Влияние газа, возникающего при разложении газового гидрата, на фильтрационные свойства донных отложений арктического шельфа. Лабораторное моделирование
- Авторы: Барышников Н.А.1, Зенченко П.Е.1, Турунтаев С.Б.1
-
Учреждения:
- Институт динамики геосфер имени академика М.А. Садовского Российской академии наук
- Выпуск: Том 335, № 6 (2024)
- Страницы: 203-213
- Раздел: Статьи
- URL: https://journals.rcsi.science/2500-1019/article/view/263859
- DOI: https://doi.org/10.18799/24131830/2024/6/4422
- ID: 263859
Цитировать
Полный текст
Аннотация
Актуальность данного исследования обусловлена необходимостью изучения механизма фильтрации газа (метана), возникающего в процессе разложения газогидратных образований, в толще донных отложений. Данный процесс проявляется в массированных выбросах пузырькового метана на обширных мелководных участках арктического шельфа России и потенциально может привести к изменению баланса атмосферного метана – важнейшего парникового газа.
Целью настоящей работы было в рамках задачи о транспорте газа в донных отложениях количественно исследовать влияние свободного и связанного газа в порах на нелинейность фильтрационных течений.
Методы. Исследования проводились с использованием модельных образцов с фильтрационными свойствами, близкими к свойствам донных пород Восточно-Сибирского Арктического шельфа. В ходе испытаний в насыщенный модельный образец закачивалось определённое количество газа, после чего производилось измерение его эффективной проницаемости в процессе медленного спада градиента порового давления. Полученная кривая интерпретировалась в рамках модели порогового градиента.
Результаты. Были получены кривые зависимости величины порогового градиента от газонасыщенности для нескольких образцов. Установлено, что пороговый градиент линейно растёт с увеличением доли газа в поровом пространстве. Уже при доле газа порядка 0,02 эта величина в опытах достигает 0,01 МПа/м, что соответствует гидростатическому градиенту давления в воде. Это может говорить о том, что области среды даже с небольшой газонасыщенностью могут быть непроницаемыми для конвективных потоков флюида. Эту возможность необходимо учитывать при создании моделей транспорта пузырькового газа через толщу пород донных отложений. Кроме того, существование газонасыщенных зон с пороговыми градиентами может существенно повлиять на вид вертикального профиля порового давления и привести к переоценке глубины зоны стабильности газового гидрата.
Полный текст
Введение
Объектом исследования данной работы является перенос газа, возникающего в процессе разложения газового гидрата в донных отложениях Восточно-Сибирского Арктического шельфа, от места его накопления до поверхности дна. Согласно оценкам [1], донные отложения 57 % Восточно-Сибирского Арктического шельфа могут содержать залежи метанового газогидрата, существующие в пределах так называемой зоны стабильности [2, 3]. Границы этой зоны определяются исходя из термобарических условий, обеспечивающих стабильность гидрата. Так, при температурах в районе 0 градусов Цельсия газовые гидраты стабильны при давлениях свыше P≥2,5 МПа. В условиях донных отложений континентального шельфа это давление должно обеспечиваться суммарным гидростатическим и литостатическим давлением расположенных выше пород и толщи воды. Характерные глубины залегания гидратов относительно поверхности морского дна, в зависимости от локальных термобарических условий, могут варьироваться в пределах от 0 до 100 и более метров. В результате изменений температурного режима газовые гидраты могут терять стабильность, частично переходя в форму свободного газа, который затем переносится на поверхность. Механизм переноса внутри осадочных пород при этом до сих пор остаётся мало изучен. В зависимости от P/T условий газ, выделяющийся в процессе разложения гидрата, может существовать как в свободной, так и в растворённой форме. Пузырьки газа, поднимающиеся от поверхности дна, позволяют предположить, что под его поверхностью существует область выделения и накопления газа в свободной форме [4, 5], из которой происходит дальнейший перенос в сторону поверхности. Сам механизм переноса освещён в литературе достаточно мало [6]. Как правило, рассматривается дифузионный, адвективный механизмы [7–11], фильтрационные потоки свободного газа под действием избыточного давления (например, [11]) либо в виде отдельных микропузырьков [5, 12].
По имеющимся данным [13, 14], проницаемость гидратонасыщенных пород Восточно-Сибирского Арктического шельфа составляет в среднем порядка k=10 миллидарси [13, 14]. Характерный размер поровых каналов для среды с подобной проницаемостью имеет порядок мкм, где – пористость. Величина капиллярного давления для пузырька газа с таким размером может быть оценена по формуле Лапласа:
МПа,
где – коэффициент поверхностного натяжения. Для проталкивания пузырька через пористую среду его размер должен меняться от максимального до минимального характерного размера пор, соответственно перепад на нём должен составлять величину, близкую к капиллярному давлению [15]. Градиент порового давления жидкости, действующий на каплю в условиях гидростатического равновесия, составляет , где – плотность воды; – ускорение свободного падения. Таким образом, для того, чтобы свободный газ мог подниматься в рассматриваемой среде в качестве изолированного объёма, он должен иметь «длину» порядка 60 м, что сопоставимо с размером всей рассматриваемой системы. Это позволяет строить дальнейшие рассуждения в предположении связности рассматриваемого течения и применять соответствующие соотношения из теории фильтрации.
В условиях гидростатического поля давления существует минимальная скорость фильтрации газа, которая определяется эффективной проницаемостью среды распространения и силой Архимеда (аналогично тому, что пузырь газа в свободной воде не может «всплывать» медленнее своей предельной скорости). Эта скорость может быть грубо оценена согласно закону Дарси из соотношения:
,
где – абсолютная проницаемость среды; – относительная фазовая проницаемость по газу с насыщенностью ; – вязкость газа. Считая мД, , сП, можно получить оценку величины скорости фильтрации м/с. Это эквивалентно массовому потоку газа порядка 0,15 кг с квадратного метра в сутки (для метана с плотностью кг/м3). Характерные потоки газа, регистрируемые в местах разложения метановых газогидратов Восточно-Сибирского Арктического шельфа, на несколько порядков меньше –1–100 мг с квадратного метра в сутки [2, 16]. Это позволяет предположить, что установившийся транспорт газа должен осуществляться по отдельным каналам, соединяющим область накопления газа и поверхность дна (рис. 1, а), причём доля среды, занятая газовыми каналами, должна быть невелика – порядка 10–3. Устойчивость каналов должна определяться соотношением скорости накопления свободного газа и минимальной скоростью фильтрации uг в самом канале. Если приток газа в результате разложения гидрата достаточно мал, газовые каналы могут существовать только ограниченное время, определяемое оттоком газа через канал. После прекращения поступления газа под действием капиллярных сил на месте газового канала может образовываться область среды с остаточной газонасыщенностью, содержащая изолированные (то есть потерявшие связь с источником) объёмы жидкой и газовых фаз (рис. 1, б). Существуют свидетельства, что даже небольшая доля газа может существенно повлиять на фильтрационные свойства среды [17]. На определённом масштабе рассмотрения, учитывая приведённые выше оценки, область с изолированным газом может считаться непроницаемой при градиентах давления ниже величины, определяемой капиллярным эффектом. Это может существенным образом повлиять на последующий транспорт газа, так как при увеличении давления в области разложения гидрата должны будут возникнуть новые пути транспорта, развивающиеся вне области с измененными фильтрационными свойствами (рис. 1, с).
Рис. 1. Принципиальная схема транспорта свободного газа из области его накопления на поверхность; а) газ поступает на поверхность через проводящий канал; b) транспорт газа прерывается в результате исчерпания источника, на месте канала образуется область среды с остаточной газонасыщенностью и изменёнными фильтрационными свойствами; с) образование нового канала в среде с нелинейными фильтрационными свойствами
Fig. 1. Schematic diagram illustrating free gas transporting from the area of its accumulation to the surface: (a) gas enters the surface through a conductive channel; (b) gas transport is halted due to source depletion, resulting in an area of the medium with residual gas saturation and altered filtration properties forming at the channel location; (c) new channel formation in a medium with nonlinear filtration properties
Данные предположения косвенно подтверждаются результатами полевых исследований. В работе [18] приводятся результаты работы экспедиции, организованной для изучения предполагаемой зоны разгрузки метана в проливе Дмитрия Лаптева. В ходе нескольких последовательных экспедиций была проведена высокоточная сейсморазведка морского дна, а также выборочное бурение в области с повышенной концентрацией растворённого метана в морской воде. В результате были получены разрезы, содержащие области низкоамплитудных аномалий, характерные для пород с существенным содержанием свободного газа в порах. За год, прошедший между наблюдениями, верхняя граница некоторых областей продвинулась вверх, из чего была сделана оценка скорости её движения – 7 м/год. Другие области при этом оставались неподвижны. Результаты бурения показали, что содержание метана внутри области аномалии повышено на два порядка и составляет порядка 4×103 мкМ/л. В оригинальной работе был сделан вывод, что данные области представляют собой «фронт» газа, поднимающегося из толщи пород. Можно предположить, что обнаруженные подвижные области с содержанием свободного газа представляют собой места формирования газовых каналов. При этом неподвижные – изолированные области, содержащие газ, «непроницаемые» при гидростатических градиентах. Концентрация газа в образцах породы примерно в 1,6 раз превышает величину предельной концентрации растворённого метана при рассматриваемых термобарических условиях (2,48×103 мкМ/л). Из этого можно сделать оценку доли содержания свободного газа в поровом объёме – порядка 0,035.
Фильтрационные свойств среды, содержащей изолированный газ, могут быть описаны при помощи нелинейных моделей [19], в частности, модели порогового градиента (Threshold Pressure Gradient, TPG) [20], в которой зависимость скорости фильтрации от градиента порового давления gradP считается линейной при градиентах давления выше определённого порогового значения и нулевой при градиентах ниже порогового:
где u – скорость фильтрации; k0 – абсолютная проницаемость среды; – динамическая вязкость; G – пороговый градиент. При таком подходе зависимость эффективной проницаемости от градиента порового давления будет иметь следующий вид:
(1)
Зависимость величины порогового градиента от газонасыщенности среды может быть исследована экспериментально.
Постановка задачи исследования
Цель настоящей работы заключалась в том, чтобы при помощи лабораторного моделирования оценить возможное влияние газа в среде типа пород донных отложений Восточно-Сибирского Арктического шельфа на её фильтрационные свойства. Для проведения лабораторных опытов была использована методика, разработанная в [21] для изучения нелинейных фильтрационных свойств низкопроницаемых горных пород. Данная методика основана на проведении измерений в процессе медленного спада градиента порового давления. Это позволяет исследовать фильтрационные свойства образцов при градиентах давления, сопоставимых с гидростатическим, что крайне важно для рассматриваемой задачи. В качестве модели среды использовались искусственные цилиндрические образцы (длина и диаметр по 3 см), изготовленные из смеси гипса с цементом с фильтрационными свойствами, близкими к натуральным [13, 14]: проницаемостью порядка 10 мД и пористостью порядка 0,5. Решение использовать искусственные образцы было продиктовано, с одной стороны, желанием добиться лучшей повторяемости и воспроизводимости условий эксперимента и, с другой стороны, невозможностью использовать реальные образцы в имеющейся установке ввиду их неконсолидированности. Вся партия модельных образов единовременно изготавливалась из цементно-гипсовой смеси и после застывания высушивалась в течение долгого времени в комнатных условиях. Параметры сухих образцов представлены в табл. 1. В ходе испытаний в насыщенный модельный образец закачивалось определённое количество газа (воздух), после чего производилось измерение его эффективной проницаемости в зависимости от градиента порового давления. Полученная кривая интерпретировалась в рамках модели порогового градиента. Результатом испытаний стали зависимости величины порогового градиента от газонасыщенности для нескольких образцов.
Таблица 1. Параметры образцов
Table 1. Samples parameters
Параметр Parameter | Образeц/Sample | ||
1 | 2 | 3 | |
| 0,52 | 0,5 | 0,52 |
(мД)/(mD) | 13,0 | 10,93 | 11,63 |
(г/см3)/(g/cm3) | 1,12 | 1,15 | 1,13 |
Методика проведения опытов
С каждым образцом проводилась серия опытов с различной объёмной долей газа в порах sgas=0÷0,05 от суммарного порового объёма образца (что соответствует сделанным ранее оценкам на основании результатов работы [18]). Перед началом каждой серии опытов исследуемый образец вакуумировался, насыщался жидкостью и помещался в кернодержатель (рис. 2). После этого в корпусе кернодержателя создавалось (и далее поддерживалось в ходе всей серии испытаний) давление обжатия 5 МПа. Далее проводилось вакуумирование и заполнение жидкостью подводящих трубок установки. В качестве рабочей жидкости было использовано силиконовое масло ПМС-5 с вязкостью 5 сП. В отличие от водных растворов, эта жидкость не взаимодействует со скелетом образца. Кроме того, из-за хорошей смачиваемости её использование позволило получить высокую степень насыщения образца и исключить влияние остаточного газа. Для всех операций, связанных с поддержанием давления или прокачкой жидкости, использовалась насосная система СМП-НС-250-40 производства ООО «Кортех». Для измерения давления поровой жидкости на входе в кернодержатель использовался преобразователь избыточного давления NAT-8257 производства Trafag AG с диапазоном от 0 до 0,16 МПа и точностью 0,3 % от верхнего предела измерений. Давление на выходе из кернодержателя всегда было равно атмосферному – жидкость поступала на прецизионные весы (ViBRA AJH-420CE с дискретностью 0,001 грамма).
Рис. 2. Принципиальная схема и фото экспериментальной установки: 1 – исследуемый образец в кернодержателе; 2 – гидроаккумулятор; 3 – датчик порового давления; 4 – клапан для выравнивания давления; 5 – весы для измерения массы жидкости, прошедшей через образец; 6 – точка инжекции газа; 7 – пузырёк газа поступает по трубке в образец
Fig. 2. Schematic diagram and photo of the experimental setup: 1 – sample in a core holder; 2 – hydroaccumulator; 3 – pore pressure sensor; 4 – pressure equalization valve; 5 – scales for measuring the mass of liquid passing through the sample; 6 – gas injection point; 7 – gas bubble enters the sample through a tube
Каждый опыт включал в себя следующие этапы.
- В начале опыта проводилась прокачка трех поровых объёмов жидкости (порядка 30 см3) через образец при большом перепаде порового давления (порядка 0,3 МПа) для того, чтобы убрать из порового пространства газ, оставшийся после предыдущего опыта [22].
- Далее проводилась инжекция пузырька газа (воздуха) нужного объёма в трубку на входе в кернодержатель, после чего этот пузырёк вместе с жидкостью закачивался в образец. Для этого производилась прокачка необходимого объёма жидкости (около 1 см3), установленного опытным путём с учётом суммарного объёма подводящей трубки. Диаметр трубки был достаточно мал, чтобы пузырёк газа за счёт капиллярного эффекта перемещался вместе с жидкостью (протяжённость пузырька в трубке составляла 5–25 см при диаметре трубки 2 мм).
- После этого производилось измерение проницаемости образца по жидкости на спаде порового давления. Для этого в начальный момент времени на входе в кернодержатель при помощи гидроаккумулятора (рис. 2) создавалось определённое начальное поровое давление (порядка 0,05 МПа). По мере протекания жидкости через образец градиент давления уменьшался за счёт расширения газа в газовой части гидроаккумулятора. Жидкость, прошедшая через образец, непрерывно взвешивалась на выходе из кернодержателя при помощи весов. Параметры гидроаккумулятора были подобраны таким образом, чтобы скорость уменьшения градиента порового давления была достаточно низкой, чтобы можно было считать поток квазистационарным и пользоваться при дальнейшем анализе уравнениями для стационарного потока. Испытание продолжалось в течение 1 часа до почти полной остановки потока. За время испытания через образец суммарно проходило порядка 0,5 см3 жидкости.
- В конце каждого опыта производилось измерение нулевого значения датчика порового давления. Для этого открывался клапан, выравнивающий давление на концах кернодержателя. Фактически при этом происходило измерение небольшого гидростатического перепада давления между датчиком и свободным уровнем жидкости на весах на выходе из установки. При обработке результатов опытов эта поправка вычиталась из показаний датчика порового давления.
Скорость фильтрации жидкости в каждом опыте вычислялась по данным об изменении массы жидкости на весах. Для численного вычисления производной массы жидкости по времени, помимо метода центральной разности, применяется метод регуляризации квадратичного отклонения (Total Variation Regularization, TVR) [23]. Такой способ позволяет существенно повысить точность измерения при приближении к около нулевым величинам расхода [24]. По данным о расходе жидкости и перепаде порового давления для каждого момента времени по закону Дарси вычислялась эффективная проницаемость образца:
.
В качестве градиента давления бралось отношение перепада порового давления на концах образца к его длине. После этого результат представлялся в виде зависимости эффективной проницаемости от градиента порового давления и интерпретировался в рамках модели порогового градиента .
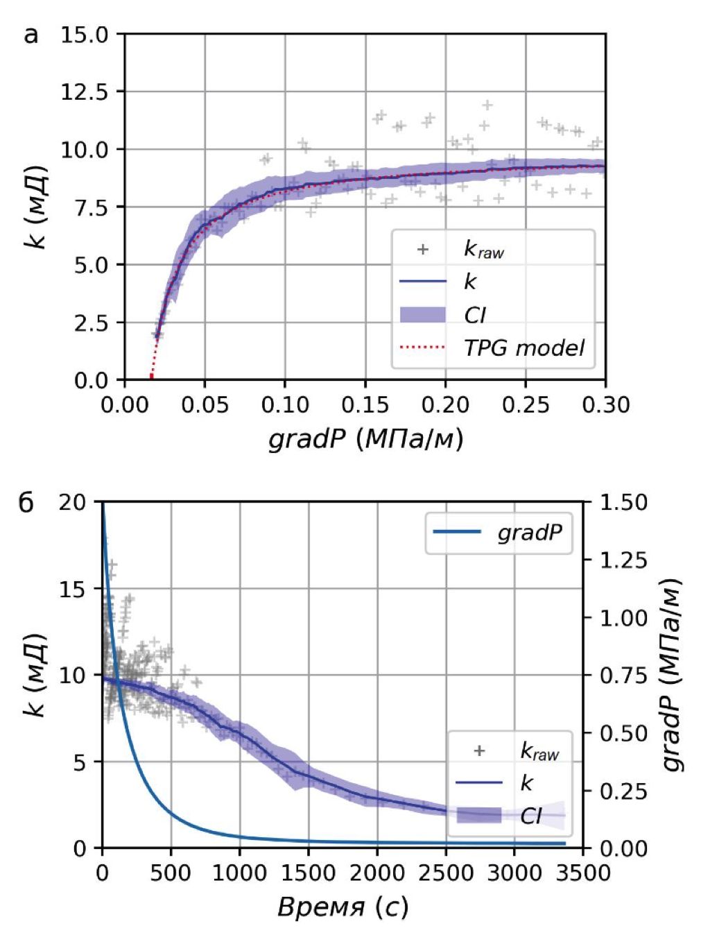
На рис. 3 представлен результат одного из опытов. На рис. 3, а показана экспериментальная зависимость эффективной проницаемости образца (образец № 2) от величины градиента порового давления . Объёмная доля газа в порах образца в данном опыте составляла sgas=0,03 (данная величина вычислялась как отношение объёма инжектированного пузырька к суммарному поровому объёму образца). Маркерами показаны «сырые» данные, полученные по методу центральной разности для вычисления производной массы жидкости на весах.
Рис. 3. Эффективная проницаемость образца № 2 в испытании на спаде давления, доля газа в порах sgas=0,03; a) зависимость эффективной проницаемости от градиента давления: kraw – «сырые» данные, полученные по методу центральной разности вычисления производной массы жидкости на весах; k – кривая, полученная с помощью регуляризации квадратичного отклонения; CI – оценка 95 % доверительного интервала для k; TPG – результат приближения модельной зависимостью ; б) те же кривые, отложенные от времени, сплошной линией показана зависимость градиента порового давления от времени
Fig. 3. Effective permeability of the sample no. 2 during the pressure decline test, gas fraction in the pores sgas=0.03; (a) dependence of effective permeability on pressure gradient: kraw – raw data calculated using the central difference method for the derivative of liquid mass on the scales; k – curve obtained using quadratic deviation regularization; CI – 95% confidence interval for k estimate; TPG – result of approximating with the model dependence (1); (б) the same curves plotted against time, the solid line indicates time dependence of pore pressure gradient
Сплошной линией и тоном показана та же кривая, полученная с помощью регуляризации квадратичного отклонения, а также оценка её 95 % доверительного интервала. Пунктирной линией показан результат приближения экспериментальных данных моделью порогового градиента . Градиент давления в точке пересечения данной кривой с осью абсцисс и является искомым пороговым градиентом G, асимптота кривых при градиенте давления, стремящемся к бесконечности, – величина абсолютной проницаемости k0. На рис. 3, б показано изменение тех же величин от времени в процессе спада давления. Сама зависимость градиента порового давления от времени показана сплошной линией.
Результаты и обсуждение
В ходе работы было испытано три идентичных искусственных образца и суммарно проведено около 70 опытов, по несколько опытов с каждым значением газонасыщенности. Результаты измерений представлены в табл. 2. На рис. 4 показано, как менялась зависимость эффективной проницаемости k образца № 2 от градиента порового давления gradP для различных величин газонасыщенности sgas. Пунктирными линиями обозначены модельные кривые вида . В качестве величины порогового градиента G для данной газонасыщенности взята точка пересечения соответствующей модельной кривой с осью абсцисс.
Рис. 4. Зависимость эффективной проницаемости k образца № 2 от градиента порового давления gradP для различных величин газонасыщенности sgas. Пунктирными линиями обозначены модельные кривые вида . В качестве величины порогового градиента G для данной газонасыщенности взята точка пересечения соответствующей модельной кривой с осью абсцисс
Fig. 4. Dependence of the effective permeability k of sample no. 2 on pore pressure gradient gradP for various gas saturations sgas. Dashed lines represent model curves of type (1). The point of intersection of the corresponding model curve with the abscissa axis is taken as the threshold pressure gradient value G for this gas saturation
На рис. 5 представлены экспериментальные значения пороговых градиентов и абсолютных проницаемостей в зависимости от доли порового объёма, занятого газом, для всех проделанных опытов (табл. 2). Можно видеть, что величина порогового градиента G линейно растёт с увеличением доли газа в порах. При этом абсолютная проницаемость от доли газа зависит слабо.
Рис. 5. Параметры модели порогового градиента для всех проделанных опытов: a) зависимость величины порогового градиента G от газонасыщенности sgas, сплошными линиями показаны средние значения для каждого образца; пунктирной линией отмечена величина гидростатического градиента; б) зависимость абсолютной проницаемости k0 от газонасыщенности sgas
Fig. 5. Model parameters of the threshold pressure gradient for all conducted experiments: a) the dependence of the threshold pressure gradient G magnitude on gas saturation sgas, solid lines represent the average values for each sample; the dashed line indicates the magnitude of the hydrostatic gradient; б) the dependence of absolute permeability k0 on gas saturation sgas
Таблица 2. Результаты опытов
Table 2. Experiment results
sgas | Образeц/Sample | |||||
1 | 2 | 3 | ||||
k0, мД/mD | G, МПа/м MPa/m | k0, мД/mD | G, МПа/м MPa/m | k0, мД/mD | G, Мпа/М MPa/m | |
0 | 12,99 | 3,87e-04 | 10,93 | 4,88e-04 | 11,63 | -7,42e-04 |
0,01 | 12,49 12,30 12,43 12,80 12,51 | 1,67e-03 8,02e-03 1,24e-02 1,65e-03 3,21e-03 | 10,86 10,74 10,53 10,58 10,57 | 2,98e-03 5,64e-03 1,13e-03 5,01e-03 4,97e-03 | 11,65 11,83 11,77 | 4,01e-03 7,15e-03 7,01e-03 |
0,015 | – | – | 10,54 10,60 10,40 10,33 10,41 10,37 | 6,17e-03 5,92e-03 9,50e-03 7,95e-03 8,29e-03 9,72e-03 | – | – |
0,02 | 12,64 12,37 12,56 12,93 12,56 | 9,73e-03 1,06e-02 2,34e-02 9,98e-03 7,88e-03 | 9,95 10,12 10,01 9,91 9,88 9,89 | 9,12e-03 7,73e-03 8,89e-03 7,29e-03 1,27e-02 1,15e-02 | 11,55 11,79 11,66 11,82 | 1,26e-02 1,11e-02 8,75e-03 1,23e-02 |
0,03 | 12,74 12,57 12,44 12,63 12,77 | 1,50e-02 1,93e-02 2,98e-02 1,29e-02 6,97e-03 | 9,81 9,81 9,74 9,80 9,80 | 1,30e-02 1,33e-02 1,46e-02 8,36e-03 1,67e-02 | 11,52 11,67 11,83 11,74 | 1,63e-02 1,57e-02 1,47e-02 1,61e-02 |
0,04 | 12,74 12,73 12,92 | 1,93e-02 1,47e-02 1,01e-02 | 9,75 9,68 9,71 9,77 | 1,84e-02 1,98e-02 2,12e-02 2,00e-02 | 11,51 11,72 11,71 11,86 | 2,19e-02 2,27e-02 2,42e-02 2,39e-02 |
0,05 | 12,79 12,98 | 1,60e-02 1,60e-02 | 9,49 9,66 9,59 9,41 9,57 | 1,15e-02 2,44e-02 2,54e-02 2,16e-02 2,52e-02 | 11,96 11,56 12,05 11,71 | 3,32e-02 4,33e-02 4,32e-02 4,05e-02 |
Наибольший интерес для анализа вызывает график зависимости порогового градиента от доли газа в порах (рис. 5, а). Уже при доле газа порядка 0,02 эта величина в опытах достигает 0,01 МПа/м, что соответствует гидростатическому градиенту давления в воде (пунктирная линия на графике). То есть изолированная область породы, содержащая свободный газ с такой концентрацией, может стать непроницаемой для дальнейшего транспорта жидкости или газа под действием силы Архимеда. Это может объяснить наличие «подвижных» и «неподвижных» газовых фронтов, описанных в работе [18], если предположить, что «неподвижные» фронты представляют собой изолированные области с остаточной газонасыщенностью. Подобную возможность необходимо учитывать при создании моделей транспорта пузырькового газа через толщу пород донных отложений. Кроме того, существование газонасыщенных зон с пороговыми градиентами может существенно повлиять на вид вертикального профиля порового давления и привести к переоценке глубины зоны стабильности газового гидрата. К сожалению, существующая экспериментальная методика не позволила исследовать указанную зависимость при существенно меньших концентрациях газа. Так что вопрос существования порогового градиента при доле газа порядка 10–3, что соответствует представленной ранее оценке доли газовых каналов в донных породах, пока остаётся невыясненным.
Необходимо отметить ряд возможных источников ошибок в проделанных опытах. Величина sgas формально вычислялась как отношение объёма газового пузырька к известному суммарному поровому объёму образца. Однако распределение газа по объёму образца вряд ли можно считать однородным. Можно предположить, что газ в образце концентрируется в виде струй вблизи путей проводимости, поэтому реальная концентрация газа, приводящая к «закупорке» порового пространства, значительно выше. Ещё одним возможным источником неверной оценки доли газа в порах может быть его растворение, а также то, что часть газа в процессе проведения испытания может пройти образец «насквозь» либо остаться в трубке перед образцом. К сожалению, в текущей постановке опытов невозможно контролировать вхождение пузырька газа в поры. Мы можем только прокачать достаточное, по нашим расчетам, количество жидкости для этого. Наличие газа в вертикальных участках трубки, до или после образца, также может привести к ошибке в измерении величины порогового градиента. Как упоминалось в разделе с описанием методики, в конце каждого опыта измерялась поправка к показаниям датчика порового давления на величину гидростатического перепада между ним и свободной поверхностью жидкости на весах на выходе установки. Если в этот момент на каком-то участке трубки присутствует столб газа, то величина гидростатического перепада давления измеряется с ошибкой, равной давлению соответствующего столба жидкости. Это могло приводить к ошибке измерения гидростатической поправки к давлению, сопоставимой с полученной величиной порогового градиента. Данная проблема, к сожалению, также не может быть решена в текущей постановке опытов. В будущей работе мы планируем проводить измерения на оптически прозрачных моделях, в которых подобные вопросы могут быть исключены.
Выводы
Целью настоящей работы было в рамках задачи о транспорте газа в донных отложениях количественно исследовать влияние свободного и связанного газа в порах на нелинейность фильтрационных течений. В результате испытаний были получены кривые зависимости величины порогового градиента от газонасыщенности для нескольких образцов. Установлено, что пороговый градиент линейно растёт с увеличением доли газа в поровом пространстве. Уже при доле газа порядка 0,02 эта величина в опытах достигает 0,01 МПа/м, что соответствует гидростатическому градиенту давления в воде. Это может говорить о том, что области среды даже с небольшой газонасыщенностью могут быть непроницаемыми для конвективных потоков флюида. Эту возможность необходимо учитывать при создании моделей транспорта пузырькового газа через толщу пород донных отложений. Существование газонасыщенных зон с пороговыми градиентами может существенно повлиять на вид вертикального профиля порового давления и привести к переоценке глубины зоны стабильности газового гидрата. Полученные результаты (экспериментальная методика, оценки) могут быть также использованы в ряде задач, не связанных с процессами в донных отложениях: например, при изучении флюидодинамических процессов в слабонапорных водных горизонтах либо в газонасыщенных приповерхностных слоях почвы.
Об авторах
Николай Александрович Барышников
Институт динамики геосфер имени академика М.А. Садовского Российской академии наук
Автор, ответственный за переписку.
Email: baryshnikov.na@idg.ras.ru
ORCID iD: 0000-0002-5447-280X
кандидат физико-математических наук, ведущий научный сотрудник лаборатории геомеханики и флюидодинамики
Россия, 119334, Москва, Ленинский пр., 38, корп. 1Пётр Евгеньевич Зенченко
Институт динамики геосфер имени академика М.А. Садовского Российской академии наук
Email: zenchenko.pe@idg.ras.ru
ORCID iD: 0000-0003-4217-4757
научный сотрудник лаборатории геомеханики и флюидодинамики
Россия, 119334, Москва, Ленинский пр., 38, корп. 1Сергей Борисович Турунтаев
Институт динамики геосфер имени академика М.А. Садовского Российской академии наук
Email: stur@idg.ras.ru
ORCID iD: 0000-0002-1058-296X
доктор физико-математических наук, директор
Россия, 119334, Москва, Ленинский пр., 38, корп. 1Список литературы
- Milkov A.V. Global estimates of hydrate-bound gas in marine sediments: how much is really out there? // Earth-Science Reviews. – 2004. – Vol. 66. – № 3–4. – P. 183–197.
- Shakhova N., Semiletov I., Chuvilin E. Understanding the permafrost–hydrate system and associated methane releases in the East Siberian Arctic Shelf // Geosciences. – 2019. – Vol. 9. – № 6 (251). – P. 1–23.
- Permafrost and gas hydrate stability zone of the glacial part of the east-siberian shelf / A. Gavrilov, V. Malakhova, E. Pizhankova, A. Popova // Geosciences. – 2020. – Vol. 10. – № 12 (484). – P. 1–23.
- Conceptual models of gas accumulation in the shallow permafrost of Northern West Siberia and conditions for explosive gas emissions / E. Chuvilin, N. Sokolova, D. Davletshina, B. Bukhanov, J. Stanilovskaya, C. Badetz, M. Spasennykh // Geosciences. – 2020. – Vol. 10. – № 5 (195). – P. 1–13.
- Boudreau B.P. The physics of bubbles in surficial, soft, cohesive sediments // Marine and Petroleum Geology. – 2012. – Vol. 38. – № 1. – P. 1–18.
- Liu H., Zhan L., Lu H. Mechanisms for upward migration of methane in marine sediments // Frontiers in Marine Science. – 2022. – Vol. 9. – P. 1–20.
- Iversen N., Jørgensen B.B. Diffusion coefficients of sulfate and methane in marine sediments: Influence of porosity // Geochimica et Cosmochimica Acta. – 1993. – Vol. 57. – № 3. – P. 571–578.
- Luff R., Wallmann K. Fluid flow, methane fluxes, carbonate precipitation and biogeochemical turnover in gas hydrate-bearing sediments at Hydrate Ridge, Cascadia Margin: numerical modeling and mass balances // Geochimica et Cosmochimica Acta. – 2003. – Vol. 67. – № 18. – P. 3403–3421.
- Xu W., Ruppel C. Predicting the occurrence, distribution, and evolution of methane gas hydrate in porous marine sediments // Journal of Geophysical Research: Solid Earth. – 1999. – Vol. 104. – № B3. – P. 5081–5095.
- Mechanisms of methane hydrate formation in geological systems / K. You, P.B. Flemings, A. Malinverno, T.S. Collett, K. Darnell // Reviews of Geophysics. – 2019. – Vol. 57. – № 4. – P. 1146–1196.
- Max M.D. Natural gas hydrate in oceanic and permafrost environments. – Dordrecht: Springer, 2003. – 415 p.
- Gas Bubble Migration and Trapping in Porous Media: Pore‐Scale Simulation / N. Mahabadi, X. Zheng, T.S. Yun, L. van Paassen, J. Jang // Journal of Geophysical Research: Solid Earth. – 2018. – Vol. 123. – № 2. – P. 1060–1071.
- Влияние гидратообразования на изменение газопроницаемости мерзлых песчаных пород / Е.М. Чувилин, С.И. Гребенкин, Д.А. Давлетшина, М.В. Жмаев // Криосфера Земли. – 2020. – Т. XXIV. – № 2. – С. 40–47.
- Chuvilin E., Zhmaev M., Grebenkin S. Gas permeability behavior in frozen sand controlled by formation and dissociation of pore gas hydrates // Geosciences. – 2022. – Vol. 12. – № 9 (321). – P. 1–14.
- Баренблатт Г.И., Ентов В.М., Рыжик В.М. Движение жидкостей и газов в природных пластах. – М.: Недра, 1984. – 211 c.
- The East Siberian Arctic Shelf: towards further assessment of permafrost-related methane fluxes and role of sea ice / N. Shakhova, I. Semiletov, V. Sergienko, L. Lobkovsky, V. Yusupov, A. Salyuk, A. Salomatin, D. Chernykh, D. Kosmach, G. Panteleev, D. Nicolsky, V. Samarkin, S. Joye, A. Charkin, O. Dudarev, A. Meluzov, O. Gustafsson // Philosophical Transactions of the Royal Society A: Mathematical, Physical and Engineering Sciences. – 2015. – Vol. 373. – № 2052. – P. 20140451.
- Ronen D., Berkowitz B., Magaritz M. The development and influence of gas bubbles in phreatic aquifers under natural flow conditions // Transport in Porous Media. – 1989. – Vol. 4. – № 3. – P. 295–306.
- Current rates and mechanisms of subsea permafrost degradation in the East Siberian Arctic Shelf / N. Shakhova, I. Semiletov, O. Gustafsson, V. Sergienko, L. Lobkovsky, O. Dudarev, V. Tumskoy, M. Grigoriev, A. Mazurov, A. Salyuk, R. Ananiev, A. Koshurnikov, D. Kosmach, A. Charkin, N. Dmitrevsky, V. Karnaukh, A. Gunar, A. Meluzov, D. Chernykh // Nature Communications. – 2017. – Vol. 8. – № 15872. – P. 1–20.
- Analysis of Pre-Darcy flow for different liquids and gases / Z. Farmani, R. Azin, R. Fatehi, M. Escrochi // Journal of Petroleum Science and Engineering. – 2018. – Vol. 168. – P. 17–31.
- Prada A., Civan F. Modification of Darcy’s law for the threshold pressure gradient // Journal of Petroleum Science and Engineering. – 1999. – Vol. 22. – № 4. – P. 237–240.
- Baryshnikov N.A., Zenchenko E.V., Turuntayev S.B. Dependence of effective permeability on pore pressure gradient at low flow rates in low-permeability limestone // Interpretation. – 2023. – Vol. 11. – № 1. – P. T1–T6.
- McPhee C., Reed J., Zubizarreta I. Core analysis: a best practice guide // Elsevier Science. – 2015. – Vol. 64. – 852 p.
- Chartrand R. Numerical differentiation of noisy, nonsmooth data // ISRN Applied Mathematics. – 2011. – Vol. 2011. – P. 1–11.
- Барышников Н.А., Зенченко Е.В., Турунтаев С.Б. Применение метода регуляризации квадратичного отклонения для анализа результатов лабораторных исследований нелинейных фильтрационных потоков // Динамические процессы в геосферах. – 2022. – Т. 14. – № 1. – С. 85–92.
Дополнительные файлы







