Математическое моделирование трещиноватости пород в пределах локальных структур
- Авторы: Гайнанов Ш.Х.1, Аптуков В.Н.1, Середин В.В.1
-
Учреждения:
- Пермский государственный национальный исследовательский университет
- Выпуск: Том 335, № 1 (2024)
- Страницы: 184-193
- Раздел: Статьи
- URL: https://journals.rcsi.science/2500-1019/article/view/267124
- DOI: https://doi.org/10.18799/24131830/2024/1/4541
- ID: 267124
Цитировать
Полный текст
Аннотация
Трещиноватость грунтового массива оказывает существенное влияние на изменение инженерно-геологических условий и, как следствие, на устойчивость сооружений. Развитие тектонической трещиноватости локальных структур, учитывая историю процесса, его механизм, возникшие при этом напряжения в массиве и последующие деформации пород, привело к изменению состава и прочностных характеристик, активизации процессов гипергенеза и экзогенных процессов. Перечисленные обстоятельства требуют внимательного отношения к выявлению зон повышенной трещиноватости как наиболее опасных с точки зрения рисков при строительстве инженерных сооружений. Полевые методы оценки трещиноватости массивов пород трудоемкие, и не всегда существует возможность для проведения инструментальной съемки, позволяющей решать конечную задачу – установление закономерностей и размеров поврежденных площадей в пределах локальных структур. Существующие математические модели оценки трещиноватости, как правило, применяются для решения локальных задач: оценка устойчивости разрабатываемых карьеров, оценка водообильности массивов пород, степень раздробленности отдельных блоков и т. д. Этой информации недостаточно при оценке площадного распространения ослабленных зон и уточнения их границ, поскольку она не содержит данных по истории развития структуры, ее параметры (размеры, амплитуда поднятия блока фундамента, деформационные свойства пород).
Целью исследования является разработка математической модели формирования зон тектонической трещиноватости красноцветной толщи на основе деформационного критерия разрушения и механизма развития локальных структур.
Результаты. Разработана новая математическая модель прогноза поврежденности (трещиноватости) терригенных пород красноцветной толщи, слагающих локальные структуры, основанная на учете механизма формирования локальных тектонических структур 3-го порядка и деформационном критерии разрушения. Представлены математические зависимости, позволяющие прогнозировать размеры (площади) таксонов по данным амплитуды поднятия локальных структур. Результаты исследований могут применяться при оценке трещиноватости массивов, сложенных терригенными породами, и позволяют судить о закономерностях распределения ослабленных зон в пределах всего оцениваемого массива.
Полный текст
Введение
На формирование инженерно-геологических условий красноцветной терригенной формации существенное влияние оказывает трещиноватость пород, слагающих локальные тектонические структуры. В пределах зон повышенной трещиноватости уменьшается прочность и увеличивается деформируемость массива пород [1, 2], на форму и вид трещин существенное влияние оказывает вид напряженного состояния пород [3, 4]. На этих территориях активизируются экзогенные процессы: овражная эрозия, суффозия, абразия и др. [5], а также возрастает интенсивность процессов гипергенеза и, как следствие, существенно изменяется состав и свойства материнской породы [6–9]. Поэтому оценка трещиноватости массива пород является актуальной задачей.
В настоящее время активно развиваются методы математического моделирования геомеханического поведения трещиноватых пород. Среди работ, посвященных выделению ослабленных зон массивов горных пород, следует отметить исследования некоторых авторов [10, 11]. Эти работы направлены на выделение трещиноватых зон по разрезу для оценки устойчивости бортов карьеров рудных месторождений. Компьютерная обработка данных проводилась главным образом на основании изучения керна, полученного в процессе бурения разведочных скважин. В работе [12] изложена методика, позволяющая автоматизировать процесс построения диаграмм трещиноватости, а также коэффициентов фильтрации скальных массивов. В последнее время математическое моделирование широко используется для оценки характера деформаций с учетом их деформационных особенностей, как для пород, обладающих хрупкой деформацией [13], так и для слоистых пород с пластической деформацией [14]. Появляются модели для оценки прочности пород через расчет напряженного состояния горного массива [15].
Развиваются смешанные подходы, основанные на методе комплексирования данных сейсморазведки и тектонофизического моделирования, при изучении зон тектонической трещиноватости для нефтяных пластов. Широко применяется геологическое 3D-моделирование [16] для визуализации трещиноватых зон на основе данных геологии и сейсморазведки, а также другие косвенные методы [17, 18].
Математическое моделирование трещиноватости массива горных пород, проведенное Г.М. Редькиным [19], показало, что этот способ описания степени раздробленности отдельных блоков массивов не дает общего представления о распределении зон разной степени трещиноватости в определенных горно-геологических условиях. В работах С.В. Влада [20] представлены результаты лабораторных экспериментов и выполнено математическое моделирование процесса нагружения кубического трещиноватого образца. Предложенная модель удовлетворительно работает при углах наклона трещин 5–60 градусов.
Методы математического моделирования для оценки напряженно-деформированного состояния и геодинамически опасных зон породного массива при различных условиях природного и техногенного воздействия изучались в работах [21–25]. Однако направленность этих работ не позволяет выявить влияние тектонической трещиноватости в пределах локальных структур на изменение инженерно-геологических условий и, как следствие, на устойчивость сооружений.
Поэтому целью исследования является разработка математической модели формирования зон тектонической трещиноватости терригенных пород в массивах красноцветной толщи на основе деформационного критерия разрушения.
Методика
Построение математической модели формирования зон тектонической трещиноватости включает в себя следующие этапы:
- формирование геометрической и физической модели локальной структуры (размеры, тип горных пород, их физико-механические свойства и мощности);
- расчет напряженно-деформированного состояния локальной структуры при воздействии фундаментного блока;
- расчет степени поврежденности пород красноцветной толщи по деформационному критерию разрушения и типизация поврежденных пород;
- определение площади нарушений красноцветной толщи по таксонам в зависимости от давления фундамента;
- построение регрессионных (прогнозных) моделей.
При моделировании локальной структуры учитываются упругие и пластические деформации породного массива. Математическая постановка задачи [26] включает в себя:
- уравнения равновесия
, , (1)
- граничные условия в напряжениях
, , (2)
- граничные условия в перемещениях
, , (3)
- уравнения Коши
, , (4)
- уравнения линейной упругости
, , (5)
- уравнения пластичности
, , (6)
где – компоненты вектора объемных сил; – частная производная по ; – компоненты вектора нормали к поверхности тела; , – заданные компоненты вектора поверхностных нагрузок и вектора перемещений на поверхностях и ; K, G – объемный и сдвиговой модуль; – функция деформационного упрочнения от второго инварианта тензора пластических деформаций; – область моделирования.
В соотношениях (1)–(6) по повторяющимся индексам осуществляется операция суммирования. Предполагается, что тензор полных деформаций аддитивно представлен упругими , пластическими деформациями. Тензоры напряжений и деформаций разложены на сумму шаровых , и девиаторных частей.
В настоящей расчетной схеме не учитываются объемные силы . Граничные условия представлены наличием заданных перемещений и поверхностных нагрузок .
Результаты решений, которые представлены ниже, получены методом конечных элементов в пакете ANSYS [27] в пространственной постановке. Использованы опции Rate Independent, Isotropic Hardening Plasticity, Mises Plasticity, Multilinear для расчетов пластичности.
В результате расчетов получен полный набор компонентов тензора напряжений и деформаций, компоненты вектора перемещений. Поскольку основной целью моделирования является расчет появления и развития трещиноватых зон, остановимся на применяемом критерии роста поврежденности.
При развитии неупругих процессов в различных горных породах накапливается трещиноватость (поврежденность), выражаемая в разуплотнении пород, уменьшении их сопротивляемости механическим нагрузкам, повышении фильтрационных свойств. Для таких процессов применение критерия, основанного на предельных напряжениях, не дает адекватного описания явления [24]. В этом случае необходимо использовать критерии накопления поврежденности, которые являются достаточно сложными, или использовать в качестве параметра поврежденности уровень накапливаемой неупругой деформации. Такой подход является актуальным при развитии временных процессов деформации [24]. В нашем случае в явном виде временной фактор не присутствовал, но нагружение осуществлялось поэтапно, что приводило к накоплению пластической деформации.
Ранее [23] был предложен деформационный критерий разрушения соляных пород, который успешно применялся при моделировании процессов разрушения кровли и стенок выработок соляных рудников.
Упрощенный вариант деформационного критерия разрушения имеет вид:
, (7)
где – интенсивность деформаций; – предельная интенсивность деформаций, зависящая от коэффициента жесткости напряженного состояния ; – гидростатическое давление; – интенсивность напряжений.
По аналогии с классическими критериями разрушения вводится коэффициент запаса прочности по деформационному критерию:
. (8)
Таким образом, разработанный критерий (7), (8) можно применять как классификационный показатель (КП) типизации красноцветной толщи по степени поврежденности (трещиноватости) пород.
Результаты и обсуждения
Математическая модель трещиноватости структуры. В расчетах используем 3D-модель процесса поднятия блоком фундамента (БФ) в результате его вертикального перемещения слоя коренных пород (КП) при длине БФ 10 км, ширине 5 км.
Предполагается наличие симметрии блока фундамента и коренных пород относительно направлений их длины и ширины. Поэтому расчетная схема включает только одну четверть всей области породного массива (рис. 1 – на примере поля вертикальных перемещений).
В расчетах породный массив разделяли на три слоя (рис. 1):
- фундамент (область 1) представлен породами;
- слой коренных пород (область 2) мощностью 50 м;
- слой коренных пород (область 3) мощностью 50 м.
Физические уравнения пород кроме фундаментного блока учитывают упругопластические свойства, последний – только упругие. Все породы предполагаются изотропными.
Сам фундаментный блок, который осуществляет поднятие коренных пород, не рассматривается, его действие заменяется давлением на внутренней поверхности нижнего слоя коренных пород (рис. 1, область 2), которое повышалось поэтапно. Принятое допущение приводит к «сводовой» форме вышележащих отложений (поднятие под действием давления пластичных пород), что и наблюдается в исследуемой структуре.
Также в модели было предусмотрено наличие расслоения между фундаментным блоком и коренными породами, заключающееся в отсутствии на определенной длине вдоль горизонтали связи между неподвижным фундаментным блоком и поднимающейся частью коренных пород.
На боковых вертикальных границах и нижней горизонтальной границе расчетной области формулировалось условие отсутствия нормальных к границе перемещений . В табл. 1 показаны принятые свойства слоев расчетной области.
Рис. 1. Поле вертикальных перемещений (м) пород красноцветной толщи (расчетная 3D-модель), соответствующее давлению блока фундамента P=0,05 МПа
Fig. 1. Field of vertical displacements (m) of the red-colored strata rocks (computational 3D model) corresponding to pressure by a block of the foundation P=0,05 MPa
Таблица 1. Физико-механические свойства пород
Table 1. Physical and mechanical properties of rocks
Наименование области Area name | Породы Rocks | Мощность, м Thickness, m | Свойства пород Properties of rocks | Модуль упругости, МПа Elastic module, MPa | Коэффициент Пуассона Poison's ratio | Прочность на сжатие, МПа Compressive strength, MPa |
Фундамент Foundation | Магматические породы | – | Упругие Elastic | 20000 | 0,20 | – |
Коренные нижние породы Lower bed rock | Алевролиты, Аргиллиты, Siltsones, | 50 | Упругопластические Elastic plastic
| 5000 | 0,20 | 10 |
Коренные верхние породы Upper bed rock | Песчаники | 50 | 10000 | 0,20 | 20 |
Поднятие блока фундамента моделировалось поэтапным приложением равномерной сжимающей нагрузки к нижней части коренных пород, где фундамент (в расчетной схеме) отсутствует:
- Р1=0,02 МПа, амплитуда поднятия А1=13 м;
- Р2=0,035 МПа, амплитуда поднятия А2 =25 м;
- Р3=0,05 МПа, амплитуда поднятия А3=35 м;
- Р4=0,06 МПа, амплитуда поднятия А4=50 м;
- Р5=0,065 МПа, амплитуда поднятия А5=55 м;
- Р6=0,075 МПа, амплитуда поднятия А6=70 м.
Отметим, что амплитуда поднятия, указанная выше, определялась (а не задавалась) при расчете модели для заданных условий и давлении.
По результатам расчетов определены все поля напряжений, деформаций и перемещений в геометрической модели, на основании которых, с применением деформационного критерия разрушения (7), (8), получены поля поврежденности различного уровня.
Типизация степени нарушенности локальной структуры. Принята следующая модель типизации поврежденных зон, полученных расчетным путем. Область с показателем 0<КП<1 считается разрушенной (фрагментированной), область с показателем 1<КП<2 – сильно поврежденной, 2<КП<3 – поврежденной, 3<КП<4 – слабо поврежденной, область с КП>4 слабо отличается от исходной породы (табл. 2). В табл. 2 показатель Lт характеризует общую протяженность тектонических трещин в пределах массива на определенную площадь (10000 м2).
Типизация пород красноцветной толщи по степени трещиноватости пород Кп при амплитуде поднятия 13, 35 и 70 м приведена на рис. 2. Следует отметить, что на рис. 2 приведен фрагмент, который составляет четверть всей структуры. Это обусловлено тем, что нарушенность пород симметрична.
Из рисунков видно, что на исследуемой территории выделяется пять таксонов локальной структуры, характеризующихся определенным набором свойств пород. Область серого цвета – это область с отсутствием каких-либо повреждений, вызванных поднятием блока фундамента.
Таблица 2. Модель типизации пород красноцветной толщи
Table 2. Model of typification of the red-colored strata rocks
Наименование таксона Taxon name | Состояние породного массива Rock mass state | Степень поврежденности (трещиноватости) Degree of damage (fractures) | Модельный критерий районирования, Кп Model criterion for zoning, Kp | Полевой критерий районирования, Lт, м/10000 м2 Field criterion for zoning, Lт, m/10000 m2 |
I | Очень неустойчивое Very unstable | Разрушенная (фрагментированная) Destroyed (fragmented) | 0<КП<1 | Lт>25000 |
II | Неустойчивое Unstable | Сильно трещиноватая Heavily fractured | 1<КП<2 | 15000<Lт<25000 |
III | Малоустойчивое Weakly stable | Трещиноватая Fractured | 2<КП<3 | 5000<Lт<15000 |
IV | Устойчивое Stable | Слабо трещиноватая Weakly fractured | 3<КП<4 | Lт<5000 |
V | Очень устойчивое Very stable | Не трещиноватая Not fractured | КП>4 |
Рис. 2. Типизация пород красноцветной толщи (по Опалихинской структуре) по критерию Кп при амплитудах поднятия: А6=70 м, А3=35 м и А1=13 м. Таксоны: 1 – темно-синий цвет, 2 – голубой, 3 – зеленый, 4 – желтый, 5 – красный. Размеры моделируемого объекта по осям Х, Y – 15 км
Fig. 2. Typification of the red-colored strata rocks (Opalikhinsky structure) according to the Kp criterion at uplift amplitudes: A3=70 m, A2=35 m and A1=13 m. Taxon: 1 – dark blue, 2 – light blue, 3 – green, 4 – yellow, 5 – red. Dimensions of the modeled object along the X, Y axes – 15 km
Таксон 1 представлен разрушенными (фрагментированными) песчаниками, алевролитовыми и аргилитовыми породами с прочностью на сжатие Rс=0,1–2,0 МПа, пористостью n=35 % и выше, степенью выветрелости Кв=0,30. Фильтрация вод на этой территории очень высокая, коэффициенты фильтрации Кф=20 м/сут и более. Таксон 2 – пестроцветная толща сильно разрушена, прочность на сжатие несколько выше, чем в таксоне 1, и изменяется в диапазоне Rс=2,0–4,0 МПа, уменьшается пустотность n=25 %, выветрелость Кв=0,20 и коэффициент фильтрации Кф=2–7 м/сут. Таксон 3 – горные породы трещиноватые, достаточно прочные Rс=4,0–8,0 МПа, пористость изменяется n=15–25 %, выветрелость Кв=0,1–0,2, Кф=0,8–2 м/сут. Таксон 4 – породы пестроцветной толщи слабо трещиноватые, прочные Rс=8,0–15,0 МПа, пористость изменяется n=5–10 %, выветрелость Кв=0,1, Кф=0,2–1,0 м/сут. Таксон 5 – песчаники, алевролиты и аргиллиты не трещиноватые, прочные Rс=15,0–20,0 МПа, пористость n<5 %, не выветрелые, коэффициенты фильтрации Кф<0,2 м/сут.
Оценка достоверности трещиноватости пород, полученная методом математического моделирования и по данным полевых исследований. В ранее проведенных исследованиях Опалихинской структуры [28], имеющей размеры: длина – 6 км, ширина – 2,6 км, амплитуда поднятия – 70 м, приведены полевые данные съемки трещиноватости пород. В качестве критерия степени нарушенности пород выбран критерий Lт, длина трещин на 10000 м2. По критерию Lт составлена карта нарушенности (районирования) пород красноцветной толщи. Выделяются четыре таксона. Сопоставление таксонов, полученных разными методами, показало, что при полевом методе четвертый таксон объединяет 4 и 5 таксоны, полученные методом математического моделирования. При оценке достоверности допускаем, что наиболее надежным является полевой метод определения нарушенности массива пород. Сопоставление карт районирования поврежденности Опалихинской структуры, полученных различными методами, показало, что площадь таксона 1, определенная математическим моделированием, на 12 % больше, чем площадь, полученная полевым методом, а таксона 2 – на 14 %. Площади таксонов 3–5 разнонаправленно изменяются на 18–26 %. Пространственное расположение зон повышенной трещиноватости, полученных разными методами, согласуются между собой.
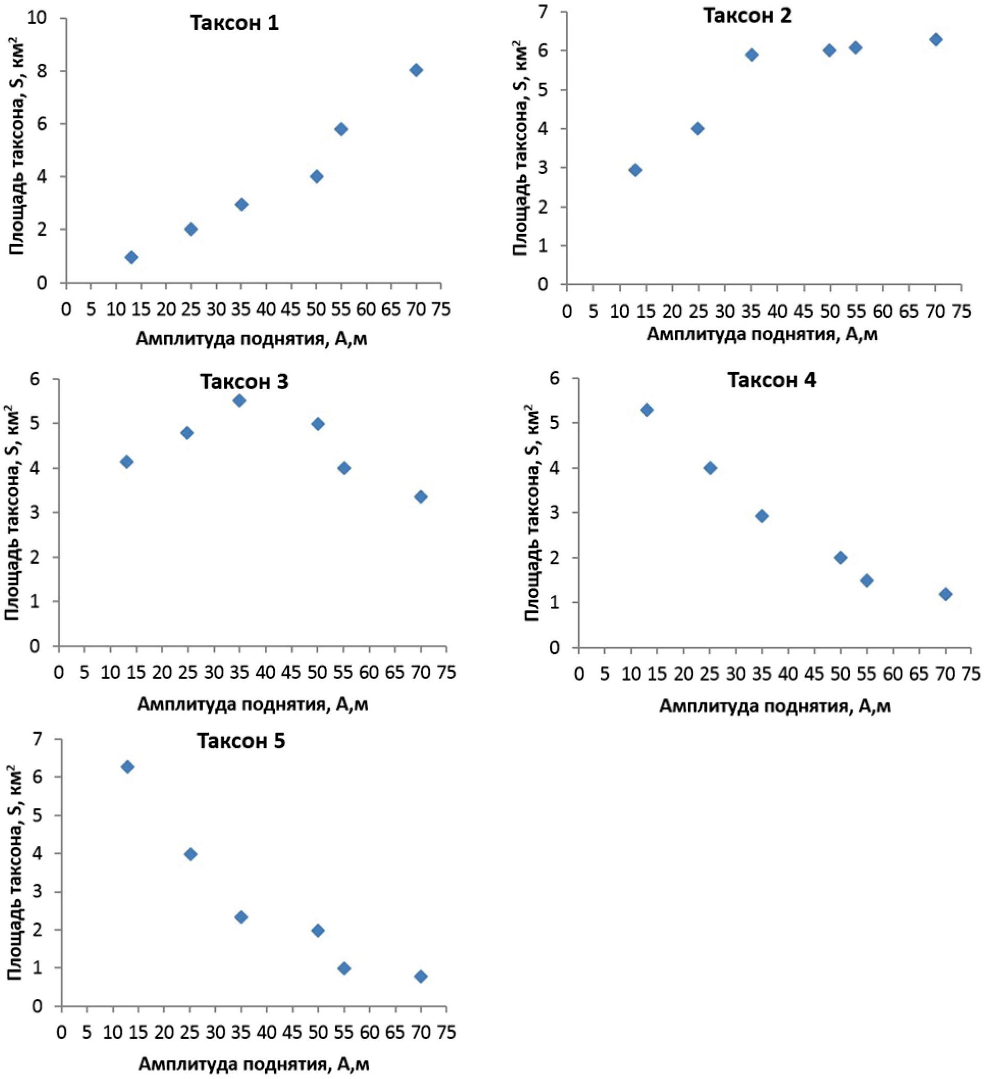
Влияние амплитуды поднятия структуры на изменение площади таксонов. Используя данные рис. 2, подсчитаны площади, занимаемые таксонами в пределах исследуемого поднятия. Результаты расчетов приведены в табл. 3.
Используя данные табл. 3, построены графики зависимости площади таксонов от амплитуды поднятия локальной структуры (рис. 3).
Таблица 3. Площади таксонов
Table 3. Taxon areas
Амплитуда поднятия, А, м Uplift amplitude, A, m | Давление, Р, МПа Pressure, P, MPa | Площадь таксонов, S, км2 Taxon areas, S, km2 | ||||||
I | II | III | IV | V | Всего/Total | |||
13 | 0,02 | 0,98 | 2,94 | 4,12 | 5,29 | 6,27 | 19,6 | |
25 | 0,035 | 2,01 | 4 | 4,8 | 4 | 4 | 19,6 | |
35 | 0,05 | 2,94 | 5,88 | 5,49 | 2,94 | 2,35 | 19,6 | |
50 | 0,06 | 4 | 6 | 5 | 2 | 2 | 19,6 | |
55 | 0,065 | 5,8 | 6,2 | 4 | 1,5 | 1 | 19,6 | |
70 | 0,075 | 8,04 | 6,27 | 3,33 | 1,18 | 0,78 | 19,6 | |
Рис. 3. Влияние амплитуды поднятия локальных структур на изменение площади таксонов
Fig. 3. Influence of the uplift amplitude of local structures on the change in the taxon areas
Из рис. 3 видно, что площади первого и второго таксонов увеличиваются с возрастанием амплитуды поднятия структуры. Так, при повышении амплитуды с А1=13 м до А6=70 м площадь первого таксона увеличивается на S1=7,06 км2, или 36 %, а второго на S2=3,33 км2, или 17 %. Для площадей четвертого и пятого таксонов выявлена противоположенная закономерность – с увеличением амплитуды поднятия площадь таксонов закономерно уменьшается. Так, для четвертого таксона она снижается на S4=4,11 км2, или 21 %, а для пятого таксона на S5=5,49 км2, или 28 %. Площадь третьего таксона увеличивается при возрастании амплитуды поднятия до А=35 м и уменьшается при увеличении А=70 м.
На основании выявленных закономерностей, используя регрессионный анализ, для каждого таксона получены следующие математические зависимости:
Таксон 1 S1=0,1209 А1–1,036
Таксон 2 S2=0,0589 А2+2,7629
Таксон 4 S4= –0,0739 А4+5,8746
Таксон 5 S5= –0,0932 А5+6,5873
Заключение
Проведен анализ натурных измерений и описание локальной структуры коренных пород красноцветной толщи при поднятии фундаментного блока.
Разработана математическая модель прогноза поврежденности (трещиноватости) терригенных пород красноцветной толщи, слагающих локальные структуры, основанная на деформационном критерии разрушения.
Представлены математические зависимости, позволяющие прогнозировать размеры (площади) таксонов по данным амплитуды поднятия локальных структур. Результаты исследований могут применяться при оценке трещиноватости массивов пород, сложенных терригенными породами, а также служить основой для крупномасштабного инженерно-геологического районирования в пределах локальных тектонических структур.
Об авторах
Шарибзан Хатинович Гайнанов
Пермский государственный национальный исследовательский университет
Автор, ответственный за переписку.
Email: gaynanov@inbox.ru
ORCID iD: 0000-0002-2722-2725
кандидат геолого-минералогических наук, доцент кафедры инженерной геологии и охраны недр
Россия, г. ПермьВалерий Нагимович Аптуков
Пермский государственный национальный исследовательский университет
Email: aptukov@psu.ru
ORCID iD: 0000-0001-8048-3804
доктор технических наук, профессор
Россия, г. ПермьВалерий Викторович Середин
Пермский государственный национальный исследовательский университет
Email: seredin@nedra.perm.ru
ORCID iD: 0000-0002-9234-7831
доктор геолого-минералогических наук, профессор, заведующий кафедры инженерной геологии и охраны недр
Россия, г. ПермьСписок литературы
- Рац М.В. Структурные модели в инженерной геологии. – М.: Недра, 1973. – 216 с.
- Dittrich E. Beobachtungen uber den Kluftkorper // Bergakademie. – 1970. – Vol. 3. – S. 151–160.
- Kakimi T. Depth of fracturing in Earths crust // Journal of the Geological Society of Japan. – 1971. – Vol. 77. – № 5. – P. 237–242.
- Методика оценки напряженного состояния горных пород / В.В. Середин, А.С. Хрулев, А.В. Растегаев, В.И. Галкин // Горный журнал. – 2020. – № 2. – С. 30–34. doi: 10.17580/gzh.2020.02.03
- Гайнанов Ш.Х. Активизация экзогенных процессов в пределах локальных структур красноцветных терригенных формаций // Известия высших учебных заведений. Горный журнал. – 2022. – № 2. – С. 85–95. doi: 10.21440/0536-1028-2022-2-85-95
- Середин В.В., Ядзинская М.Р., Маковецкий О.А. Влияние высокого давления на изменение структуры пакета, минерала, коллоида и агрегата бентонитовой глины // Известия Томского политехнического университета. Инжиниринг георесурсов. – 2022. – Т. 333. – № 12. – С. 37–45. doi: 10.18799/24131830/2022/12/3576
- Siegesmund S., Snethlage R. Stone in architecture: properties, durability. – Berlin: Springer, 2011. – 558 p.
- Defects in structure as the sources of the surface charges of kaolinite / X. Zhu, Z. Zhu, X. Lei, C. Yan // Applied Clay Science. – 2016. – Vol. 124–125. – P. 127–136. doi: 10.1016/j.clay.2016.01.033.
- Sruthi P.L., Reddy P.H. Swelling and mineralogical characteristics of alkali-transformed kaolinitic clays // Applied Clay Science. – 2019. – Vol. 183. – Article number 105353. doi: 10.1016/j.clay.2019. 105353
- Корчак С.А. Получение исходных данных для построения прогнозной инженерно-геологической модели // Известия высших учебных заведений. Горный журнал. – 2022. – № 5. – С. 66–76. doi: 10.21440/0536- 1028-2022-5-66-76
- Nicholson G.A., Bieniawski Z.T. A nonlinear deformation modulus based on rock mass classification // International Journal of Mining and Geological Engineering. – 1990. – Vol. 8. – P. 181–202. DOI: 10.1007/ BF01554041
- Кузьмин В.С., Копытин А.С. Применение компьютерных технологий для решения задач, связанных с изучением трещиноватости скальных массивов // Вестник Российского университета дружбы народов. Серия: Экология и безопасность жизнедеятельности. – 2013. – № 3. – C. 83–92.
- A three-dimensional numerical meso-approach to modeling time-independent deformation and fracturing of brittle rocks / G L. Zhou, T. Xu, M.J. Heap, P.G. Meredith, T.M. Mitchell, A.S.-Y. Sesnic, Y. Yuan // Computers and Geotechnics. – 2020. – Vol. 117. – Article number 103274. doi: 10.1016/j.comgeo.2019.103274
- Chemenda A.I., Hassani R., Fan J. Numerical modeling of the opening mode fracturing emanating from deformation localization in layered rocks // Computers and Geotechnics. – 2022. – Vol. 147. – Article number 104774. doi: 10.1016/j.compgeo.2022.104774
- Elasto-plastic analysis of the surrounding rock mass in circular tunnel using a new numerical model based on generalized nonlinear unified strength theory / C. Wang, X. Liu, D. Song, E. Wang, J. Zhang // Computers and Geotechnics. – 2023. – Vol. 154. – Article number 105163. doi: 10.1016/j.compgeo.2022. 105163
- Закревский К.Е., Кундин А.С. Особенности геологического 3D моделирования карбонатных и трещиноватых резервуаров. – М.: Белый ветер, 2016. – 404 с.
- Application of ultrasonic-rebound method in fast prediction of rock strength / R. Wang, X. Deng, Y. Meng, D. Xia // Geotechnical and Geological Engineering. – 2020. – Vol. 38. – P. 5915–5924. DOI: 10.1007/s 10706-020-01402-6
- Vakili A. An improved unified constitutive model for rock material and guidelines for its application in numerical modeling // Computers and Geotechnics. – 2016. – Vol. 80. – P. 261–282. doi: 10.1016/j.compgeo.2016.08.020
- Редькин Г.М. Математическое моделирование трещиноватости массива горных пород // Известия вузов. Северо-Кавказский регион. Технические науки. – 2005. – № 4. – С. 79–82.
- Влад С.В. О численном моделировании трещиноватых скальных массивов при геотектонических нагрузках // Промышленное и гражданское строительство. – 2014. – № 11. – С. 32–35.
- Оловянный А.Г. Математическое моделирование процессов деформирования и разрушения в трещиноватых массивах горных пород // Записки горного института. – 2010. – Т. 185. – С. 95–98.
- Журавков М.А. Математическое моделирование деформационных процессов в твердых деформируемых средах (на примере задач механики горных пород и массивов). – Мн.: БГУ, 2002. – 456 с.
- Аптуков В.Н. Деформационный критерий разрушения образцов соляных пород // Физико-технические проблемы разработки полезных ископаемых. – 2016. – № 3. – С. 39–45.
- Константинова С.А., Аптуков В.Н. Некоторые задачи механики деформирования и разрушения соляных пород. – Новосибирск: Наука, 2013. – 191 с.
- Ливинский И.С., Митрофанов А.Ф., Макаров А.Б. Комплексное геомеханическое моделирование: структура, геология, разумная достаточность // Горный журнал. – 2017. – № 8. – С. 51–55. doi: 10.17580/gzh.2017.08.09
- Качанов Л.М. Основы теории пластичности. – М.: Наука, 1969. – 420 с.
- Басов К.А. ANSYS для конструкторов. – М.: ДМК Пресс, 2009. – 248 с.
- Гайнанов Ш.Х. Влияние тектонических напряжений в массивах пород на изменение их строения и свойств // Известия высших учебных заведений. Горный журнал. – 2021. – № 3. – С. 71–78. doi: 10.21440/0536-1028-2021-3-71-78
Дополнительные файлы





