Comparative analysis of swelling mitigation in marl and clay soils: natural plant fibers (Alfa, jute, sisal) vs. polypropylene fiber with lime-pozzolana cement utilizing proctor compaction
- Authors: Majid A.1, Baba K.1, Razzouk Y.1
-
Affiliations:
- Mohammed V University
- Issue: Vol 335, No 4 (2024)
- Pages: 52-63
- Section: Articles
- URL: https://journals.rcsi.science/2500-1019/article/view/258831
- DOI: https://doi.org/10.18799/24131830/2024/4/4410
- ID: 258831
Cite item
Full Text
Abstract
This study offers a comparative assessment of two methodologies for mitigating soil swelling in marl and clay soils. The methods under investigation include the use of natural plant fibers (Alfa, jute, sisal) and polypropylene fibers in combination with lime-pozzolana cement. Laboratory tests, including Proctor compaction tests, and swell potential assessments, were conducted to assess the effectiveness of each method. The findings reveal that both natural plant fibers and polypropy-lene fibers, when combined with lime-pozzolana cement, effectively reduce soil swelling. The study underscores the promise of eco-friendly natural plant fibers and the durability of polypropylene fibers as viable solutions for soil stabilization. Furthermore, incorporating lime-pozzolana cement enhances both methods performance, providing an additional layer of soil stability. This research contributes valuable insights to geotechnical engineering projects dealing with marl and clay soils. It aids in the selection of suitable soil stabilization techniques, considering project-specific needs and sustainability concerns. Ultimately, this study advances the field of geotechnical engineering by promoting environmentally conscious and resilient solutions to address soil swelling in clay and marl soils.
Full Text
Marl and clay soils, characterized by their fine particles, high plasticity, and sensitivity to moisture content, are integral components of geotechnical engineering projects globally. These soils, while prevalent, are notorious for their inherent susceptibility to volumetric changes, primarily swelling and shrinkage, in response to variations in moisture content. These soils remarkable plasticity is a testament to their versatility and a source of formidable challenges in civil engineering and construction [1–6]. The magnitude of these challenges cannot be overstated. Swelling and shrinkage in clay and marl soils pose substantial threats to the structural integrity and long-term stability of civil engineering structures and infrastructure. Foundation settlement, pavement distress, and building damage are but a few of the pernicious consequences associated with these soil behaviors. It is a complex interplay of geological factors, climatic conditions, and human activities that conspire to render these soils particularly challenging. As a result, the mitigation of swelling and shrinkage issues in clay and marl soils has remained a primary focus of geotechnical research and practice for decades. The imperative to find effective solutions to these challenges has driven the exploration of numerous soil stabilization techniques. Among these techniques, the incorporation of natural plant fibers into the soil matrix has emerged as a prominent avenue of investigation [2–5]. Natural plant fibers, such as Alfa (scientifically known as Medicago sativa), jute (Corchorus capsularis), and sisal (Agave sisalana), have garnered significant attention due to their ecological advantages. These fibers possess inherent qualities of biodegradability, renewability, and the potential to enhance soil properties through a myriad of mechanisms. Fiber reinforcement, improved water retention, and erosion control are among the benefits that these natural plant fibers offer [6, 7]. In parallel, the deployment of synthetic fibers, particularly polypropylene, has arisen as a compelling alternative [8, 9]. Polypropylene fibers have earned their place in the realm of geotechnical engineering for their durability, resistance to environmental degradation, and exceptional tensile strength. Their applications extend to crack reduction, improved load-bearing capacity, and enhanced resilience to cyclic loading, making them a formidable contender in the realm of soil stabilization [10–12]. Furthermore, the deployment of lime-pozzolana cement (LPC) as a soil stabilizer has displayed significant promise in ameliorating the swelling behavior of clayey and marly soils [13, 14]. LPC operates as a pozzolanic material and cementitious binder, engendering a transformation in soil characteristics. Reduced plasticity, enhanced compressive strength, and improved durability are among the effects of this treatment [2, 15]. This research article endeavors to proffer an exhaustive comparative analysis of these two distinct methodologies for swelling reduction in clay and marl soils. As a testament to our dedication, we embark on a comprehensive exploration of these methodologies, deploying a carefully designed array of laboratory tests and evaluations. Our rigorous approach encompasses Proctor compaction tests, California Bearing Ratio (CBR) tests, unconfined compressive strength tests, and exhaustive swell potential assessments. Our core objective is to furnish empirical evidence concerning the efficacy of natural plant fibers, polypropylene fibers, and LPC in soil stabilization. We aim to do justice to the complexities of soil behavior, considering the intricate interplay of soil properties, fiber types, proportions, and the dosages of LPC. Moreover, this research journey will probe deeper into the influence of varying fiber types, proportions, and the precise dosage of LPC on the geotechnical properties of clay and marl soils. It is our mission to illuminate the path for geotechnical engineers and practitioners, empowering them to navigate the nuanced terrain of soil stabilization techniques with informed decision-making. We recognize that the exigencies of each project are unique, influenced by project-specific requirements, sustainability considerations, and the distinctive geologic and hydrological characteristics of the soil. This research aspires to be a beacon in the realm of geotechnical engineering. Our comprehensive analysis will bridge the chasm between laboratory findings and real-world engineering applications, ushering in a new era of sustainable and resilient infrastructure development. We are committed to advancing the science of soil stabilization, paving the way for a greener and more resilient future in civil engineering and construction.
Experimental program
Sample collection and preparation
During the initial phase of our research, we meticulously procured soil samples from the Fez-Meknes region in Morocco [8]. These samples were acquired during the construction of a hospital in Tahla and a local road, identified during geotechnical surveys [3, 4]. A diverse array of experiments was subsequently conducted to elucidate the geotechnical properties of these two collected soil samples [8]. The clay and marl soils subjected to our study have been classified as exceptionally plastic A3 [8], in accordance with GTR 92 guidelines [16]. This classification is grounded in a comprehensive analysis that incorporates various correlations and the findings derived from soil identification tests, as meticulously documented in Table 1. It is worth noting that both samples exhibited a notable propensity for high to very high levels of soil swelling [17–21], particularly within the domains where marl and clay soils predominate. To guarantee an exhaustive representation of subsurface conditions, our sampling strategy involved the collection of samples at diverse depths. These soil specimens were vigilantly transported to our laboratory, carefully enclosed within hermetically sealed containers to safeguard against moisture fluctuations during transit.
Upon their arrival at the laboratory, our research team meticulously adhered to a rigorous and standardized protocol. This included subjecting the soil samples to a controlled air-drying process until they reached a consistent and stable weight. Following this crucial step, the samples underwent uniform crushing and meticulous sieving through a 2 mm mesh to meticulously eliminate coarse particles. Subsequently, the samples were subjected to thorough mixing, ensuring the attainment of sample homogeneity, thereby establishing a consistent foundation for our subsequent testing procedures.
Table 1. Characteristics of the soil samples [9]
Таблица 1. Характеристики образцов почвы [9]
Parameter Параметр | Clay soil Глинистая почва | Marl soil Мергелистая почва |
particle size analysis гранулометрический анализ %<0.08 mm %<2 mm %<20 mm |
93.7 98.7 100 |
95.5 99.7 100 |
Water content w (%) Содержание влаги w (%) | 16.6 | 19 |
Atterberg limits Пределы Аттерберга |
|
|
Liquid limit LL (%) Предел текучести LL (%) | 62 | 55 |
Plasticity index PI (%) Индекс пластичности PI (%) | 38 | 37 |
Classification Классификация | A3 | A3 |
Fiber selection and preparation
The selection and preparation of fibers were executed with meticulous attention to detail. Our research team meticulously sourced natural plant fibers (Alfa, jute, and sisal) from reputable suppliers, guaranteeing their quality and integrity, as meticulously documented in Table 2.
Table 2. Properties of Alfa, jute, and sisal fiber [8]
Таблица 2. Свойства альфы, джута и сизалевого волокна [8]
Properties Свойства | Alfa fiber Альфа-волокно | Jute fiber Джутовое волокно | Sisal fiber Сизалевое волокно |
Density (g/m3) Плотность (г/м3) | 1.3–1.4 | 1.3–1.4 | 1.4 |
Diameter (µm) Диаметр (мкм) | 5–22 | 15–35 | 10–20 |
Tensile strain (%) Деформация при растяжении (%) | 1.4–5 | 1.5–1.8 | 2–2.5 |
Tensile strength (Mpa) Прочность при растяжении (Мпа) | 173.4–1327 | 400–800 | 511–635 |
Young’s modulus (Gpa) Модуль Юнга (Гпа) | 18–58 | 10–30 | 9.4–22 |
Cellulose (%) Целлюлоза (%) | 38.8–47.6 | 67–71.5 | 67–78 |
Lignin (%) Лигнин (%) | 14.9–24 | 12–13 | 8–11 |
Microfibrillar angle Угол микрофибрилл | – | 8° | 11° |
Wax (%) Воск (%) | 1.5–5 | 0.5 | 2 |
Hemi-Cellulose (%) Геми-целлюлоза (%) | 22.1–38.5 | 13.6–20.4 | 10–14.2 |
References Ссылки | [27] |
These fibers underwent a stringent cleansing process to eliminate any potential contaminants. Subsequently, they were subjected to a comprehensive drying procedure to eliminate moisture content, thus facilitating precise measurements. Uniformity was maintained by meticulously cutting the fibers to standardized lengths. In the case of polypropylene fibers, we selected filament polypropylene (PP) fibers that were carefully extracted from sweepers and held well-documented specifications. These PP fibers utilized in our research exhibit a comprehensive range of physical, chemical, and mechanical properties, augmenting their suitability for a wide array of applications. With a specific gravity of 0.89, this PP fiber is notably lightweight, greatly facilitating its handling and application. Its remarkable tensile strength of 0.67 kN/mm² allows it to endure significant loads and stresses without succumbing to deformation, rendering it an exemplary choice for reinforcement applications. With Young's modulus of 4.00 kN/mm², this fiber showcases its ability to withstand substantial forces while retaining its structural integrity. Furthermore, its melting point range of 160–170°C ensures stability when exposed to elevated temperatures, making it a fitting choice for applications that demand heat resistance. This fiber high ignition point at 590°C underscores its resilience to ignition at lower temperatures, thus enhancing safety across various contexts. It boasts a bulk density of 910 kg/m³, a characteristic that greatly facilitates its easy handling and application. Furthermore, its loose density, ranging from 250–430 kg/m³, accommodates diverse requirements across various applications. It is offered in cut lengths of 10, 15, 20, and 25 mm, effectively catering to specific project needs. This PP fiber also demonstrates excellent dispersion characteristics, ensuring uniform distribution within materials such as concrete, thereby elevating their overall strength and durability. Additionally, it exhibits notable resistance to acids and salts, making it a dependable choice for applications exposed to corrosive substances. Moreover, its inherent chemical-proof nature guarantees enduring performance, particularly when faced with challenging and harsh environmental conditions. These fibers remained unaltered to preserve their original characteristics and to maintain consistency across our experiments, precise measurements of fiber proportions were meticulously executed, accounting for the dry weight of the soil samples. This thorough approach allowed us to prepare the fibers with the utmost precision in anticipation of subsequent testing procedures.
Soil stabilization methods
The essence of our experiment revolves around the exploration of soil stabilization methods. The approach was systematically organized into distinct phases. For the integration of natural plant fibers (Alfa, jute, and sisal) with soil samples, proportions were methodically varied, ranging from 1 to 18% by weight of dry soil. This systematic variation facilitated an investigation into the influence of different fiber concentrations on soil stabilization.
Simultaneously, in the context of polypropylene fiber stabilization, varying fiber content percentages, spanning from 0.1 to 1.8% by weight of dry soil, were introduced. This spanned a spectrum of concentrations, providing a comprehensive assessment of the impact of varying fiber levels on soil stability. In select samples, LPC was introduced in different dosages, ranging from 1 to 18% by weight of dry soil. This deliberate variation enabled a comprehensive exploration of the effects of this stabilizing agent on soil properties, contributing to a richer understanding of our study scope.
Laboratory testing
In our laboratory testing, we employed a systematic approach to examine soil-fiber-cement mixtures. The central method was the Proctor compaction test, conducted meticulously to determine maximum dry density and optimum moisture content. Sample preparation ensured representative materials, and data on weight, moisture content, and compaction were collected. Swelling behavior was assessed alongside data analysis to draw meaningful conclusions. All tests were repeated for reliability, contributing to a comprehensive investigation of these mixtures in our research.
Data analysis
To extract meaningful insights from our experiments, a rigorous data analysis process was employed. The methodical approach allowed us to discern the effectiveness of each soil stabilization technique under scrutiny. Visual representations, such as graphs and charts, were generated to offer a clear, concise visualization of the variations in soil properties corresponding to different fiber types, proportions and lengths.
Quality control
To maintain the integrity and reliability of our experimental data, strict quality control measures were diligently implemented. Our laboratory equipment was regularly calibrated to ensure precision and consistency in our measurements. Adherence to well-established testing standards, such as ASTM [24–28], was strictly followed throughout our experiments, upholding the highest standards of scientific rigor. These quality control practices reinforced the credibility of our findings and ensured the robustness of our conclusions.
Results and discussion
Exploring the impact of time on swelling potential
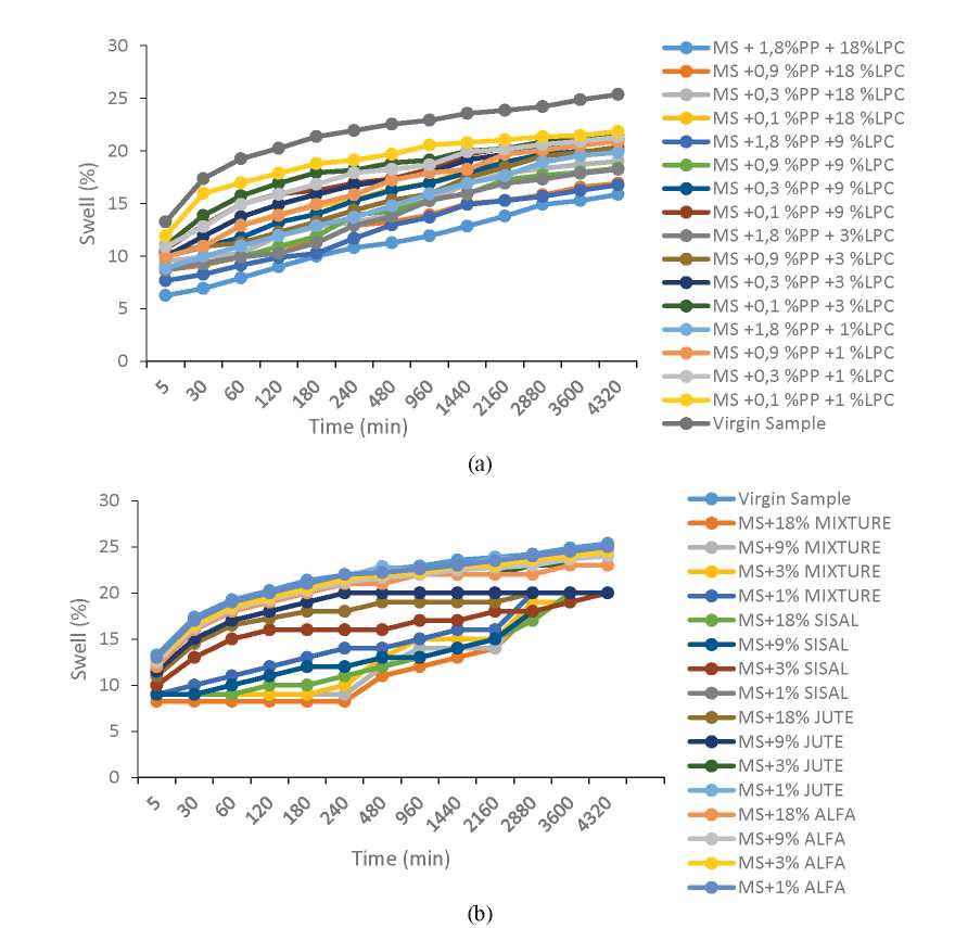
Exploring the relationship between time and percentage swelling in standard Proctor compaction tests on pristine clay and marl samples, which were reinforced with various materials including PP fiber, cement, and a range of plant fibers such as Alfa, jute, sisal, and a composite of these three, has yielded intriguing findings. The results indicate a gradual increase in swelling over time, with stabilization occurring after 4320 minutes.
PP fiber with LPC: in this study, it was observed that the combination of PP fiber with LPC was highly effective in reducing swelling in both clay and marl samples as presented in Fig. 1, 2. The key findings include:
- Higher percentage: when compared to plant fibers, the PP fiber with LPC mixture (1.8% PP+18% LPC) had a higher percentage reduction in swelling. This suggests that the synthetic PP fibers, when combined with the cementitious material, have a stronger impact on swelling reduction compared to plant fibers.
- Length effect: the study also revealed that increasing the length of PP fibers in the mixture further enhanced the reduction in swelling as seen in Fig. 3. This indicates that longer PP fibers (L=25mm) create a more effective reinforcement network within the soil, which is better at controlling swelling.
Plant fiber reinforcements (Alfa, jute, sisal): on the other hand, the use of plant fibers like Alpha, jute, and sisal in the clay and marl samples also led to reductions in swelling, but the effectiveness was lower compared to the PP fiber with LPC. Key observations for plant fibers include:
- Higher percentage: despite having higher percentages of plant fibers in the mixture (18%), their swelling reduction effect was not as significant as that of PP fiber with LPC. This implies that plant fibers alone may not provide as robust reinforcement against swelling.
- Length effect: similar to PP fibers, increasing the length of plant fibers (L=25 mm) also contributed to a reduction in swelling as represented in Fig. 3. However, even with longer fibers, the reduction was still less pronounced than with PP fiber and cement.
Fig. 1. Time-percent swelling correlation in standard Proctor compaction for clay soil reinforced with: (a) PP filament fiber and LPC; (b) plant fiber
Рис. 1. Соотношение времени и процента набухания при стандартном уплотнении глинистого грунта, армированного: (а) полипропиленовым волокном и известково-пуццолоновым цементом; (b) растительным волокном
Fig. 2. Time-percent swelling correlation in standard Proctor compaction for marl soil reinforced with: (a) PP filament fiber and LPC; (b) plant fiber
Рис. 2. Соотношение времени и процента набухания при стандартном уплотнении мергеля, армированного: (а) полипропиленовым волокном и известково-пуццолоновым цементом; (b) растительным волокном
Fig. 3. Swelling behavior as a function of fiber length (plant and PP fiber)
Рис. 3. Поведение при набухании в зависимости от длины волокна (растительное и полипропиленовое волокно)
The results of the study indicate that when it comes to reducing swelling in clay and marl samples, the combination of PP fiber with LPC was more effective than using plant fibers alone. Additionally, increasing the length of the reinforcing fibers, whether synthetic or plant-based, generally led to improved performance in reducing swelling. This information can be valuable in selecting the most effective materials and configurations for soil stabilization in construction and geotechnical engineering projects.
Numerous studies in geotechnical engineering have consistently demonstrated the substantial reduction of soil swelling with the incorporation of natural or synthetic fibers, and these reductions often correlate with increasing fiber content and length. For instance, diverse research [29–32] found that as the content of jute fibers increased in expansive clay soil, there was a proportional decrease in soil swelling. Similarly, various investigations [7, 33–36] reported a significant reduction in swelling behavior with the introduction of longer polypropylene fibers into clayey soils. These findings underscore the effectiveness of higher fiber content and longer fiber lengths in enhancing soil stability and mitigating the adverse effects of swelling.
Potential swell influence on swelling pressure across different soil types
Swelling pressure, a pivotal factor in soil mechanics, exhibits a direct correlation with the swelling potential of different soil types. When evaluating marl and clay soils, it becomes apparent that clay soil typically manifests higher swelling pressure and greater swelling potential in comparison to marl soil. This swelling propensity, however, can be significantly impacted by the inclusion of plant fiber additives.
As the content and length of plant fibers increase within the soil mixture, the swelling pressure in both marl and clay soils tends to diminish. This decline is attributed to the reinforcing qualities of plant fibers, which act as stabilizing agents, counteracting the expansive nature of these soils.
Moreover, the introduction of LPC into the soil composition yields noteworthy effects on swelling pressure. In reinforced marl soil, the swelling pressure surpasses that of clay soil, signifying the constructive influence of LPC in reducing swelling potential and enhancing soil integrity.
Fig. 4. Swell pressure vs. swell: comparative study with and without reinforcement, varied compaction energies: (a) clay soil, (b) marl soil
Рис. 4. Зависимость давления вспучивания от величины вспучивания: сравнительное исследование с армированием и без него при различных энергиях уплотнения: (а) глинистый грунт (b), мергелистый грунт
Notably, in soil blends incorporating PP fibers along with LPC, swelling pressure exhibits enhanced stability. This indicates that the combination of PP fibers and cement offers a more enduring and dependable solution for managing swelling pressure when compared to plant fibers alone.
Our research underscores the efficacy of PP in conjunction with LPC as a superior alternative to plant fiber additives for addressing soil-related challenges. Our study clearly demonstrates that the PP-cement blend has a more pronounced impact on reducing swelling pressure and improving soil stability compared to plant fiber reinforcement. These results align with a growing body of evidence supporting the strength and durability of PP fibers, which offer a robust, long-lasting reinforcement mechanism. Furthermore, the cohesive properties of LPC synergize with PP fibers, resulting in heightened soil stability. These findings emphasize the potential of PP combined with LPC as a preferred choice for engineering solutions aimed at mitigating swelling pressure and enhancing soil performance in various geotechnical applications.
Swelling pressure in soils is influenced by the inherent swelling potential of the soil type, the presence of PP fibers, and the addition of LPC. Understanding these dynamics is crucial for developing engineering solutions that effectively manage soil swelling and ensure the stability of construction projects.
Comparing our research findings with those of previous studies provides valuable insights into the broader context of our work. In contrast to some earlier research, our results reveal distinctive patterns in soil behavior under varying conditions. While some prior studies may have reported similar trends regarding swelling pressure and soil additives [36–45], our research extends this understanding by specifically focusing on marl and clay soils and their response to plant fibers [3, 4] and LPC with PP.
Furthermore, our findings highlight the unique dynamics of reinforced marl soil, which demonstrates higher swelling pressure compared to clay soil when treated with LPC. This diverges from certain earlier research that might have suggested different outcomes.
Overall, our research contributes to the evolving body of knowledge in soil mechanics and provides valuable data for engineering applications. By building upon and refining existing research, we strive to offer a more comprehensive and nuanced understanding of soil behavior, ultimately aiding in the development of more effective solutions for construction and geotechnical projects.
Exploring the influence of maximum dry density on potential swell in various soil types
The evolution of soil swells as a function of dry maximum density can be described as a distinctive convex curve, mirroring the characteristic shape of the Proctor curve [46]. In our comprehensive study, we observed a compelling trend wherein the sample reinforced with PP fibers exhibited significantly greater stability when compared to the sample reinforced with natural plant fibers, which, in its turn, was more stable than the unaltered virgin soil sample. This progression is in accordance with logical expectations, as the introduction of reinforcing fibers, regardless of their origin, tends to fortify the structural integrity of the soil. Furthermore, the type of soil played a pivotal role in shaping these findings. Remarkably, the clay soil, despite its innate expansiveness, displayed notably more stable results compared to the marl soil as presented in Fig. 5. This intriguing outcome underscores the considerable potential of soil improvement techniques, such as fiber reinforcement, in not only mitigating the detrimental effects of soil expansion but also in enhancing overall soil stability and performance in diverse geological contexts.
Fig. 5. Correlation between swell and maximum dry density across diverse sample types
Рис. 5. Корреляция между разбуханием и максимальной сухой плотностью в различных типах образцов
Our research findings are in line with several prior studies that have explored the relationship between soil swell and maximum dry density [47]. In particular, our observation that soil stability increases with the incorporation of reinforcing fibers aligns with established principles in geotechnical engineering. This consistency in results reinforces the effectiveness of fiber reinforcement techniques in enhancing soil stability, as demonstrated by both our study and others in the field. Furthermore, the intriguing aspect of our research lies in the comparative analysis of different fiber types. Our data supports the notion that PP fiber reinforcement outperforms natural plant fibers (Alfa, jute, sisal) in terms of stabilizing soil, a finding that is consistent with certain previous investigations. However, our study also introduces a novel dimension by highlighting the role of soil type. Despite the inherent expansiveness of clay soil in comparison to marl, our results show that clay soil can achieve superior stability when subjected to similar fiber reinforcement techniques. This insight contributes valuable information to the existing body of knowledge in geotechnical engineering, emphasizing the importance of considering soil type as a critical factor in soil improvement strategies.
Effect of compaction energy on the evolution of swell and swelling pressure in expansive soil behavior
The observed increase in both swell and swelling pressure with rising compaction energy can be attributed to the inherent expansiveness of the soil under investigation. Expansive soils tend to exhibit greater volume changes in response to changes in moisture content, and this behavior is often exacerbated with increased compaction energy. As compaction energy rises, the soil particles are subjected to higher levels of compaction and densification. Paradoxically, this densification can lead to increased swell and swelling pressure in expansive soils due to reduced void space for water to occupy. In essence, while compaction energy aims to reduce soil voids, it can also lead to more significant internal pressures and subsequent soil expansion. This phenomenon underscores the complex interplay between soil properties, moisture content, and compaction efforts in the behavior of expansive soils, a critical consideration in geotechnical engineering and construction projects.
The effect of compaction energy on the evolution of swell and swelling pressure in our study remained consistently aligned with established principles, regardless of the presence of reinforcement materials such as plant fibers and PP combined with LPC. In both the clay and marl soil samples, we observed a systematic reduction in swell and swelling pressure as compaction energy increased. This reduction was particularly noteworthy in the reinforced samples, where the additional incorporation of plant fibers or the PP+LPC mixture contributed to even greater stability as seen in Fig. 6. These results echo the well-documented influence of compaction energy on soil density and the consequent mitigation of soil expansion. Importantly, our study underscores the beneficial role of reinforcement materials in further enhancing soil stability, demonstrating their compatibility with the fundamental principles governing soil behavior.
Fig. 6. Effect of compaction energy on swell characteristics in expansive soils samples: (a) swell (%); (b) swelling pressure
Рис. 6. Влияние энергии уплотнения на характеристики набухания образцов экспансивных грунтов: (а) набухание (%); (b) давление набухания
Our research results, which show an increase in both swell and swelling pressure with rising compaction energy in expansive soils, align with several prior scientific studies that have investigated the behavior of expansive soils under compaction. These findings are consistent with established principles in geotechnical engineering and soil mechanics. Another study [47] has reported similar trends, emphasizing that the densification of expansive soils through higher compaction energy often leads to increased internal pressures and, consequently, greater soil expansion. Moreover, the relationship between compaction energy and soil behavior in expansive soils has been a subject of interest in geotechnical research for several decades. Studies have explored various factors influencing this relationship, such as soil composition, moisture content, and the type of compaction equipment used. Our results bolster the existing body of knowledge by reaffirming the importance of understanding and managing soil expansion in expansive soil environments. While the increase in swell and swelling pressure with compaction energy may seem counterintuitive at first glance, it underscores the intricate nature of expansive soils. These soils possess unique characteristics that necessitate a nuanced approach to engineering and construction projects. Therefore, our research contributes to the broader conversation on how to effectively mitigate the challenges posed by expansive soils, offering insights that can inform best practices in geotechnical engineering and soil management.
Conclusion
In conclusion, this study has yielded valuable insights into the intricate relationship between swelling potential, soil stabilization methods, compaction energy, and maximum dry density, while considering various crucial factors. Our investigation into the efficacy of natural plant fibers, such as Alfa, jute, and sisal, in conjunction with polypropylene fibers and LPC, has demonstrated their potential in effectively mitigating soil swelling. These findings underscore the significance of accounting for fiber type, proportion, and cement dosage when selecting appropriate soil stabilization techniques, particularly in expansive soil environments.
Furthermore, we delved into the influence of fiber length, both in plant and PP fibers, on swelling behavior, shedding light on how variations in fiber length can impact the soil response. Additionally, our examination of compaction energy effect on swelling behavior has contributed to a more comprehensive understanding of the role of compaction in soil stabilization, especially in expansive soils. The interplay between compaction energy and soil swelling was evident in both reinforced and unreinforced soil samples.
Moreover, we considered the time-dependent nature of swelling behavior, with stabilization observed after 4320 minutes, underscoring the importance of long-term monitoring in geotechnical projects. These multifaceted findings add valuable tools to the repertoire of geotechnical engineers and practitioners, offering sustainable solutions for projects in clay and marl-rich regions. As we continue to explore innovative materials and techniques, it is evident that a comprehensive understanding of soil behavior, including its response to compaction energy and maximum dry density, remains paramount for the successful execution of civil engineering projects. We anticipate that this research will serve as a foundation for future endeavors and contribute to the development of more resilient and sustainable infrastructure in challenging soil environments.
About the authors
Ahlam El Majid
Mohammed V University
Author for correspondence.
Email: ahlam.elmajid@research.emi.ac.ma
ORCID iD: 0000-0001-8242-1623
PhD Cand., Assistant, Civil Engineering and Environment Laboratory (LGCE), Mohammadia School of Engineering
Morocco, 765, Avenue Ibn Sina B.P., Rabat, 10090Khadija Baba
Mohammed V University
Email: khadija.baba@est.um5.ac.ma
ORCID iD: 0000-0003-4603-4321
Dr. Sc., Professor, Civil Engineering and Environment Laboratory (LGCE), Mohammadia School of Engineering
Morocco, 765, Avenue Ibn Sina B.P., Rabat, 10090Yassine Razzouk
Mohammed V University
Email: yassine.razzouk@um5s.net.ma
ORCID iD: 0009-0001-3097-5680
PhD Cand., Assistant, Civil Engineering and Environment Laboratory (LGCE), Mohammadia School of Engineering
Morocco, 765, Avenue Ibn Sina B.P., Rabat, 10090
References
- Rotta L., Alessandro F. The silent impact of underground climate change on civil infrastructure. Commun Eng, 2023, vol. 2, no. 1, Art. no. 1. doi: 10.1038/s44172-023-00092-1.
- Razzouk Y., Ahatri M., Baba K., Majid A. Optimal bracing type of reinforced concrete buildings with soil-structure interaction taken into consideration. Civil Engineering Journal, 2023, vol. 9, pp. 1371–1388. doi: 10.28991/CEJ-2023-09-06-06.
- Razzouk Y., Ahatri M., Baba K., Majid A. The impact of bracing type on seismic response of the structure on soft soil. Civil Engineering and Architecture, 2023, vol. 11, pp. 2706–2718. doi: 10.13189/cea.2023.110534.
- Razzouk Y., Baba K., Ahatri M., Majid A. Analyzing the influence of bracing types on the overall displacement of reinforced concrete buildings, 2023, pp. 290–304. doi: 10.1007/978-3-031-49345-4_28.
- Razzouk Y., Ahatri M., Baba K., Majid A. Optimizing seismic bracing systems for reinforced concrete buildings based on height and seismic zone. Civil Engineering and Architecture, 2023, vol. 11, pp. 3430–3450. doi: 10.13189/cea.2023.110615.
- Razzouk Y., Ahatri M., Baba K., Majid A. The impact of bracing type on the global displacement of reinforced concrete buildings. Research Gate, 2023, vol. 9, p. S478–S484. doi: 10.17756/nwj.2023-s2-081.
- Abdalla J.A. A comprehensive review on the use of natural fibers in cement/geopolymer concrete: a step towards sustainability. Case Studies in Construction Materials, 2023, vol. 19, p. e02244. doi: 10.1016/j.cscm.2023.e02244.
- Majid A., Baba K. Assessing the impact of plant fibers on swelling parameters of two varieties of expansive soil. Case Studies in Chemical and Environmental Engineering, 2023, vol. 8, p. 100408. doi: 10.1016/j.cscee.2023.100408.
- Majid A., Cherradi C., Baba K., Razzouk Y. Laboratory investigations on the behavior of CBR in two expanding soils reinforced with plant fibers of varying lengths and content. Materials Today: Proceedings, 2023. doi: 10.1016/j.matpr.2023.06.395.
- Punia Bangar S., Ilyas R.A., Chaudhary N., Dhull S.B., Chowdhury A., Lorenzo J.M. Plant-Based natural fibers for food packaging: a green approach to the reinforcement of biopolymers. J Polym Environ., 2023. doi: 10.1007/s10924-023-02849-3.
- Sengupta S. Sustainable products from natural fibers/biomass as a substitute for single-use plastics: Indian context. Novel Sustainable Raw Material Alternatives for the Textiles and Fashion Industry. Gopanpally Village, Springer, 2023. pp. 81–119.
- Cruz Fabian D.R., Durpekova S., Dusankova M., Cisar J., Drohsler P., Elich O., Borkova M., Cechmankova J., Sedlarik V. Renewable poly (lactic acid) lignocellulose biocomposites for the enhancement of the water retention capacity of the soil. Polymers, 2023, vol. 15, no. 10, pp. 2243.
- Navaratnam S., Selvaranjan K., Jayasooriya D., Rajeev P., Sanjayan J. Applications of natural and synthetic fiber reinforced polymer in infrastructure: a suitability assessment. Journal of Building Engineering, 2023, vol. 66, pp. 105835.
- Janaswamy S., Yadav M.P., Hoque M., Bhattarai S., Ahmed S. Cellulosic fraction from agricultural biomass as a viable alternative for plastics and plastic products. Industrial Crops and Products, 2022, vol. 179, pp. 114692.
- Qin Y., Zhang X., Chai J., Xu Z., Li S. Experimental study of compressive behavior of polypropylene-fiber-reinforced and polypropylene-fiber-fabric-reinforced concrete. Construction and Building Materials, 2019, vol. 194, pp. 216–225.
- LCPC Guide des Terrassements Routiers, Réalisation des remblais et des couches de forme (GTR 92), 1992. Available at: https://geniecivilpdf.com/wp-content/uploads/Guide-de-terrassement-routier-GTR-Fascicule-1-et-2.pdf (accessed 15 April 2023).
- Blazy J., Blazy R. Polypropylene fiber reinforced concrete and its application in creating architectural forms of public spaces. Case Studies in Construction Materials, 2021, vol. 14, e00549.
- Rajak M., Rai B. Effect of micro polypropylene fibre on the performance of fly ash-based geopolymer concrete. Journal of Applied Engineering Sciences, 2019, vol. 9, no. 1, pp. 97–108.
- GhavamShirazi S., Bilsel H. Characterization of volume change and strength behavior of micro-silica and lime-stabilized Cyprus clay. Acta Geotechnica, 2021, vol. 16, no. 3, pp. 827–840.
- Jitha P.T., Kumar B.S., Raghunath S. Strength development and masonry properties of geopolymer stabilised soil-LPC (lime-pozzolana cement) mixes. Construction and Building Materials, 2020, vol. 250, pp. 118877.
- Ganiyu A., Abdulsalaam A.A., Alawi H.A., Badr A. Impacts of alkaline activated slag blended with Omani Sarooj on expansive soil. The 75th Canadian Geotechnical Conference. Calgary, Alberta. Available at: https://geocalgary2022.ca/wp-content/uploads/papers/51.pdf (accessed 15 April 2023).
- Vijayvergiya V.N., Ghazzaly O.I. Prediction of swelling potential for natural clays. Proceedings of the 3rd International Conference on Expansive Soils. Haifa, 1973. pp. 227–236.
- Bigot G., Zerhouni M.I. Retrait, gonflement et tassement des sols fins. 2000. p. 10. Available at: https://www.ifsttar.fr/collections/BLPCpdfs/blpc_229_105-114.pdf (accessed 15 April 2023).
- Dakshanamurthy V., Raman V. A simple method of identifying an expansive soil. 土質工学会論文報告集, 1973, vol. 13, no. 1, pp. 97–104. doi: 10.3208/sandf1972.13.97.
- Der Van M.D.H. The prediction of heave from the plasticity index and percentage clay fractions of soils – discussion. Civil Engineering = Siviele Ingenieurswese, 1964, vol. 1964, no. 12, pp. 226–228. doi: 10.10520/AJA10212019_17005.
- Williams A.A.B., Donaldson G.W. Buildings on expansive soils in South Africa: 1973–1980. Proc. 4th International Conference on Expansive Soils. Ed. by D. Snethen. Denver, Colo., 1980. ASCE, New York, 1980. Vol. 2, p. 834.
- El-Abbassi F.E., Assarar M., Ayad R., Bourmaud A., Baley C. A review on Alfa fibre (Stipa tenacissima L.): from the plant architecture to the reinforcement of polymer composites. Composites Part A: Applied Science and Manufacturing, 2020, vol. 128, pp. 105677. doi: 10.1016/j.compositesa.2019.105677.
- Ekundayo G., Adejuyigbe S.B. Reviewing the development of natural fiber polymer composite: a case study of sisal and jute. American Journal of Mechanical and Materials Engineering, 2019, vol. 3, pp. 1–10. doi: 10.11648/j.ajmme.20190301.11.
- AASHTO T 99: Standard method of test for moisture – density relations of soils using a 2.5-kg (5.5-lb) Rammer and a 305-mm (12-in.) Drop. Available at: https://global.ihs.com/doc_detail.cfm?document_name=AASHTO%20T%2099&item_s_key=00489084 (accessed 15 April 2023).
- Standard test methods for laboratory compaction characteristics of soil using standard effort (12,400 ft-lbf/ft3 (600 kN-m/m3)). Available at: https://www.astm.org/d0698-12r21.html (accessed 15 April 2023).
- Standard test method for California Bearing Ratio (CBR) of laboratory-compacted soils. Available at: https://www.astm.org/d1883-21.html (accessed 15 April 2023).
- Standard test method for unconfined compressive strength of cohesive soil. Available at: https://www.astm.org/d2166-06.html (accessed 15 April 2023).
- Tiwari N., Satyam N. Performance evaluation of reinforced expansive soil subgrade with polypropylene fiber and geogrid. Advances in Transportation Geotechnics IV, 2022, vol. 165, pp. 545–557.
- Hamza M., Ijaz N., Fang C., Ijaz Z. Stabilization of problematic expansive clays using polypropylene fiber reinforcement. Jordan Journal of Civil Engineering, 2022, vol. 16, pp. 20–22.
- Hussein S.A., Ali H.A.A.-R. Stabilization of expansive soils using polypropylene fiber. Civ Eng J, 2019,vol. 5, no. 3, pp. 624. doi: 10.28991/cej-2019-03091274.
- Majid A., Baba K., Razzouk Y. Mitigating soil swelling: exploring the efficacy of polypropylene fiber reinforcement in controlling expansion of expansive soils. Research Gate, 2023, pp. 183–192. doi: 10.1007/978-3-031-49345-4_19.
- Standard test methods for one-dimensional swell or collapse of soils. Available at: https://www.astm.org/d4546-14e01.html (accessed 15 April 2023).
- Gupta A., Kumar M. Clayey soil stabilization using flyash and jute fibre. Materials Today: Proceedings, 2022, vol. 48, pp. 1205–1210. doi: 10.1016/j.matpr.2021.08.246.
- Kumar S., Naval S., Sahu A.K. Swelling behaviour of expansive soil reinforced with geocell and jute fibres. Proceedings of Indian Geotechnical and Geoenvironmental Engineering Conference (IGGEC) 2021, 2022, vol. 1, pp. 33–51.
- Araya-Letelier G., Antico F.C., Burbano-Garcia C., Concha-Riedel J., Norambuena-Contreras J., Concha J., Saavedra Flores E.I. Experimental evaluation of adobe mixtures reinforced with jute fibers. Construction and Building Materials, 2021, vol. 276, p. 122–127. doi: 10.1016/j.conbuildmat.2020.122127.
- Kumar S., Sahu A., Naval S. Influence of jute fibre on CBR value of expansive soil. Civil Engineering Journal, 2020, vol. 6, pp. 1180–1194. doi: 10.28991/cej-2020-03091539.
- Tiwari N., Satyam N. Experimental study on the influence of polypropylene fiber on the swelling pressure expansion attributes of silica fume stabilized clayey soil. Geosciences, 2019, vol. 9, no. 9, pp. 377.
- Mumtaz J., Rashid I., Israr J. Laboratory modelling of strength and deformation characteristics of a high swelling soil treated with industrial wastes. Arabian Journal of Geosciences, 2020, vol. 13, pp. 1–12.
- Orlandi S., Taverna M.E., Villada Y.A., Piqué T., Laskowski C., Nicolau V.V., Estenoz D.A., Manzanal D. Additives based on vegetable biomass to improve the stabilisation of expansive clay soil. Environmental Geotechnics, 2021, vol. 40, no. XXXX, pp. 1–18.
- Kalkan E., Yarbaşi N., Bilici Ö. The effects of quartzite on the swelling behaviors of compacted clayey soils. International Journal of Earth Sciences Knowledge and Applications, 2020, vol. 2, no. 2, pp. 92–101.
- Bharti G., Shukla B.K., Parashar B., Kumar A., Varadharajan S. Experimental study on physico-mechanical properties of expansive soil by using wheat straw fiber. AIP Conference Proceedings. 2023. Available at: https://pubs.aip.org/aip/acp/article/2800/1/020083/2910088 (accessed 15 April 2023).
- Sridharan A., Gurtug Y. Swelling behaviour of compacted fine-grained soils. Engineering geology, 2004, vol. 72, no. 1–2, pp. 9–18.
Supplementary files








