Toxicity of vapor-gas flows from technogenic substance
- Authors: Bortnikova S.B.1, Mytsik A.V.2, Edelev A.V.1, Khvachevskaya A.A.3
-
Affiliations:
- Trofimuk Institute of Petroleum Geology and Geophysics, Siberian Branch of the Russian Academy of Sciences
- Research Institute of Hygiene Rospotrebnadzor
- National Research Tomsk Polytechnic University
- Issue: Vol 335, No 4 (2024)
- Pages: 95-107
- Section: Articles
- URL: https://journals.rcsi.science/2500-1019/article/view/258838
- DOI: https://doi.org/10.18799/24131830/2024/4/4298
- ID: 258838
Cite item
Full Text
Abstract
Relevance. Vapor-gas flows from technogenic substances (storage wastes of the mining industry), carrying a high amount of potentially toxic elements, are a big problem for the environment and the population, because metals and metalloids in the composition of emanations are in easily digestible bioavailable forms and are able to easily penetrate into living organisms. Aim. Assessment of toxicity for living organisms of air mixtures containing gaseous products emitted by a surfaces of mine tailings freely located near settlements and under the influence of climatic factors and microorganisms. Objects. Arsenide waste material from the Tuvacobalt plant and steam-gas emanations from it. Methods. Experiments with white rats male Wistar, analysis of organs for the content of a wide range of elements by ICP-MS on a NexION 300D mass spectrometer (PerkinElmer, USA) (Problem-based research laboratory of hydrogeochemistry "Water" of the School of Natural Resources Engineering of Tomsk Polytechnic University). In the experiment, a pooled sample of the waste substance was used. The sample was analyzed for the content of oxides of the silicate group by XRF using an X-ray fluorescence spectrometer ARL-9900-XP (Thermo Electron Corporation, Switzerland) at the Laboratory of X-ray Spectral Analysis Methods of the IGM SB RAS; elemental analysis was carried out by ICP-MS using an ELAN-9000 DRC-e instrument Perkin Elmer, USA (HAC Plasma). Results. Under the influence of vapor-gas emanations from the substance of arsenide tailings of the Tuvacobalt plant on a group of rats male Wistar, pathological changes occurred in the experimental group. Small foci of hemorrhages formed in the lungs, the tissues became edematous and inflamed. The liver of all animals increased, the share structure became sharply expressed, the color became light beige. Single hemorrhages were found in the kidneys. The vessels of the meninges are dilated, petechial hemorrhages are observed. The synthetic function of cells and the stability of cellular and intracellular membranes were disrupted, first of all, the endothelium of blood vessels was affected, the physiological functioning of organs and tissues was disrupted with the accumulation of intermediate products of biochemical reactions, determined macroscopically. Also, dystrophy of internal organs was determined, in particular, the liver, lungs, kidneys, and brain. Elemental analysis of animal organs showed the accumulation of toxic elements in comparison with the control group. The most characteristic elements, the excess of which was recorded in most cases, are mercury and arsenic. They were unevenly distributed throughout the organs. Mercury was accumulated mainly in the lungs, kidneys and liver, while arsenic was accumulated mainly in the liver and brain. This may indicate the entry of mercury and arsenic ions in a biologically available form into the bloodstream by inhalation, and local irritating and toxic effects on the lungs were not prevailing, and the liver was the most damaged organ according to the results of toxicochemical and morphological studies. The homeostasis of micro- and macroelements is finely regulated, and any concentration imbalance in the form of a deficiency leads to a progressive decrease and disruption of normal biological function, to severe physiological and clinical outcomes, which we observed from the results of the experiment. The data obtained proved the acute toxic effect of vapor-gas flows on living organisms, and also confirmed the possibility of the removal of many chemical elements in easily accessible and assimilable forms.
Full Text
Введение
Отходы горнодобывающей и металлургической промышленности, содержащие высокие количества металлов и металлоидов, оказывают серьезное негативное воздействие на окружающую среду, биоту и человека [1–4]. Большое внимание исследователей направлено на изучение шахтных вод и дренажных потоков вследствие высоких концентраций токсичных элементов [5, 6] и влияния на природные воды, почвы, растительность и население [7, 8].
Загрязнение воздуха – это не современное понятие, оно существовало на протяжении многих веков. В мире широко изучаются проблемы воздействия загрязнения атмосферного воздуха на здоровье людей. Известно, что оно является причиной смерти более 2 млн человек каждый год [9]. Исследователи подсчитали, что ежегодный материальный ущерб, связанный с воздействием одних только взвешенных частиц на здоровье людей (совокупно по смертности и заболеваемости), в 1990-х – начале 2000-х гг. имел следующие показатели: 3,6 млрд долл. в Австрии, 24,3 млрд долл. во Франции, 3 млрд долл. в Швеции, 21,2 млрд долл. в Великобритании. В США ущерб от воздействия атмосферных взвесей составил 40–50 млрд долл. в год, а Китае – 61 млрд долл. [10, 11].
Металлургическая и горная промышленность является одним из крупнейших источников загрязнения атмосферного воздуха [12–16]. Сети метеорологических станций наблюдения могут использоваться для мониторинга метеорологических параметров и определения воздействия загрязнителей воздуха на компоненты окружающей среды. Для изучения антропогенного воздействия на окружающую среду используются различные косвенные показатели, такие как изменение химического состава почв [17–20], снежного покрова [21–25], а также растения-индикаторы [26–30]. В дополнение к биоиндикаторным исследованиям в городах для оценки воздействия загрязнения широко используются методы активного биомониторинга и оценки накопления загрязняющих веществ в мхах и лишайниках [31–35]. В частности, оценки качества мха стандартизированы и рекомендованы для исследования загрязнения атмосферы [33, 36].
Техногенные выбросы металлов в виде аэрозолей поступают в атмосферу и переносятся на огромные расстояния, провоцируя тем самым глобальное загрязнение.
Серьезной экологической проблемой является поступление многих химических элементов в составе парогазовых потоков от техногенных тел (складированных отходов обогащения горнорудной промышленности) [37, 38]. При этом показано, что при эмиссии от техногенных тел химические элементы способны переноситься в истинном газовом потоке либо в виде нано-размерных частиц <3 нм [39], что означает их высокую биодоступность. Не все металлы в любом количестве являются токсичными. Некоторые тяжелые металлы важны в качестве микроэлементов во внутриклеточных биохимических реакциях. Необходимым считают такой химический элемент, при недостатке которого в организме человека возникают функциональные нарушения (гипомикроэлементозы), такие как болезнь Менкеса (дефицит меди) [40], врожденные пороки развития по причине дефицита цинка [41], диабет в связи с дефицитом марганца [42] и др. Ионы некоторых металлов служат терапевтическими агентами. Карбоксилаты цинка, например, используются против бактерий, вызывающих заболевание «ноги атлета», а лития – при лечении маниакальной депрессии [43]. Однако при накоплении тяжелых металлов в организме токсические эффекты многих из них вызывают серьезную озабоченность.
Некоторые опасные вещества явно не обнаруживаются, но многочисленные жалобы на изменения органолептических свойств воздуха и увеличение удельной доли определенных заболеваний на территориях, примыкающих к крупным обогатительным предприятиям, позволяют предположить неблагоприятное влияние пока неустановленных, вновь образованных соединений, в том числе различных металлов и металлоидов, перемещающихся с воздушными массами из зон складирования промышленных отходов в места нахождения людей [44]. На сегодня отсутствуют исчерпывающие знания о трансформации потенциально опасных веществ и соединений в экологической системе. Это приводит порой к серьёзным последствиям: кажущиеся безопасными продукты человеческой деятельности в биогеоценозе могут стать токсикантами.
Цель данной работы состояла в оценке токсичности для живых организмов воздушных смесей, содержащих газообразные продукты, выделяемые техногенным веществом, свободно расположенным вблизи населенных пунктов и находящимся под воздействием климатических факторов и микроорганизмов.
Материалы и методы
Для экспериментов было выбрано вещество арсенидных отходов комбината Тувакобальт. Основанием для проведения экспериментов именно с этими отходами служили полученные ранее результаты по составу конденсатов парогазовых потоков от поверхности карт захоронения, в которых были определены многие элементы в летучей форме [45].
Характеристика вещества для экспериментов
Пробы для экспериментов были отобраны на картах №№ 4 и 5 хранилищ отходов комбината Тувакобальт. Расположение карт захоронения и состав отходов в них показаны ранее [45]. Собранные пробы были объединены и тщательно перемешаны. Из полученной смеси методом квартования отобраны навески для анализов и экспериментов. Оксиды силикатной группы определены методом РФА на рентгенофлуоресцентном спектрометре ARL-9900-XP (Thermo Electron Corporation) в лаборатории рентгеноспектральных методов анализа ИГМ СО РАН, элементный анализ проводился методом ИСП-МС на приборе ELAN-9000 DRC-e, Perkin Elmer, USA (ХАЦ «Плазма»).
Для определения состава эманаций от экспериментального вещества были получены конденсаты парогазовой смеси, отделяющейся при небольшом нагревании. Навеска вещества пробы ~100 г была помещена в термостойкий стакан, накрытый воронкой, которая соединялась с барботером силиконовым шлангом. Воздушная смесь откачивалась обратным компрессором, присоединенным ко второму выходу барботера. Стакан с пробой нагревался до температуры 60 °С на термостатической плитке в течение 8–10 часов, и конденсат поступал в барботер. Концентрации основных ионов в конденсате определялись методом капиллярного электрофореза на приборе «Капель 105-M» (Люмэкс, Санкт-Петербург). На микроэлементный состав пробы анализировались методом масс-спектрометрии с индуктивно связанной плазмой на приборе Agilent 8800 (Agilent Technologies, США) в Проблемной научно-исследовательской лаборатории гидрогеохимии «Вода» Инженерной школы природных ресурсов Томского политехнического университета.
Постановка эксперимента
Эксперимент провели на белых крысах-самцах линии Wistar общей массой 250–280 г. Животных содержали в условиях лабораторного вивария по 10 особей в полипропиленовых клетках, накрытых сверху высокой металлической решёткой, не менее двух недель до начала экспериментов на стандартной диете, при свободном доступе к воде и нормальном световом режиме. На каждое животное приходилось 270 см2 площади клетки. Эксперимент проводился соответственно правилам, принятым на Европейской конвенции по защите позвоночных животных, используемых для экспериментальных и иных научных целей [46], правилам лабораторной практики [47]. В эксперименте задействовано 20 лабораторных животных, две группы по 10 особей, контрольная и опытная.
Экспериментальных животных помещали в стандартные 200-литровые затравочные камеры, которые дважды сообщались между собой с помощью химических силиконовых трубок для постоянной диффузии пара, во время ингаляционной затравки использовали насос «Кип-Консалт» (рис. 1).
Рис. 1. Схема эксперимента
Fig. 1. Setup of the experiment
За час до исследования в первую камеру помещали пробу вещества массой 1500 г в лабораторной фарфоровой емкости, установленной на электропечь. В пробу добавляли дистиллированную воду в количестве 100–150 мл для испарения. Для нагрева вещества использовали лабораторную электропечь с контролируемым датчиком температуры. Температуру поверхности электропечи выставляли на 120 °С для постоянного нагрева образца до 50 °С по всему объему до получения устойчивой концентрации пара в первой камере. Мониторинг нагрева вещества выполняли с помощью ртутного градусника ТЛ-2.
После этого во вторую камеру помещали лабораторных животных и экспонировали в течение 4 часов с 10:00 до 14:00. Во время затравки в камерах каждые полчаса снимали показатели (табл. 1):
В первой камере – температуру нагревающейся поверхности электроплитки (°С), температуру нагревающегося грунта (°С), влажности φ, %.
Во второй камере – температуру воздуха (°С) и влажности φ (%).
После трехдневной ингаляции опытную группу лабораторных животных выводили методом усыпления диэтиловым эфиром и последующей цервикальной дислокацией. Осуществляли вскрытие и проводили осмотр внутренних органов сразу после забоя. После вскрытия изымались мозг, печень, легкие, почки для диагностики содержания тяжелых металлов и металлоидов в тканях. На четвертые сутки контрольную группу выводили, осуществляли вскрытие, проводили осмотр и изымали органы так же, как и в опытной группе.
Таблица 1. Условия эксперимента по определению токсичности паров от вещества Хову-Аксинских хранилищ
Table 1. Conditions of the experiment to determine the toxicity of vapors from the Khovu-Aksu tailings
Опытная группа/Experimental group | Контрольная группа/Control group | ||||||
Время Time | Температура/Temperature of, Т, °С | φ, % | Время Time | Т воздуха (air) °С | φ, % | ||
поверхности электроплитки electric stove surface | грунта ground | воздуха air | |||||
10:00 | 80 | Ниже 30 Below 30 | 26,2 | 73 | 10:00 | 26,2 | 83 |
10:30 | 82 | 27,8 | 87 | 10:30 | 26,2 | 85 | |
11:00 | 82 | 28,5 | 90 | 11:00 | 26,2 | 85 | |
11:30 | 82 | 38 | 28,8 | 91 | 11:30 | 26,3 | 87 |
12:00 | 82 | 42 | 28,8 | 91 | 12:00 | 26,4 | 91 |
12:30 | 82 | 46 | 28,9 | 92 | 12:30 | 26,4 | 91 |
13:00 | 82 | 47 | 28,9 | 95 | 13:00 | 26,4 | 92 |
13:30 | Отключили электроплитку/ Turned off the electric stove | 13:30 | 26,6 | 93 | |||
14:00 | Подача воздуха/Air supply | 14:00 | Подача воздуха/ Air supply | ||||
Добавили H₂O 100 мл/Added H₂O 100 ml | |||||||
10:00 | 120 | 59 | 25,8 | 67 | 10:00 | 26,0 | 78 |
10:30 | 120 | 68 | 27,9 | 99 | 10:30 | 26,0 | 79 |
11:00 | 120 | 69 | 27,9 | 99 | 11:00 | 26,1 | 80 |
11:30 | 120 | 70 | 28 | 99 | 11:30 | 26,1 | 81 |
12:00 | 120 | 72 | 28 | 99 | 12:00 | 26,2 | 82 |
12:30 | 119 | 74 | 28 | 99 | 12:30 | 26,3 | 81 |
13:00 | 119 | 72 | 28 | 99 | 13:00 | 26,4 | 85 |
13:30 | Отключили электроплитку/ Turned off the electric stove | 13:30 | 26,5 | 92 | |||
14:00 | Подача воздуха/Air supply | 14:00 | Подача воздуха/ Air supply | ||||
Перемешали грунт, добавили H₂O 150 мл Ground was mixed, H₂O 150 ml was added | |||||||
10:00 | 125 | 47 | 25 | 90 | 10:00 | 26,0 | 79 |
10:30 | 125 | 51 | 25,5 | 93 | 10:30 | 26,1 | 80 |
11:00 | 125 | 56 | 26,4 | 98 | 11:00 | 26,2 | 85 |
11:30 | 126 | 59 | 26,7 | 99 | 11:30 | 26,3 | 87 |
12:00 | 125 | 60 | 26,9 | 99 | 12:00 | 26,4 | 91 |
12:30 | 125 | 60 | 27 | 99 | 12:30 | 26,4 | 93 |
13:00 | 125 | 61 | 27 | 99 | 13:00 | 26,4 | 95 |
13:30 | Отключили электроплитку/Turned off the electric stove | 13:30 | 26,6 | 97 | |||
14:00 | Подача воздуха/Air supply | 14:00 | Подача воздуха/Air supply | ||||
Органы животных (контрольной и опытной группы) были высушены в сушильном шкафу при Т 105 °С до постоянной массы и проанализированы методом ИСП МС на масс-спектрометре NexION 300D (PerkinElmer, США) с ячейкой устранения фона UCT в Проблемной научно-исследовательской лаборатории гидрогеохимии «Вода» Инженерной школы природных ресурсов Томского политехнического университета. Навеску пробы 0,4–0,5 г помещали в пластиковую пробирку объемом 50 см³, проверенную на чистоту. Далее проводилось мокрое озоление образца добавлением 2 см³особо чистой концентрированной азотной кислоты и 1 см³ перекиси водорода, последующее микроволновое разложение с использованием микроволновой системы со встроенными бесконтактными датчиками температуры и давления «Speedwave four» при температуро 190 °С в течение 15 минут. Полученная смесь доводилась до объема 50 см³3 % раствором азотной кислоты. Подготовка «холостой пробы» (blank) проводится аналогичным способом с использованием вместо пробы деионизованной воды. Контроль качества результатов анализа проводился с использованием мультиэлементных калибровочных образцов № 2–5 (PerkinElmer, США). Относительная погрешность определений составляет 15–30 % в зависимости от содержания элементов.
Результаты
Состав вещества и конденсата
Состав пробы, принятой для эксперимента, соответствует усредненному составу отходов комбината Тувакобальт, складированных в пяти картах захоронения и старых траншеях [45, 48] (табл. 2). В соответствии с составом руд месторождения Хову-Аксы, в отходах сохранились сравнительно высокие концентрации As, Co, Ni, Cu.
Состав парогазовых эманаций был оценен по составу собранного конденсата, являющегося ультрапресным слабощелочным раствором (рН=8,00), в соответствии с классификацией природных вод, сульфатно-гидрокарбонатного класса, кальций-натриевой группы (табл. 3). Летучие формы, отделяющиеся от вещества отходов с парогазовыми потоками, образуют многие элементы, ведущие из которых – катионы (Ca²⁺, Mg²⁺, Na+, K+) и цинк, концентрации которого (0,74 мг/л) сопоставимы с содержанием катионов (табл. 3). Mn, Cu, Ni, As и Ba определены в конденсатах в меньшем количестве. Основной анион – гидрокарбонат (4,1 мг/л), сульфат составляет меньшую концентрации – 2,4 мг/л. При этом в анионном составе заметную роль играют органические лиганды – оксалат и формиат (0,27 и 1,2 мг/л, соответственно), что указывает на участие микробиоты в процессе трансформации вещества и формировании подвижных форм элементов, а также их перенос в виде металл-органических комплексов [37, 38].
Таблица 2. Состав вещества Хову-Аксинских отходов для эксперимента по определению токсичности парогазовых потоков: SiO₂ – LOI в %, Cr – Hg в г/т
Table 2. Composition of the Khovu-Aksu tailings for the experiment to determine the toxicity of vapor-gas flows: SiO₂ – LOI in %, Cr – Hg in ppm
Компонент Component | Содержание Content | Элемент Element | Содержание Content |
SiO₂ | 30,34 | Cr | 83 |
TiO₂ | 0,30 | Co | 1500 |
Al₂O₃ | 7,95 | Ni | 1500 |
Fe₂O₃ | 7,28 | Cu | 670 |
MnO | 0,25 | Zn | 270 |
MgO | 5,67 | Pb | 41 |
CaO | 15,80 | Cd | 1,1 |
Na₂O | 0,84 | Ag | 7,6 |
K₂O | 1,45 | Sb | 100 |
P₂O₅ | 0,22 | Se | 7,5 |
BaO | 0,03 | Mo | 3,2 |
Stot | 0,20 | Rb | 26 |
As | 2,37 | Sr | 110 |
LOI | 16,6 | Hg | 2,0 |
Таблица 3. Состав конденсата объединенной экспериментальной пробы отходов: SO₄²⁻ – K в мг/л, Fe – Sr в мкг/л
Table 3. Condensate composition of the experimental tailings sample: SO₄²⁻ – K in mg/L, Fe – Sr in µg/L
Компонент Component | Концентрация Concentration | Элемент Element | Концентрация Concentration |
рН | 8,00 | Fe | 2,3 |
SO | 2,4 | Al | 9,0 |
Cl– | 0,91 | Mn | 40 |
NO₃⁻ | 0,48 | Cu | 50 |
C₂O₄⁻²(оксалат oxalate) | 0,27 | Zn | 740 |
HCOO–(формиат formate) | 1,2 | Pb | 0,27 |
НСО₃⁻ | 4,1 | Ni | 21 |
Ca²⁺ | 1,9 | Co | 4,6 |
Mg²⁺ | 0,30 | As | 23 |
Na+ | 0,96 | Ba | 45 |
K+ | 0,44 | Sr | 7,1 |
Отметим, что ртуть в конденсате оказалась в концентрациях ниже предела обнаружения. Однако при проведении ртутной съёмки в ходе полевых работ на поверхности карт №№ 4 и 5 обнаружены аномалии ртути в приземном слое атмосферы до 3000 нг/м3, что свидетельствует об активном эманировании её газовых форм от вещества отходов.
Морфологические изменения у экспериментальных животных
После окончания эксперимента и вскрытия животных при макроскопическом описании в группе КОНТРОЛЯ морфологических изменений не отмечалось.
В ОПЫТНОЙ группе у всех из 10 лабораторных животных обнаружились патологические изменения. В легких – мелкие очаги кровоизлияний, преимущественно в субплевральных отделах легких, ткани легких отечны, воспалены. Печень у всех животных увеличена, светло-бежевого цвета, резко выражено долевое строение. На разрезе светло-бежевого цвета, дряблой консистенции. Морфологически – признаки жировой дистрофии печени. В почках единичные кровоизлияния под капсулой и на разрезе. Ткани почек уплотнены, темного цвета, граница между корковым и мозговым веществом выражена нечетко. Сосуды мозговых оболочек расширены, в их толще наблюдаются петехиальные кровоизлияния размером около 0,5 мм.
Накопление элементов в тканях
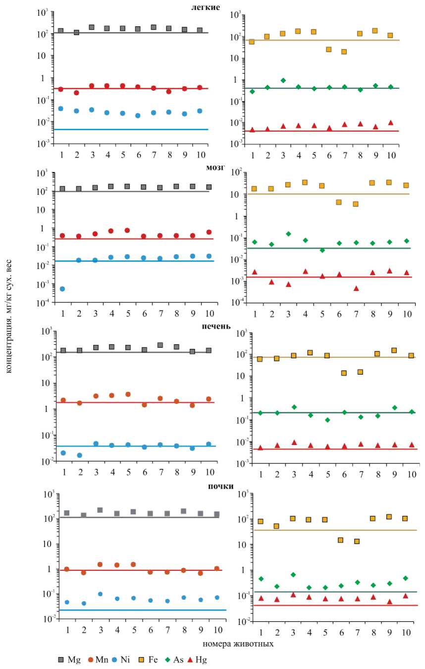
Элементный анализ органов животных показал накопление токсичных элементов по сравнению с контрольной группой (табл. 4, рис. 2). У большинства опытных животных произошло накопление (в среднем): Hg (в 1,7 раз), Ni (в 6,5 раз) и Fe (в 1,5 раз) в легких; Mg (в 1,6 раз), Mn (в 1,6 раз), Fe (в 2 раза), As (в 2 раза) в мозге; Mg (в 1,2 раза), Mn (в 1,2 раза), Hg (в 1,4 раза) в печени; Mg (в 1,3 раза), Ni (в 2,4 раза), Fe (в 2 раза), As (в 2,2 раза), Hg (в 1,6 раз), Pb (в 1,7 раз) в почках.
Таблица 4. Накопление и вынос элементов в органах белых крыс в эксперименте
Table 4. Accumulation and removal of elements in the organs of white rats in the experiment
Орган Organ | Повышенные по сравнению с контролем Elevated compared to control | Пониженные по сравнению с контролем Decreased compared to control |
Легкие Lungs | Mg (9), Hg (10), Ni (10), As (4), Fe (7) | Na (9), P (8), Si (8), K (8), Br (8), I (8) |
Мозг Brain | Mg (10), Mn (10), Fe (8), As (9), Hg (5) | Na (8), Si (8), P (8), S (8), K (8), Br (7) |
Печень Liver | Mg (6), Mn (5), Fe (6), As (2), Hg (9) | Na (9), Si (8), P (8), S (9), K (9), Ca (10), Br (10) |
Почки Kidneys | Mg (10), Mn (4), Fe (8), Ni (10), As (10), Hg (10), Pb (4) | Na (6), P (8), S (8), K (8), Ca (8) |
Примечание: в скобках показано количество животных, у которых обнаружено повышение/понижение концентраций элементов.
Note: the numbers in parentheses show the number of animals with increase/decrease in the concentrations of elements.
Рис. 2. Концентрации некоторых элементов в органах опытных животных по сравнению с контрольной группой. Линиями на графиках показан уровень концентраций в контроле
Fig. 2. Concentrations of some elements in the organs of experimental animals compared with the control group. The lines on the graphs show the level of concentrations in the control
Отметим, что у отдельных животных превышение концентраций в органах было существенно больше (рис. 2). Максимальное накопление никеля в легких почти на порядок превышало контроль, в почках – в 4 раза; мышьяка – более чем в 4 раза в мозге, легких и почках. Элементы неравномерно распределялись по органам. Ртуть главным образом накапливалась в легких, печени и в почках, мышьяк – в мозге и почках, никель – в легких и почках. У всех животных во всех органах отмечено превышение содержания магния. Наиболее уязвимым органом оказались почки, в которых шло наибольшее накопление элементов, а кроме отмеченных выше, свинца (в 1,7 раз выше контроля в среднем и в 7 раз – максимальные концентрации). При этом, вероятно, имела место не совсем равномерная экспозиция паров на разных животных. Например, во всех органах животных №№ 6 и 7 отмечается минимальная концентрация железа по выборке, а у животного № 3 – максимальное содержание мышьяка.
Видимо, сочетанное накопление различных металлов и мышьяка в органах животных произвело эффект взаимного усиления токсического действия, которое превысило компенсаторные возможности биологических систем и явилось причиной их острого поражения, проявившегося морфологически.
Одновременно с накоплением определенных элементов, характерных для парогазовых эманаций от вещества Хову-Аксинских отходов, происходило заметное обеднение некоторыми биогенными элементами (Na, P, K, S, Br, I), вынос которых, предположительно, осуществлялся за счет замещения токсичными тяжелыми металлами и мышьяком. В среднем биогенных элементов стало на 20–30 % меньше в органах опытных животных по сравнению с контролем.
Взаимодействие биологических объектов с металлами и металлоидами вызывает особый интерес, поскольку одни из них входят в состав живых организмов как макроэлементы, выполняя физиологическую роль (Cu, Zn, Se), а другие являются ксенобиотиками (Hg, Ag, As). Парогазовые эманации (а вместе с ними химические элементы в биодоступной форме), в отличие от пылевых фракций различной дисперсности, могут проникать в респираторные отделы легких, повреждая эпителий, обеспечивающий газообмен, и изменять состав крови со скоростью, сопоставимой с непосредственным парентеральным введением. Сочетание этих факторов резко повышает биологическую доступность и токсические эффекты, которые сложно предсказать при совместном воздействии переносимых газовыми потоками веществ. Запуск каскадов патологических реакций приводит к различным проявлениям нарушения функций клеток, органов и тканей тем более сложных, чем более многофакторно альтерирующее действие и состав токсических смесей [49].
В целом полученные результаты свидетельствуют об остром токсическом эффекте парогазовых эманаций от вещества отходов, высокой биодоступности летучих форм элементов, быстром проникании их в органы живых организмов и накоплении за счет биогенных компонентов. Проблема генерации и распространения в приземном слое атмосферы эманаций, выносящих легко усвояемые металлы и металлоиды, требует пристального внимания и дальнейшего изучения, т. к. эти процессы практически не исследованы, а масштабы неизвестны.
Заключение
При воздействии парогазовых эманаций от вещества арсенидных отходов комбината Тувакобальт на группу крыс-самцов линии Вистар в опытной группе произошли патологические изменения. В легких образовались мелкие очаги кровоизлияний, ткани стали отёчны и воспалены. Печень у всех животных увеличилась, стало резко выражено долевое строение, цвет стал светло-бежевым. В почках обнаружены единичные кровоизлияния. Сосуды мозговых оболочек расширены, наблюдаются петехиальные кровоизлияния.
Была нарушена синтетическая функция клеток и стабильность клеточных и внутриклеточных мембран, в первую очередь пострадал эндотелий кровеносных сосудов, было нарушено физиологическое функционирование органов и тканей с накоплением промежуточных продуктов биохимических реакций, определяемое макроскопически. Также определялась дистрофия внутренних органов, в частности печени, лёгких, почек, головного мозга.
Элементный анализ органов животных показал накопление токсичных элементов по сравнению с контрольной группой. Наиболее характерные элементы, превышение по которым зафиксировано в большинстве случаев, – это ртуть и мышьяк. Они неравномерно распределялись по органам. Ртуть главным образом накапливалась в легких, почках и печени, а мышьяк – преимущественно в печени и мозге. Это может свидетельствовать о попадании ионов ртути и мышьяка в биологически доступной форме в кровоток ингаляционным путём, причём локальное раздражающее и токсическое воздействие на легкие не было превалирующим, а наиболее повреждённым органом являлась печень по результатам токсикохимического и морфологического исследований.
Одновременно шло обеднение некоторыми биогенными элементами (Na, P, K, S, Br, I), вынос которых, предположительно, осуществлялся за счет замещения токсичными тяжелыми металлами и мышьяком.
Гомеостаз микро- и макроэлементов тонко отрегулирован, и любой концентрационный дисбаланс в виде дефицита приводит к прогрессирующему снижению и нарушению нормальной биологической функции, к тяжелым физиологическим и клиническим исходам, что мы и наблюдали по результатам опыта. Полученные данные доказали острое токсичное воздействие парогазовых потоков на живые организмы, а также подтвердили возможность выноса многих химических элементов в легкодоступной и усвояемой формах.
***
Благодарности: Работа выполнена в рамках проекта по государственному заданию Минобрнауки РФ Института нефтегазовой геологии и геофизики им. А.А. Трофимука Сибирского отделения Российской академии наук № 0266-2022-0028.
Acknowledgements: This research was funded by the Ministry of Education and Science of the Russian Federation, grant number FWZZ-2022-0028 of IPGG SB RAS (Trofimuk Institute of Petroleum Geology and Geophysics of Siberian Branch Russian Academy of Sciences).
About the authors
Svetlana B. Bortnikova
Trofimuk Institute of Petroleum Geology and Geophysics, Siberian Branch of the Russian Academy of Sciences
Author for correspondence.
Email: BortnikovaSB@ipgg.sbras.ru
ORCID iD: 0000-0003-2395-7406
Dr. Sc., Head of the Department
Russian Federation, 3, Koptyug avenue, Novosibirsk, 630090Alexey V. Mytsik
Research Institute of Hygiene Rospotrebnadzor
Email: telemedcare@mail.ru
ORCID iD: 0000-0003-1201-4699
Cand. Sc., Leading Researcher, Research Institute of Hygiene Rospotrebnadzor
Russian Federation, 7, Parkhomenko street, Novosibirsk, 630108Aleksey V. Edelev
Trofimuk Institute of Petroleum Geology and Geophysics, Siberian Branch of the Russian Academy of Sciences
Email: EdelevAV@ipgg.sbras.ru
Cand. Sc., Senior Researcher
Russian Federation, 3, Koptyug avenue, Novosibirsk, 630090Albina A. Khvachevskaya
National Research Tomsk Polytechnic University
Email: unpc_voda@mail.ru
Cand. Sc., Head of the Department
Russian Federation, 30, Lenin avenue, Tomsk, 634050References
- Helser J., Vassilieva E., Cappuyns V. Environmental and human health risk assessment of sulfidic mine waste: Bioaccessibility, leaching and mineralogy. Journal of Hazardous Materials, 2022, vol. 424, article 127313.
- Rahman Z., Singh V.P. The relative impact of toxic heavy metals (THMs) (arsenic (As), cadmium (Cd), chromium (Cr) (VI), mercury (Hg), and lead (Pb) on the total environment: an overview. Environmental Monitoring and Assessment, 2019, vol. 191, pp. 1–21.
- Covre W. P., Ramos S.J., Da Silveira Pereira W.V., De Souza E.S., Martins G.C., Teixeira O.M.M., Do Amarante C.B., Dias Y.N., Fernandes A.R. Impact of copper mining wastes in the Amazon: Properties and risks to environment and human health. Journal of Hazardous Materials, 2022, vol. 421, article 126688.
- Park J.H., Hodge V., Gerstenberger S., Stave K. Mobilization of toxic elements from an abandoned manganese mine in the arid metropolitan Las Vegas (NV, USA) area. Applied Sciences, 2014, vol. 4, pp. 240–254.
- Wang C., Liao F., Wang G., Qu S., Mao H., Bai Y. Hydrogeochemical evolution induced by long-term mining activities in a multi-aquifer system in the mining area. Science of The Total Environment, 2023, vol. 854, article 158806.
- Nordstrom D.K., Blowes D.W., Ptacek C.J. Hydrogeochemistry and microbiology of mine drainage: an update. Applied Geochemistry, 2015, vol. 57, pp. 3–16.
- Yurkevich N., Osipova P., Tsibizov L., Tsibizova E., Fadeeva I., Volynkin S., Tulisova K., Kuleshova T. Current state of the gold mining waste from the ores of the Ursk deposit (Western Siberia, Russia). Applied Sciences, 2022, vol. 12, article 10610.
- Yadrenkina E.N., Bortnikova S.B., Yurkevich N.V., Korneeva T.V., Shevko A.Y., Olenchenko V.V., Khvachevskaya A.A. Transfer and distribution of metals and metalloids in carassius auratus organs from tailings pond and their influence on morphological characteristics. Applied Sciences, 2022, vol. 12, article 12446.
- Remoundou K., Koundouri P. Environmental effects on public health: an economic perspective. International Journal of Environmental Research and Public Health, 2009, vol. 8, Iss. 6, pp. 2160–2178.
- Pearce D. Economic valuation and health damage from air pollution in the developing world. Energy Policy, 1996, vol. 7, Iss. 24, pp. 627–630.
- Rakhmanin Yu.A., Novikov S.M., Rumyantsev G.I. Methodological problems of assessment of threats of environmental factors to human health. Gigiena i sanitariya, 2003, no. 6, pp. 5–9. (In Russ.)
- Gregurek D., Melcher E., Pavlov V.A., Reimann C., Stumpfl E.F. Mineralogy and mineral chemistry of snow filter residues in the vicinity of the nickel-copper processing industry, Kola Peninsula, NW Russia. Mineralogy and Petrology, 1999, vol. 4, Iss. 65, pp. 87–111.
- Li G., Lei Y., Ge J., Wu S. The empirical relationship between mining industry development and environmental pollution in China. International Journal of Environmental Research and Public Health, 2017, vol. 14, Iss. 3, article 254.
- Opekunova M.G., Opekunov A.Ju., Papyan E.E., Somov V.V. Phytoindicational properties of the vegetation in landscape transformation studies on Sibay Chalcopyrite deposits (southern Urals). Contemporary Problems of Ecology, 2017, vol. 10, no. 3, pp. 301–314.
- Timofeev I.V., Kosheleva N.E. Geochemical disturbance of soil cover in the nonferrous mining centers of the Selenga River basin. Environmental Geochemistry and Health, 2017, vol. 39, pp. 803–819.
- Tost M., Bayer B., Hitch M., Lutter S., Moser P., Feiel S. Metal mining's environmental pressures: a review and updated estimates on CO2 emissions, water use, and land requirements. Sustainability, 2018, vol. 10, Iss. 8, article 2881.
- Carlon C. Derivation methods of soil screening values in Europe: A review and evaluation of national procedures towards harmonization. EUR 22805-EN. Ispra, Institute for Environment and Sustainability, Joint Research Centre, European Commission, 2007. 306 p.
- Weissenstein K., Sinkala T. Soil pollution with heavy metals in mine environments, impact areas of mine dumps particularly of gold- and copper mining industries in Southern Africa. Arid Ecosystems, 2011, vol. 1, pp. 53–58.
- Cruzado-Tafur E., Torró L., Bierla K., Szpunar J., Tauler E. Heavy metal contents in soils and native flora inventory at mining environmental liabilities in the Peruvian Andes. Journal of South American Earth Sciences, 2021, vol. 106, article 103107.
- Zhang J., Li H., Zhou Y., Dou L., Cai L., Mo L., You J. Bioavailability and soil-to-crop transfer of heavy metals in farmland soils: a case study in the Pearl River Delta, south China. Environmental Pollution, 2018, vol. 235, pp. 710–719.
- Callaghan T.V., Johansson M., Brown R.D., Groisman P.Ya, Labba N., Radionov V., Bradley R.S., Blangy S., Bulygina O.N., Christensen T.R., Colman J.E., Essery R.L.H., Forbes B.C., Forchhammer M.C., Golubev V.N., Honrath R.E., Juday G.P., Meshcherskaya A.V., Phoenix G.K., Pomeroy J., Rautio A., Robinson D.A., Schmidt N.M., Serreze M.C., Shevchenko V.P., Shiklomanov A.I., Shmakin A.B., Sköld P., Sturm M., Woo M., Wood E.F. Multiple effects of changes in Arctic snow cover. Ambio, 2011, vol. 40, pp. 32–45.
- Shevchenko V.P., Vorobyev S.N., Krickov I.V., Manasypov R.M., Politova N.V., Kopysov S.G., Dara O.M., Auda Y., Shirokova L.S., Kolesnichenko L.G., Zemtsov V.A., Kirpotin S.N., Steinnes E., Lukina N.V., Nikonov V.V., Aamlid D., Røyset O.A. Gradient study of 34 elements in the vicinity of a copper-nickel smelter in the Kola Peninsula. Environmental Monitoring and Assessment, 2000, vol. 60, Iss. 1, pp. 71–88.
- Shevchenko V.P., Vorobyev S.N., Kirpotin S.N., Krickov I.V., Manasypov R.M., Pokrovsky O.S., Politova N.V. Study of insoluble particles in the snow cover of Western Siberia on the profile from Tomsk to the Ob estuary. Atmospheric and ocean optics, 2015, vol. 28, no. 6, pp. 499–504. (In Russ.)
- Talovskaya A.V., Yazikov E.G., Osipova N.A., Lyapina E.E., Litay V.V., Metreveli G., Kim J. Mercury pollution in snow cover around thermal power plants in cities (Omsk, Kemerovo, Tomsk Regions, Russia). Geography, Environment, Sustainability, 2019, vol. 12, no. 4, pp. 132–147.
- Talovskaya A.V., Yazikov E.G., Filimonenko E.A. Assessment of atmospheric air pollution in urbanized areas of the Tomsk region according to the study of snow cover. Geoecology, engineering geology, hydrogeology, geocryology, 2014, no. 5, pp. 408–417. (In Russ.)
- Bargagli R. Trace elements in terrestrial plants: an ecophysiological approach to biomonitoring and biorecovery. Berlin, Heidelberg, Springer-Verlag, 1998. 344 p.
- Salminen R., Chekushin V., Tenhola M., Bogatyrev I., Glavatskikh S.P., Fedotova E., Gregorauskiene V., Kashulina G., Niskavaara H., Polischuok A., Rissanen K., Selenok L., Tomilina O., Zhdanova L. Geochemical Atlas of the Eastern Barents Region. Amsterdam, Elsevier B.V., 2004. 548 p.
- Pirintsos A.S., Loppi S. Biomonitoring atmospheric pollution the challenge of times in environmental policy on air quality. Environmental Pollution, 2008, vol. 151, pp. 269–271.
- Kabata-Pendias A. Trace Elements in Soils and Plants. Boca Raton, FL, USA, CRC Press/Taylor & Francis Group, 2010. 548 p.
- Reimann C., Fabian K., Flem B., Andersson M., Filzmoser P., Englmaier P. Geosphere-biosphere circulation of chemical elements in soil and plant systems from a 100 km transect from southern central Norway. Science of the Total Environment, 2018, vol. 639, pp. 129–145.
- Vasconcelos M.T.S.D., Tavares H.M.F. Atmospheric metal pollution (Cr, Cu, Fe, Mn, Ni, Pb and Zn) in Oporto city derived from results for low-volume aerosol samplers and for the moss Sphagnum auriculatum bioindicator. Science of the Total Environment, 1998, vol. 212, pp. 11–20.
- Salo H., Makinen J. Magnetic biomonitoring by moss bags for industry-derived air pollution in SW Finland. Atmospheric Environment, 2014, vol. 97, pp. 19–27.
- Capozzi F., Giordano S., Aboal J.R., Adao P., Bargagli R., Boquete T., Di Palma A., Real C., Reski R., Spagnuolo V., Steinbauer K., Tretiach M., Varela Z., Zechmeister H., Fernandez J.A. Best options for the exposure of traditional and innovative moss bags: a systematic evaluation in three European countries. Environmental Pollution, 2016, vol. 214, pp. 362–373.
- Capozzi F., Sorrentino M.C., Di Palma A., Mele F., Arena C., Adamo P., Spagnuolo V., Giordano S. Implication of vitality, seasonality and specific leaf area on PAH uptake in moss and lichen transplanted in bags. Ecological Indicators, 2020, vol. 108, article 105727.
- Morales-Casa V., Rebolledo J., Ginocchio R., Saéz-Navarrete C. The effect of “moss bag” shape in the air monitoring of metal(oid)s in semi-arid sites: influence of wind speed and moss porosity. Atmospheric Pollution Research, 2019, vol. 10, Iss. 6, pp. 1921–1930.
- Liang L., Xu Z., Qiu G., Wu P., Zhang R. Arsenic accumulation and speciation in epilithic moss collected from an abandoned mercury mining area, south-western China. Atmospheric Pollution Research, 2019, vol. 10, Iss. 2, pp. 455–461.
- Bortnikova S., Yurkevich N., Devyatova A., Saeva O., Shuvaeva O., Makas A., Troshkov M., Abrosimova N., Kirillov M., Korneeva T., Kremleva T., Fefilov N., Shigabaeva G. Mechanisms of low-temperature vapor-gas streams formation from sulfide mine waste. Science of the Total Environment, 2019, vol. 647, pp. 411–419.
- Bortnikova S.B., Yurkevich N.V., Gaskova O.L., Devyatova A.Y., Novikova I.I., Volynkin S.S., Mytsik A.V., Podolinnaya V.A. Element transfer by a vapor-gas stream from sulfide mine tailings: from field and laboratory evidence to thermodynamic modeling. Environmental Science and Pollution Research, 2021, vol. 28, Iss. 12, pp. 14927–14942.
- Bortnikova S.B., Yurkevich N.V., Volynkin S.S., Kozlov A.S., Makas A.L. Evidence of volatility metals and metalloids at environmental conditions. Applied Sciences, 2022, vol. 12, Iss. 19, article 9942.
- Mustafin R.N., Saifullina E.V., Murzabaeva S.Sh., Mardanova A.K., Khusnutdinova E.K. Hereditary metabolic diseases. Ufa, FSBEI HE BSMU Minzdrav Russia Publ., 2020. 89 p. (In Russ.)
- Salnikova E.V. Human need for zinc and its sources (review). Microelements in medicine, 2016, vol. 17, no. 4, pp. 11–15. (In Russ.)
- Agadzhanyan N.A., Veldanova M.V., Skalny A.V. Ecological portrait of a person and the role of trace elements. Moscow, КМК Publ., 2001. 236 p. (In Russ.)
- Suldina T.I. The content of heavy metals in food and their effect on the organism. Rational nutrition, nutritional supplements and biostimulants, 2016, no. 1, pp. 136–140. (In Russ.)
- Goel H., Goyal K., Pandey A.K., Benjamin M., Khan F., Pandey P., Mittan S., Iqbal D., Alsaweed M., Alturaiki W., Madkhali Y., Kamal M.A., Tanwar P., Upadhyay T.K. Elucidations of molecular mechanism and mechanistic effects of environmental toxicants in neurological disorders. CNS and Neurological Disorders Drug Targets, 2023, vol. 22, Iss. 1, pp. 84–97.
- Bortnikova S.B., Yurkevich N.V., Gaskova O.L., Volynkin S.S., Edelev A.V., Grakhova S.P., Kalnaya O.I., Khusainova A.Sh., Gora M.P., Khvachchevskaya A.A., Saeva O.P. Podolynnaya V.A., Kurovskaya V.V. Arsenic and metal quantities in abandoned arsenide tailings in dissolved, soluble, and volatile forms during 20 years of storage. Chemical Geology, 2021, vol. 586, Iss. 30, article 120623.
- European convention for the protection of vertebrate animals used for experimental or other scientific purposes. Strasburg, March, 18, 1986. 13 p. Available at: https://rm.coe.int/168007a6a8 (accessed: 15 June 2023).
- Order of Apri1, 2016 N 199n "On approval of the rules of good laboratory practice". Mosсow, Ministry of Health of the Russian Federation Publ., 2016. 7 p. (In Russ.)
- Bortnikova S., Bessonova E., Gaskova O. Geochemistry of arsenic and metals in stored tailings of a Co–Ni arsenide-ore, Khovu-Aksy area, Russia. Applied Geochemistry, 2012, vol. 27, Iss. 11, pp. 2238–2250.
- Andrade V.M., Aschner M., Marreilha Dos Santos A.P. Neurotoxicity of metal mixtures. Advances in Neurobiology, 2017, vol. 18, pp. 227–265.
Supplementary files




