давления по стволу скважины с помощью геофизического прибора, а также демонстрация качества наложения кривой распределения давления для заданной корреляции.
Рис. 2. Распределение давления по стволу скважины
Fig. 2. Pressure distribution along the wellbore
В случае, если расчётное значение больше фактического, необходимо перепроверить исходные данные по замеру на дату актуализации (в первую очередь давление на приёме ЭЦН, частоту ЭЦН, дебит жидкости, буферное давление). При обнаружении ошибок процедура настройки вертикального лифта повторяется заново [6]. Для скважин с кратковременной эксплуатацией (КЭС) особое внимание уделяется анализу величины мгновенного дебита. Для скважин с вентильными двигателями уточняется частота вращения при переводе единиц измерения из об/мин в Гц (перевод производится прямо пропорционально от соотношения 2910 об/мин=50 Гц, для вентильных двигателей зависимость может быть не прямая) [7].
Следует обратить внимание, что подобранный коэффициент износа насоса после завершения настройки модели скважины в секции «VLP/IPR Matching» необходимо вручную занести в секцию «ESP Input Data».
Индикаторные кривые (IPR – Inflow Performance Relationship) описывают зависимость между перепадами давления в скважине и ее дебитом, что является важным инструментом для понимания поведения пласта/скважины и количественной оценки производительности скважин.
Для настройки индикаторной кривой следует использовать меню «VLP/IPR» в секции «VLP/IPR Matching». На вкладке «VLP/IPR» выполняется расчёт для данных на дату актуализации с выбранной корреляцией Petroleum Experts 2.
Кривая вертикального лифта (VLP – Vertical Lift Performance) показывает, какое давление требуется для подъема определенного количества жидкости на поверхность при заданном устьевом давлении.
По результатам расчёта оценивается, насколько расчётное значение по дебиту жидкости (пересечение кривых VLP и IPR) совпадает с фактическим. При совпадении расчётного и фактического дебитов в пределах 5 % настройка скважины заканчивается [12].
Настройка моделей многопластовых скважин в Prosper осуществляется аналогично скважинам, вскрывающим один пласт. Для них при занесении данных по пласту используются характеристики пласта с наибольшим дебитом нефти (PVT-модель флюида, Рпл, Тпл) [13]. Такие модели скважин могут использоваться для выполнения одиночных расчётов в Prosper (например, для подбора глубинного насосного оборудования по скважине).
При интеграции таких моделей скважин в GAP вносится только характеристика вертикального лифта (VLP), а индикаторные кривые задаются отдельно по каждому из пластов с помощью элементов «Inflow». В случае, если расчётные дебиты по пластам отличаются от фактических более чем на 5 %, коэффициенты продуктивности по пластам могут быть скорректированы [14].
Настройка моделей добывающих фонтанных скважин осуществляется аналогично в секции «VLP/IPR Matching» программного продукта Petroleum Experts Prosper. Однако для точной настройки фонтанных скважин необходим ряд дополнительных процедур [9].
Уточнение коэффициента теплопередачи U-Value проводится только для скважин с замеренной устьевой температурой. По остальным скважинам U-Value принимается заданным по умолчанию. Для проверки качества замера и настройки вертикального лифта следует зайти в меню «Correlation Comparison» в секции «VLP/IPR Matching». На вкладке «Correlation Comparison» выполняется расчёт и построение градиента давления и температуры в скважине для данных на дату актуализации. Для проверки качества замера в левой нижней части секции выбираются граничные корреляции Fancher Brown и Duns and Ros Modified и проводится расчет. Корреляция Fancher Brown не учитывает проскальзывание фаз в трубопроводе, следовательно, рассчитываемый перепад по насосно-компрессорным трубам (НКТ) будет минимальным. Корреляция Duns and Ros Modified рассчитывает максимальный перепад давления по НКТ с учетом пробкового режима течения. Замер считается кондиционным, если лежит в поле между этими корреляциями [10].
Чтобы наглядно убедиться в пригодности замера, с помощью кнопки Plot выводятся фактический замер и графики градиента давления, рассчитанные по граничным корреляциям (рис. 3).
Рис. 3. Проверка качества замера
Fig. 3. Measurement quality check
На рис. 3 видно, что замеренная точка попадает в область между граничными корреляциями, а значит пригодна для дальнейшей настройки.
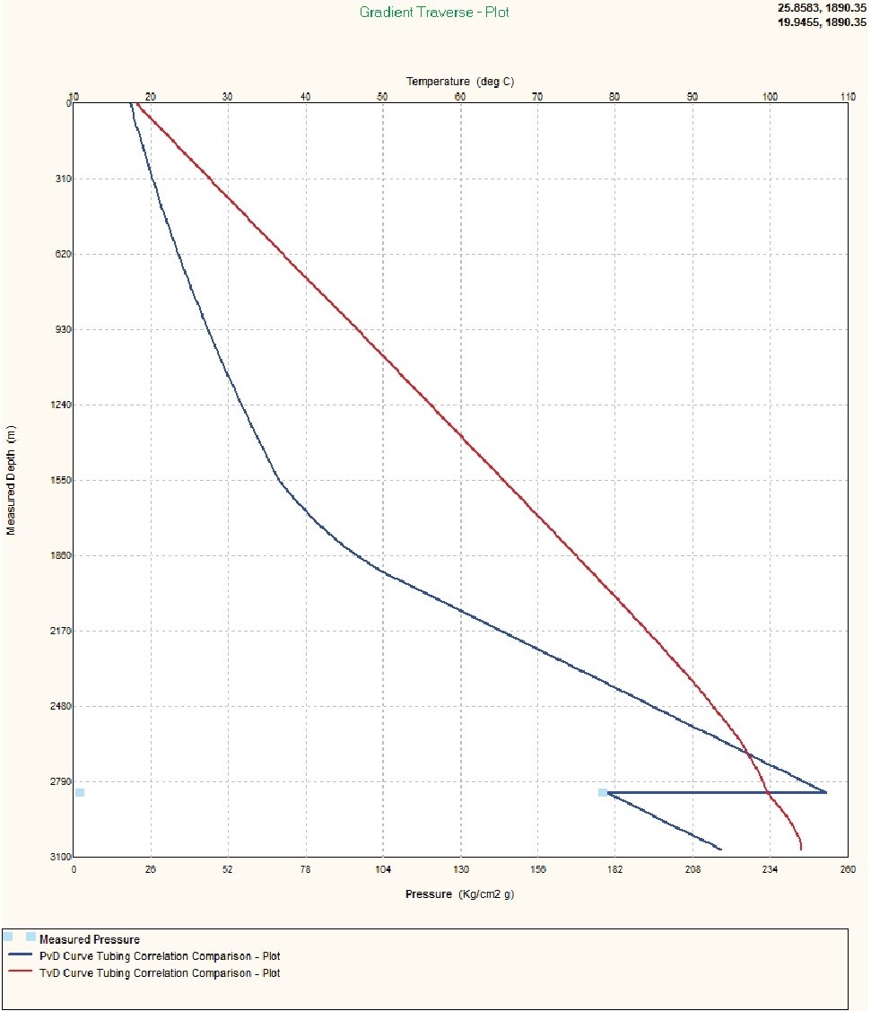
Далее выбирается несколько корреляций для расчета вертикального течения газожидкостной смеси. Данные корреляции получены путем анализа большого количества данных и показывают максимальные и минимальные перепады давления в НКТ для большинства случаев [15]. Корреляция Petroleum Experts 2 рассчитывает режим течения вертикального потока в скважине, поэтому данная корреляция выбрана для использования в расчетах. Модели скважин будут настроены на исходные данные с использованием данной корреляции. По графикам градиента давления можно визуально оценить, насколько расчётное значение давления совпадает с фактическим замером (рис. 4).
Рис. 4. График градиента давления
Fig. 4. Pressure gradient plot
Для фонтанных скважин также рассчитываются поправки на гравитацию (Parameter 1) и трение в НКТ (Parameter 2). Если для настройки корреляции под фактический замер требуется использовать большие значения поправок (менее 0,9 или более 1,1), необходимо провести дополнительный анализ данных.
После проделанных шагов модель воспроизводит фактический градиент давления. Теперь необходимо проанализировать и настроить пересечение VLP с индикаторной кривой. Для выполнения этого шага следует зайти в меню «VLP/IPR» в секции «VLP/IPR Matching». На вкладке «VLP/IPR» выполняется расчёт для данных на дату адаптации с выбранной корреляцией Petroleum Experts 2. По результатам расчёта оценивается, насколько расчётное значение по дебиту жидкости (пересечение кривых VLP и IPR) совпадает с фактическим (рис. 5) (зеленая точка на графике).
Рис. 5. Пересечение кривых VLP и IPR
Fig. 5. Intersection of VLP and IPR curves
При расхождении расчётного и замеренного дебита более 5 % подбирается либо коэффициент продуктивности скважины (PI – Productivity Index), либо пластовое давление. Пластовое давление при выполнении проекта считается наиболее достоверным из двух перечисленных параметров, вследствие чего производится подбор PI. Это может быть сделано вручную в секции «IPR» или автоматически с использованием функции «Adjust PI». Указанную функцию стоит использовать с осторожностью, так как в некоторых случаях рассчитанное значение PI может быть не найдено либо быть некорректным (при нестабильном (слабом) пересечении VLP/IPR) [16–19].
При совпадении расчётного и фактического дебитов в пределах 5 % настройка скважины заканчивается.
При настройке моделей периодических скважин в Prosper используется мгновенный дебит. Это позволяет корректно воспроизвести работу внутрискважинного оборудования в тот момент, когда оно в работе. Дебит жидкости пересчитывается из уплотненного в мгновенный.
Настройка периодических скважин проводится по тем же принципам, что и настройка скважин с постоянным режимом работы. При переходе к расчетам на модели инфраструктуры для периодических скважин используется уплотненный дебит. Это учитывается путем использования коэффициента простоя «Downtime».
Коэффициент простоя «Downtime» позволяет корректно учитывать накопленную добычу при проведении прогнозных расчетов.
В результатах расчета на срез и прогноз есть два показателя дебитов по фазам, например, «Liquid Rate» и «Average Liquid Rate». «Liquid Rate» – это мгновенный дебит, а «Average Liquid Rate» – уплотненный дебит, т. е. с учетом коэффициента.
Результаты
После адаптации модели скважины на фактические данные, вышеописанное ПО позволяет провести оптимизационный расчет, с помощью которого Prosper предложит различные сценарии для увеличения добычи нефти. Подбирая различные частоты ЭЦН, а также диаметр штуцера (для фонтанной скважины) в секции «System», программным комплексом будет произведен расчет дебита скважины с учетом заданных параметров. В случае выхода за пределы рабочей зоны появится дополнительное уведомление о невозможности расчетов.
В качестве примера успешной практики применения оптимизационных расчетов на моделях скважин можно отметить положительный результат на Чаяндинском месторождении по кустовой площадке № 9 (ПАО «Газпромнефть»). В результате опытно-промышленных испытаний были получены следующие результаты: дополнительная добыча нефти составила 133 т в сутки; производительность скважин возросла в 1,1–1,5 раза относительно исходного состояния. В ходе проведения расчетов на настроенных моделях скважин были выполнены рекомендации программного обеспечения по групповой оптимизации режима работы скважин кустовой площадки (произведены мероприятия, направленные на увеличение частот ЭЦН по скважинам) (таблица).
Таблица. Увеличение дебита нефти по скважинам кустовой площадки № 9 Чаяндинского месторождения
Table. Increasing the oil rate on wells of the bush site No. 9 of the Chayanda field
Скважина, № Well, No. | Дебит нефти до, т/сут Oil flow rate before, t/day | Дебит нефти после, т/сут Oil flow rate after, t/day |
9700 | 135 | 144 |
9701 | 142 | 159 |
9703 | 210 | 225 |
9704 | 11 | 45 |
9705 | 25 | 58 |
9707 | 83 | 108 |
Выводы
В данной работе представлена методика настройки моделей добывающих скважин с использованием программного обеспечения Petroleum Experts Prosper. Данное ПО позволяет с высокой точностью моделировать работу скважин при различных условиях. В результате анализа были выявлены критерии настройки скважин, а также представлен минимальный необходимый набор параметров для качественной адаптации моделей. Также показана эффективность и точность моделей посредством сравнения фактических данных о режимах работы скважин с расчетными. На основании проделанной работы можно сделать вывод о том, что использование интегрированной модели демонстрирует нам высокое схождение с реальными данными, что позволяет с достаточной точностью проводить оптимизационные расчеты с получением результата, обеспечивающим наибольший эффект [20].
Научная новизна работы заключается в индивидуальном подходе к настройке моделей скважин Чаяндинского месторождения: для различных месторождений требуется правильная адаптация моделей и выбор корректной корреляции, а также подтверждение сходимости расчетных и реальных данных, что также было представлено в ходе работы.
В ходе проведения оптимизационных расчетов по скважинам также практически установлен положительный эффект в виде получения дополнительной добычи нефти, что позволяет тиражировать данную технологию на другие месторождения. Суммарный эффект проведения ОПИ составил 133 т нефти в сутки, что эквивалентно приблизительно 2 млн р. в сутки при стоимости нефти по состоянию на январь 2023 г.
Об авторах
Роман Николаевич Коротков
Национальный исследовательский Томский политехнический университет
Автор, ответственный за переписку.
Email: klimatqwf@gmail.com
ORCID iD: 0009-0000-5118-9198
аспирант отделения нефтегазового дела Школы природных ресурсов
Россия, 634050, г. Томск, пр. Ленина, 30Диана Маратовна Овчаренко
Национальный исследовательский Томский политехнический университет
Email: dmo4@tpu.ru
ORCID iD: 0009-0009-5799-2972
магистрант отделения нефтегазового дела Школы природных ресурсов
Россия, 634050, г. Томск, пр. Ленина, 30Владимир Иванович Ерофеев
Национальный исследовательский Томский политехнический университет
Email: erofeevvi@mail.ru
ORCID iD: 0000-0001-5153-887X
доктор технических наук, профессор отделения нефтегазового дела Школы природных ресурсов
Россия, 634050, г. Томск, пр. Ленина, 30Список литературы
- Применение интегрированного моделирования в нефтегазовой отрасли / Е.В. Филиппов, Г.Н. Чумаков, И.Н. Пономарева, Д.А. Мартюшев // Недропользование. – 2020. – Т. 20. – № 4. – С. 386–400.
- Особенности разработки месторождений высоковязкой нефти в условиях низкого пластового давления / А.Н. Иванов, М.М. Велиев, Э.М. Велиев, Л.С. Кулешова, Е.А. Удалова // Нефтяное хозяйство. – 2021. – № 8. – С. 50–52.
- Повышев К.И., Вершинин С.А., Берниковская О.С. Комплексная модель «Пласт–Скважина–Инфраструктура» и ее возможности // PROНЕФТЬ. Профессионально о нефти. – 2016. – № 2. – С. 48–53.
- Интегрированное моделирование-инструмент повышения качества проектных решений для разработки нефтяных оторочек многопластовых нефтегазоконденсатных месторождений / Р.Т. Апасов, И.Л. Чамеев, А.И. Варавва, О.С. Верниковская, А.Р. Ильясов, В.И. Вирт // Нефтяное хозяйство. – 2018. – № 12. – С. 46–49.
- Яночкин С.В., Рычков А.Ф. Интегрированное моделирование. Опыт реализации пилотных проектов // Нефть. Газ. Новации. – 2018. – № 12. – С. 29–30.
- Проблемы расчетов промысловых систем сбора и транспорта добываемой продукции месторождений высоковязкой нефти / М.М. Велиев, А.Н. Иванов, А.Г. Ахмадеев и др. // Нефтяное хозяйство. – 2021. – № 10. – С. 108–111.
- Интегрированное моделирование как инструмент, повышающий эффективность разработки многопластового нефтегазоконденсатного месторождения / Е.В. Богданов, И.Л. Чамеев, Д.А. Решетников, И.В. Перевозкин, А.В. Ткачук, А.Н. Шорохов // Нефтяное хозяйство. – 2019. – № 12. – С. 52–55.
- Рычков А.Ф., Кадыков И.А. Построение интегрированных моделей месторождений с высокопродуктивными скважинами, в условиях малых значений депрессий на пласт на примере Памятно-Сасовского месторождения // Сб. статей VII Конференции молодых ученых и специалистов Головного офиса ООО «ЛУКОЙЛ-Инжиниринг». – М., 2018. – С. 664–673.
- Bandilla K.W., Guo B., Celia M.A. Applicability of vertically integrated models for carbon storage modeling in structured heterogeneous domains // Energy Procedia. – 2017. – Vol. 114. – P. 3312–3321.
- Towards the development of an integrated modelling framework underpinned by mineralogy / S. Ntlhabane, M. Becker, E. Charikinya, M. Voight, R. Schouwstra, D. Bradshaw // Minerals Engineering. – 2018. – Vol. 116. – P. 123–131.
- Создание и эксплуатация интегрированной модели, учитывающей особенности газоконденсатной залежи / В.Г. Зипир, А.Г. Менгалиев, А.Г. Рясный, М.Н. Курбатова, О.М. Рудая // Известия Томского политехнического университета. Инжиниринг георесурсов. – 2022. – Т. 333. – № 10. – С. 159–168.
- Liu C., Li Y., Xu M. An integrated detection and location model for leakages in liquid pipelines // Journal of Petroleum Science and Engineering. – 2019. – Vol. 175. – P. 852–867.
- An integrated model for asphaltene deposition in wellbores/pipelines above bubble pressures / Q. Guan, A. Goharzadeh, J. Chai, F.M. Vargas, S.L. Biswal, W.G. Chapman, M. Zhang, Y.F. Yap //Journal of Petroleum Science and Engineering. – 2018. – Vol. 169. – P. 353–373.
- An integrated simulation model for analysing electricity and gas systems / B.C. Erdener, K.A. Pambour, R.B. Lavin, B. Dengiz // International Journal of Electrical Power & Energy Systems. – 2014. – Vol. 61. – P. 410–420.
- Integrated field operation and optimization / S.D. Rahmawati, C. Whitson, B. Foss, A. Kuntadi // Journal of Petroleum Science and Engineering. – 2012. – Vol. 81. – P. 161–170.
- Margaret A.W. Modelling and forecasting the supply of oil and gas: a survey of existing approaches // Journal of Resources and Energy. – 1992. – Vol. 14. – P. 287–309.
- Aydin G. Production modeling in the oil and natural gas industry: an application of trend analysis // Journal of Petroleum Science and Technology. – 2014. – Vol. 32. – P. 555–564.
- Китов Е.С., Ерофеев В.И., Джалилова С.Н. Анализ технологий промысловой подготовки природного газа // Известия Томского политехнического университета. Инжиниринг георесурсов. – 2022. – Т. 333. – № 10. – С. 31–38.
- Технология бинарных смесей как современный комплексный метод увеличения нефтеотдачи для разработки трудноизвлекаемых запасов на месторождениях Западной Сибири / Р.Н. Коротков, А.А. Коновалов, Д.М. Овчаренко, В.И. Ерофеев // Известия Томского политехнического университета. Инжиниринг георесурсов. – 2023. – Т. 334. – № 9. – С. 146–153. DOI: https://doi.org/10.18799/24131830/2023/9/4176
- Коротков Р.Н., Овчаренко Д.М., Ерофеев В.И. Настройка модели пласта методом материального баланса в программном обеспечении petroleum experts MBAL. Настройка интегрированной модели в GAP // Известия Томского политехнического университета. Инжириринг георесурсов. – 2024. – Т. 335. – № 2. – С. 133–140. doi: 10.18799/24131830/2024/2/4434
Дополнительные файлы







