Interannual Variability of Physical and Biological Characteristics of Crimean Shelf Waters in Summer Season (2010–2020)
- Authors: Piontkovski S.A.1, Zagorodnyaya Y.A.2, Serikova I.M.2, Minski I.A.1,2, Kovaleva I.V.2, Georgieva E.Y.2
-
Affiliations:
- Sevastopol State University
- A. O. Kovalevsky Institute of Biology of the Southern Seas, RAS
- Issue: No 2 (2024)
- Pages: 39-59
- Section: Статьи
- URL: https://journals.rcsi.science/2413-5577/article/view/259995
- EDN: https://elibrary.ru/CUBYXI
- ID: 259995
Cite item
Abstract
The coastal zone and shelf of Crimea are the objects of long-term comprehensive research predetermined by the significant role these zones play in the economic life of the peninsula. The purpose of the research is to identify trends in inter-annual variability in the structural and functional characteristics of the pelagic community. Data on remote sensing (from satellites), in situ measurements (on board a research vessel) and computed parameters were employed to identify the variability of physical and biological characteristics of the Crimean shelf waters from 2010 to 2020. It was shown that after the environmental cataclysms of the 1990s, associated with shelf eutrophication and trophic impact of plankton invasive species, the planktonic community entered a period of relative stability. The inter-annual variability of its key structural and functional characteristics (namely, phytoplankton biomass, the intensity of its bioluminescence, zooplankton biomass, net primary production and the ratio of production to biomass) could be characterized rather by inter-annual fluctuations due to hydrophysical dynamics than statistically significant trends of long-term variability. The hydrophysical dynamics was assessed by two parameters: the kinetic energy density and cross-shelf mass transfer in the upper layers.
Full Text
Introduction
The coastal zone of Crimea and its shelf are the objects of many years of complex research by Roshydromet, VNIRO and the Russian Academy of Sciences, predetermined by the significant role these zones play in the economic life of the peninsula. Gas production (about 1.6 billion cubic meters) 1), development of aquaculture (with cultivation of mussels, oysters, shrimps and other organisms with a volume of about 2,700 tons per year) 2), 3), fisheries (with a catch of about 40,000 tons per year) 4), tourism and recreation (with a load of about 8 million holidaymakers per year) are important components of economic activity; and investments in the development of the fishery complex of the Southern Federal District are estimated at about 60 billion rubles in the first two decades of the 21st century [1, 2].
As part of this multidisciplinary activity, the monitoring based on multiple-year measurements of key parameters enhances the understanding of the resource dynamics and ecological state of the shelf [3]. It should be noted that an anthropogenic load on the Crimean shelf is high due to its small width, high population density along the coast, developed agriculture and industrial complex, forming about 30% of the consolidated budget of the Republic of Crimea. As a consequence, in 1998–2018, the Yuzhnye sewage treatment facilities, producing 76% of the total volume of domestic sewage in the region, discharged 468,000 cubic meters per year in the Sevastopol region alone [4]. Measurements of petroleum hydrocarbon concentrations by the SOI staff in 2023 at eight stations in Karkinitsky and Kalamitsky Bays showed that the maximum permissible concentrations were exceeded at all eight stations.
In oceanological studies, the shelf boundary is usually delineated by a 200-metre isobath [5]. According to its morphostructural characteristics, the western area (from Tarkhankut Bay to Laspi Bay and Sarych Bay), the southern coastal area (from Sarych Bay to Meganom Bay) and the eastern area, including the area of Feodosia Bay and the Kerch-Taman shelf, are distinguished [6]. The bottom relief is spatially heterogeneous: while in the north of the western shelf of the peninsula the 60 m isobath is located at a distance of 10–15 km from the shore, in the south it passes in close proximity to the water’s edge. In the main part of the shelf, its width is 90 km [7] and increases in the northwestern direction, reaching 220 km in the area of the Gulf of Karkinit.
Regional peculiarities of the shelf geomorphology determine proximity of the Rim Current (RC) to the coastline. It comes close the coast at the southern tip of the peninsula. The RC velocity with a flow width of up to 80 km is 40–150 cm/s [5], which is several times higher than that of the coastal current.
The geostrophic dynamics of waters is subject to interannual variability, due to which the circulation may have a “basin” (with a pronounced RC) or an “eddy” mode [8]. The change of modes affects physical and biological characteristics of the pelagic ecosystem. The thermohaline structure of waters, their physical dynamics, phyto- and zooplankton production affect fishery stocks of small pelagic fish (anchovy Engraulis encrasicolus (Linnaeus, 1758) and sprat Sprattus sprattus (Linnaeus, 1758)), which form the basis of fisheries in Crimean waters [9].
The purpose of our research was to identify trends in the interannual variability of structural and functional characteristics of the pelagic community in the first decades of the 21st century, since the processes that occurred in the previous decades were covered in a number of overviews [10, 11].
Material and methods
To identify multiyear trends, we used the results of remote measurements (by MODIS-Aqua/Terra satellite scanners), contact measurements (from the R/V Professor Vodyanitsky) and calculations of structural and functional relationships, such as the ratio of primary production to forage zooplankton biomass and the ratio of gelatinous biomass to forage zooplankton fraction (Table 1).
Table 1. Analyzed characteristics
Parameter | Measurement type | Source |
Wind speed | Products of models | URL: https://giovanni.gsfc.nasa.gov/giovanni; |
Sea surface | Remote sensing | URL: https://giovanni.gsfc.nasa.gov/giovanni/ |
Mass transport | NEMO model v.3.6 | [12] |
Concentration of | IR radiometry | Archive materials of SОI 5) |
Chlorophyll | Remote sensing | URL: https://oceancolor.gsfc.nasa.gov; model calculation [13] |
Phytoplankton biomass (mg·m−2) | Processing of samples collected in expeditions | Archive materials of IBSS |
Primary production | Calculation results from remote sensing data | [14] |
Bioluminescent | Sounding | Archive materials of IBSS 6) |
Continued Table 1
Parameter | Measurement type | Source |
Forage zooplankton | Catching | Archive materials of IBSS |
Gelatinous zooplankton biomass (mg·m−3) | Catching | Archive materials of IBSS |
Ratio of | Calculation results | Archive materials of IBSS |
Stocks and catches of small pelagic fish | Results of calculation of trawl catch parameters | Archive materials of VNIRO, Azov and Black Sea Basin Scientific and Fishery |
The geographical contours of the study area are defined by a multiyear grid of oceanographic stations carried out during the expeditions of the R/V Professor Vodyanitsky (Fig. 1) within the scope of different projects.
Fig. 1. Examples of oceanographic station grids carried out on board R/V Professor Vodyanitsky: 102nd cruise, June‒July, 2018 (a); 108th cruise, July‒August, 2019 (b)
Due to the diverse objectives of these projects, the set of measured parameters, the number of stations and their location varied over years. The bulk of the contact measurements of biological characteristics took place in 2010–2020. Some plankton samples from later expeditions remain unprocessed. The examples of field surveys with vertical soundings at stations and their distribution are given in Fig. 1 and Table 2.
Table 2. The R/V Professor Vodyanitsky expeditions, from 2010 to 2022
Year | Cruise number | Number of |
2010 | 64, 68 | 16, 23 |
2011 | 70 | 41 |
2013 | 72 | 50 |
2015 | 81 | 52 |
2016 | 86 | 63 |
2017 | 93, 94, 95, 96, 97 | 39, 104, 132, 93, 22 |
2018 | 102, 103,105 | 137, 155, 114 |
2019 | 106, 107,108, 110, 111 | 106, 2, 174, 120, 142 |
2020 | 113, 114,115 | 163, 130, 97 |
2021 | 116, 117, 118, 119 | 134,145, 49, 146 |
2022 | 120, 121, 122, 123,124, 125-1 | 124, 221, 189, 113, 56, 128 |
Remote measurements. A time series of monthly mean sea surface temperatures was constructed from MODIS-Aqua upwelling spectroradiometer measurements. Level 3 (L3) data obtained with a spatial resolution of 4 km and further averaged for the Crimean shelf were used. Two time series were constructed: one with monthly average resolution and one with interannual temperature averaging over the entire summer season. Both time series are presented in units of deviation from the multiyear average for each of the time series.
The same satellite also obtained time series of chlorophyll a concentration in the surface layer and photosynthetically active radiation. The time series of monthly mean values of wind speed above the sea surface (at a height of 10 m) and a zonal component of wind speed were downloaded from the MERRA-2 and NCEP/NCAR reanalysis databases.
Computational characteristics. The net integral primary production in the euphotic layer was calculated using an algorithm where surface temperature and photosynthetically active radiation are remotely measured parameters [14]. The chlorophyll a concentration values (from MODIS-Aqua scanner measurements) used to calculate primary production underwent correction to separate chlorophyll and dissolved colored matter [13]. The calculations of lateral mass transfer of water in the direction from the shelf to the seaward part in the 0–50, 50–200 and 0–200 m layers were carried out by A. Akpınar and co-authors and detailed in their works [17, 18].
Contact measurements. Phytoplankton was studied according to the data of bathometric water samples (2 liters in volume) taken from the R/V Professor Vodyanitsky. The samples were thickened by reverse filtration through track membrane filters with a pore diameter of 1 µm. The resulting concentrate was preserved with Lugol’s solution (0.1 mL per 50 mL of sample). Phytoplankton species composition and cell sizes were determined in a Naumann chamber under a XY-B2 trinocular microscope. The cell volumes and biomass were calculated according to the generally accepted methodology 7).
Measurements of the bioluminescence intensity of the plankton community (its bioluminescence potential) were taken from aboard the ship. The bioluminescence potential (BP) characterizes the maximum luminescence energy of organisms: BP = ò B(t) dt, where B(t) – light emission intensity during a bioluminescent flash (t) [19]. For BP measurements the Salpa-M submersible instrument complex was used, which in the vertical sounding mode enables synchronous measurements of mechanically stimulated bioluminescence of planktonic organisms (in the range from 10−13 to 10−8 W·cm−2·L−1 with precision ±10%), hydrostatic pressure, temperature, conductivity, turbidity and photosynthetically active radiation. The resolution of measurements when the device was immersed at a velocity of 1.2 m·s−1, was 0.25 m. The method of work was described in detail earlier [19].
Zooplankton were collected using a Juday plankton net with an inlet diameter of 36 cm (mesh size 140 µm). The obtained samples were condensed to 100 mL and preserved with neutral formaldehyde solution to 4 % concentration. The samples were processed by standard counting in the Bogorov chamber: taxonomic composition, age stages, size of hydrobionts and their number in the sample were determined. The size-weight relationships known for the Black Sea species were used to convert the size characteristics of individuals to biomass units [20]. Based on the results of sample processing, the biomass of zooplankton in a meter cubic and under a meter square of the sampled layer was calculated.
The data on the concentration of petroleum hydrocarbons and stocks and catches of small pelagic fishes on the Crimean shelf were retrieved from the archival materials of SOI, VNIRO, reports of the Azov-Black Sea Basin Scientific and Fisheries Council and the published articles (Table 1). Statistica v.9 and PAST v.13 software products were used for graphical representation and statistical processing. In particular, the nonparametric Mann–Kendall test, used in the analysis of time series in hydrophysics and hydrometeorology [21], was applied to test the statistical significance of the monotonic interannual trend.
Results and discussion
Interannual variability was analyzed for the summer season as the most abundant with biological measurements.
Wind speed. In the summer season, the wind field in the near-surface layer over the Crimean shelf is spatially heterogeneous both in the direction and in the values of the meridional and zonal components of speed, which was noted earlier [22]. In June–August 2002–2020, the mean wind speed was 5.1 ± 0.2 m·s−1 and had no statistically significant monotonic interannual trend (Mann–Kendall test S = −23, Z = 0.77, р = 0.44). It was also absent in the time series of summer values of the zonal velocity component dominating in the formation of alongshore water mass transfer on the Crimean shelf (S = −87, Z = 1.28, р = 0.20).
Physical water dynamics. A characteristic property of the pelagic community biotope is its mobility (mass transfer). From a regional perspective, mass transfer is determined by the direction of both the RC and the coastal current. In the area of the southern coast of Crimea, the latter is a wind-modulated large-scale alongshore flow of west-south-west direction, parallel to the coastline, with a mean annual velocity modulus of ~ 8 cm·s−1 [23] with maximum values up to 35 cm·s−1 [24]. Meandering currents, mesoscale and submesoscale eddies (Fig. 2) form mass transfer anomalies, including transverse mass transfer of waters from the coastal area beyond the shelf [25−27]. The multicomponent dynamics is most clearly represented in the animation of the NEMO-eNATL60 model *.
Both physical and biological parameters are sensitive indicators of cross-shelf mass transfer. Thus, the tongue of warm water directed from the shore to the seaward part can be seen in the spatial distribution of sea surface temperature far beyond the shelf (Fig. 2, b).
Fig. 2. Large scale (a, b) and mesoscale (c–f) spatial structure of hydrophysical fields: the direction and geostrophic current velocity in the upper layer, in August 2018 (a) and the sea surface temperature (b) (available at: https://dekosim.ims.metu.edu.tr/BlackSeaModels/BlackSeaModels.shtml); examples of mesoscale heterogeneities of sea surface temperature (c), temperature at 1 m depth (d), salinity at 1 m depth (e). Vectors of currents from instrumental measurements (f). Red arrows indicate the Rim Current. The Sevastopol anticyclonic eddy (СА) and Crimean anticyclonic eddy (КА) are highlighted with red ovals [26]
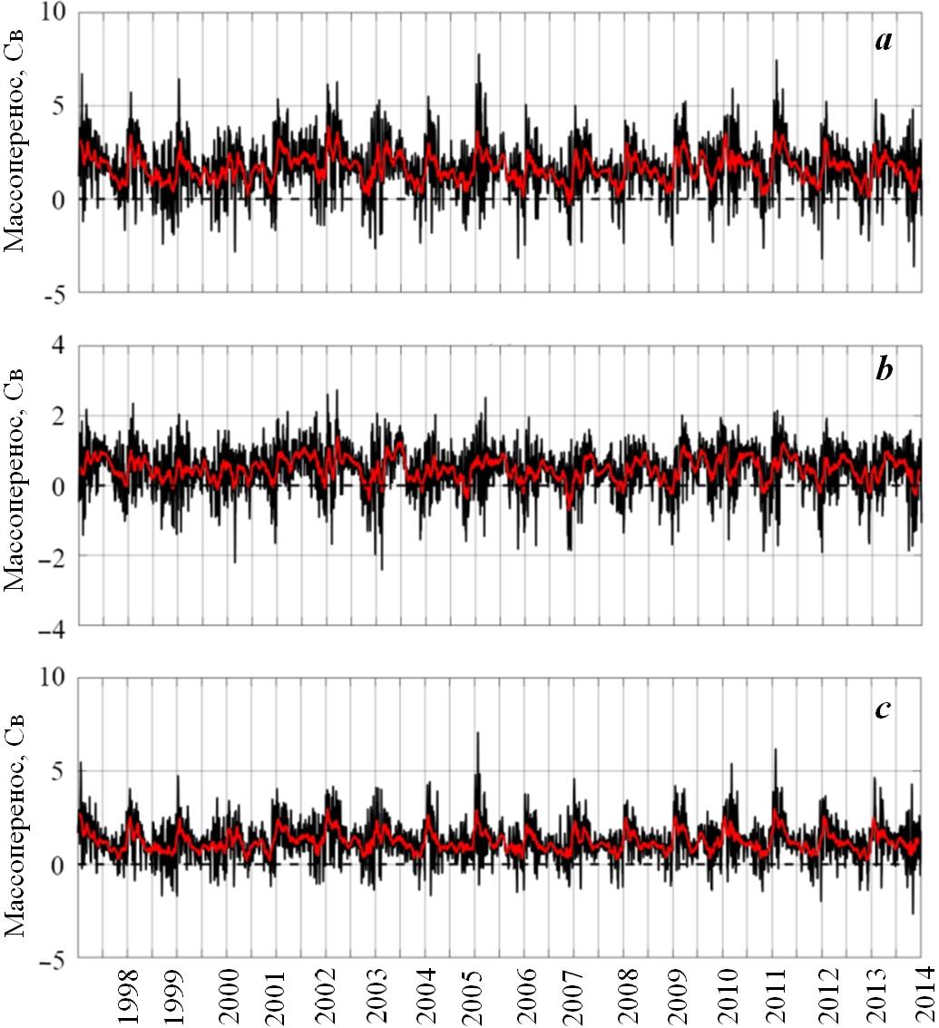
Coastal upwelling is manifested in the sea surface temperature field by tongues of cold water directed from the coast to the seaward part. Summer surface temperature in the Crimean shelf can be 10−12 °C. The data of expedition and satellite measurements contain numerous episodes of coastal upwelling during the summer period. The time series of cross-shelf mass transfer on the scales of seasonal and interannual variability were obtained from the three-dimensional circulation model NEMO v.3.6, which has 61 vertical layers with zonal and meridional spatial resolution of 3 km (Fig. 3).
Fig. 3. Cross-shelf water mass transport (Sv) in the layers: 0–200 m (a), 0–50 m (b) and 50–200 m (c). Positive values stand for the transport directed off the shelf seawards. The red curve stands for the trend based on a running mean, with a 30-day smoothing window [12]
Transverse mass transfer showed relative stability in the upper 0−50 m and integral 0−200 m sea layer (no interannual trend: Mann−Kendall test for the 0−200 m layer, S = 110, Z = 1.33, р = 0.18). The trend was also absent in the interannual variability of the kinetic energy density in the upper 30 m layer, which characterizes the intensity of currents in it [28].
The interannual temperature changes in the upper layers are ecologically significant, as key structural and functional characteristics of the coastal pelagic community are correlated with temperature [19, 29, 30]. The multiyear trend in the Black Sea surface temperature (from 1993 to 2021) is generally positive (0.07 °C year−1), although the rate of increase becomes less pronounced from 2011 to 2022 (Fig. 4, a). On the Crimean shelf, there was no interannual trend of sea surface temperature anomalies in 2011−2022 (Fig. 4, b, c; Mann−Kendall test, S = 1652, Z = 1.32, р = 0.19). This is clearly represented by the interannual variability of the summer season anomalies (Fig. 4, c).
Fig. 4. Temporal variability of the sea surface temperature: sea surface temperature deviations from the mean, on a basin scale (https://data.marine.copernicus.eu/product/BLKSEA_OMI_TEMPSAL_sst_area_averaged_anomalies/description) (a); the Crimean shelf sea surface temperature anomalies in monthly time series. The red dashed curve stands for the running mean (with a 12-month window) (b); the Crimean shelf sea surface temperature anomalies of the summer season (in 2002–2022), smoothed by a cubic spline (c)
Pollution. River, storm and municipal runoffs make a significant contribution to the pollution of coastal waters of Crimea. Thus, on the seaside of Sevastopol, the average concentrations of petroleum hydrocarbons in 2016–2021 were approximately twice as high as the maximum permissible concentrations [31]. The increase in the concentration of ammonia nitrogen and petroleum products in the city wastewater in the first decades of the 21st century was reported in [32].
Planktonic organisms are known to be sensitive to high concentrations of petroleum hydrocarbons, which adversely affects the growth rates of phytoplanktonic algae [33, 34], the intensity of their bioluminescence [19, 35] and zooplankton reproduction [36].
There is no statistically significant trend (Mann–Kendall test, S = –24, Z = 0.61, р = 0.54) in the multiyear SOI data on the mean annual concentration of petroleum hydrocarbons in the coastal waters of Crimea as a whole (in 2000–2022) (Fig. 5).
Fig. 5. Interannual variability of the annual concentration of petroleum hydrocarbons (mg·dm−3) on the Crimean shelf according to SOI data
A likely reason for the absence of an interannual trend in the concentration of petroleum hydrocarbons within the Crimean shelf may be the combination of a narrow shelf with a stable interannual cross-shelf mass exchange (Fig. 3), which can offset the interannual increase in hydrocarbon concentration due to exchange with open waters, but maintain its high average level due to incoming high-volume runoff.
Another explanation for the presented dynamics could be the lack of data, as the coverage of the shelf by measurements was spatially uneven and weak due to the fragmented nature of monitoring, especially in the first decade of the 21st century owing to insufficient funding [32]. It should also be noted that the infrared radiometric concentration measurement used by SOI is less sensitive to the concentration of natural petroleum hydrocarbons compared to the fluorimetric measurement method. As a consequence, the concentration level of petroleum hydrocarbons in coastal waters is recognized as being below the maximum permissible concentration established for water bodies of fishery significance, while the fluorescent analysis data show that this level is exceeded by 1.4 times [37].
Input of ~ 80% of runoff into coastal waters without treatment and increase in the volume of wastewater [4] will worsen the sanitary condition of the shelf. Probably, in the summer season we should expect an increase in the cases of gastrointestinal (bacterial-viral) infections, the cause of which is the sea. However, hypothesis testing needs appropriate preparation of time series of parameters for their statistical analysis.
Phytoplankton and primary production. Eutrophication of shelf waters as a result of runoff affects the structure and productivity of the phytoplankton community. This has been shown by studies of the broad and shallow northwestern Black Sea shelf on the scale of multiyear variability [10]. The productivity of shelf waters of Crimea is much lower and the taxonomic composition of phytoplankton is very diverse: Dinophyceae alone are represented by 156 taxa of species and intraspecific rank. The genera Protoperidinium, Gymnodinium and Dynophysis dominate by the number of species [38]. In 2010‒2019, the genera Dinophyceae made the greatest contribution (~ 46%) to phytoplankton biomass formation. The share of other groups (Bacillariophyceaе and Prymnesiophyceae) was ~ 39 and 15%, respectively.
Their contribution in different years differed by an order of magnitude. In the interannual variability of biomasses of Dinophyceae, Bacillariophyceae and Prymnesiophyceae of the integral layer, no statistically significant trends of interannual variability were revealed (Fig. 6).
Fig. 6. Interannual variability of phytoplankton biomass (a) and net primary production (b). The vertical whickers stand for the error mean
Calculation of the values of integral net primary production on the scale of the Crimean shelf showed the absence of an interannual trend (Mann–Kendall test, S = 924; Z = 1.82; p = 0.07). It was also absent in the time series based on summer values only (S = ‒19; Z = 1.40; p = 0.16). The absence of trend was observed on the shelf of the Anatolian coast and in the eastern part of the Black Sea for the earlier period of 1998‒2015 [39]. In the time series of net primary production plotted against monthly averages, a decrease in the range of fluctuations can be observed, highlighting the interannual stabilization of the process (Fig. 6).
Bioluminescence of plankton. Bioluminescent potential has a dual nature. On the one hand, it is regulated by the abundance and biomass of bioluminescent organisms (primarily phytoplankton, which dominates the integral mechanically stimulated bioluminescence in the Black Sea), and on the other hand, it serves as an indicator of the functional (physiological) state of these organisms, since the characteristics of their bioluminescence depend on temperature, salinity, oil pollution and other factors [19].
No monotonic trend was observed in the time series of integral layer BP values (Fig. 7). It can be assumed that the interannual (“non-trend”) variability of BP is regulated by the dynamics of Dinophyceae biomass. Thus, during the four-year period of studies at the coastal station near Sevastopol (in 2010–2013), the value of the sample correlation coefficient between BP and biomass of luminous Dinophyceae in monthly time series was 0.91 at р = 0.01 [40].
Fig. 7. Interannual variability of the bioluminescent potential, 10–12 W·cm–2·L–1 (a) and the forage zooplankton biomass, mg C·m–2, (b) on the Crimean shelf. The vertical whickers stand for the error mean
The next group (Bacillariophyceaе) is not bioluminescent in terms of its contribution to the total phytoplankton biomass, but its multiyear dynamics is given in this section (Fig. 5) to state that there is no multiyear trend in biomass at the level of individual phytoplankton taxonomic groups (at р = 0.24).
Zooplankton. Interannual fluctuations in the taxonomic composition and biomass of phytoplankton are reflected in the characteristics of spatial and temporal variability of the biomass of zooplankton consuming phytoplankton. The basis of the biomass of feeding zooplankton in the summer period in all years was formed by Copepoda (41–48%) and bristlefishes, represented by one species – Parasagitta setosa (J. Muller, 1847) with the share varying in the range of 12–49%. There was no trend in the long-term dynamics of zooplankton biomass (Fig. 7). It was not detected in the dynamics of gelatinous zooplankton biomass according to eight years of observations (2010‒2018). We should note a large range of fluctuations in the biomass of forage zooplankton with the average number of stations for the summer season equal to 16 for each of the expeditions. Apparently, this range is modulated by the mesoscale and submesoscale spatial heterogeneity of the biotope, elements of which can be seen in Fig. 2.
The zooplankton of the Black Sea includes indicator species of coastal waters. These include branchiopod crustaceans (Cladocera), which develop extensively during the summer months. Their presence in offshore waters may be considered as a consequence of cross-shelf mass transfer. Thus, the analysis of samples showed the presence of species of Penilia avirostris, Pleopsis polyphemoides, Pseudevadne tergestina above the depths of 1800–2120 m. Cladocera abundance in coastal areas (151–303 eq/m3) was one or two orders of magnitude higher than in deep waters. Interannual variability is also significant. For example, in 2014–2020, fluctuations in total abundance in the deep water and on the shelf reached one or two orders of magnitude without pronounced interannual trends.
As for the non-feeding, i. e., gelatinous zooplankton (jellyfish, comb and noctiluca), its crude biomass (in 2010, 2011, 2013, 2016, 2018) exceeded the crude biomass of the feeding zooplankton by tens and sometimes hundreds of times. The ratio of gelatinous to foraging zooplankton biomass converted to organic carbon units was markedly lower. However, the two- to threefold dominance of gela-
tinous in this respect was preserved, indirectly indicating the predominance of the detrital (rather than grazing) pathway of organic carbon transfer in the pelagic ecosystem of the shelf.
Among the set of structural and functional relations characterising the plankton community as a whole, we should mention the ratio of net primary production to biomass of forage zooplankton, which is interpreted as the rate of turnover of primary production through zooplankton [41, 42]. The calculation of this ratio showed no interannual trend in 2010–2018 with its mean value of 2.3 and coefficient of variation of 36%. In general, the twofold coverage of the available biomass of forage zooplankton by net primary production indicates favourable feeding conditions for zooplankton organisms on the shelf.
Small pelagic fishes. Multiyear dynamics of sea surface temperature and biomass of forage zooplankton is important for the formation of the commercial stock of its mass consumers (anchovy and sprat) and interannual fluctuations of this stock [43]. In 2016–2018, their catches accounted for 96% of the total catches in Russian waters [9]. In the current regulatory framework, stock and catch estimates are separated by fishing area. For example, in August 2023, average sprat catches per vessel, according to AzNIIRKH data, varied between ~ 36 tons in the western part of the shelf (the Kalamitsky Gulf) and ~ 42 tons in the eastern part (the Gulf of Feodosia) with the maximum allowable exploitation of the resource estimated at 18–20 thousand tons in 2023–2024 [15].
On the scale of interannual variability (in 2010–2019), the dynamics of the commercial stock of Azov anchovy (east of Cape Sarych) had a statistically significant negative trend (Mann–Kendall test, S = −25, р = 0.01), which is regulated by both physical and anthropogenic factors (with the dominance of the latter). The probability of wintering aggregations forming along the Crimean coast is considered to be extremely low in the context of continuing stock decline. The unregulated catch of seasonally migratory anchovy and sprat by fishing vessels from Turkey (whose catches account for about 62% of the total in the Black Sea basin) is one of the factors in the long-term decline of fish stocks, including Crimean fish stocks [44]. It probably reduces the positive impact of the extended spawning season for small pelagic fish, which has been noted in connection with the long-term increase in temperature in the upper layers [45, 46].
Conclusion
After the cataclysms of the 1990s associated with eutrophication and trophic pressure of planktonic omnivores Mnemiopsis leidyi A. Agassiz, 1865 and Beroe ovata Mayer 1912, the interannual structure of the pelagic plankton community of the Crimean shelf became relatively stable. Since in complex systems (in particular, ecosystems) the structure of the system regulates its function, the relative stability of structural characteristics (primarily biomass) determined the absence of inter-annual trends in the functional properties of the community: i.e. net primary production, phytoplankton bioluminescence intensity, and the ratio of primary production to biomass of forage zooplankton (i. e., the rate of turnover of primary production through zooplankton).
Thus, the pelagic ecosystem of the Crimean shelf in the second decade of the 21st century is characterized not so much by monotonic trends of interannual variability as by interannual fluctuations of its structural and functional properties against the background of relatively stable large-scale hydrophysical dynamics estimated by kinetic energy density and cross-shelf mass transfer of water in the upper layers.
1) Rambler/finance. 2024. [online] Available at: https://finance.rambler.ru/markets/41621705-dobycha-gaza-v-krymu-snizilas-v-2018-godu-na-3-do-1-6-mlrd-kubometrov [Accessed: 5 June 2024] (in Russian).
2) Government of the RF, 2022. On Approval of the Strategy for the Development of the Fishery Sector of the Russian Federation for the Period until 2030 (together with the Action Plan for the Implementation of the Strategy for the Development of the Fishery Sector of the Russian Federation for the Period until 2030). Resolution of the RF Government no. 2798-р as of 26 November 2019 (as amended on 12 May 2022) (in Russian).
3) Federal Agency for Fisheries. Crimean farmers plan to start supplying oysters to Armenia and Kazakhstan in 2020. 2020. [online] Available at: https://fish.gov.ru/obzor-smi/2020/01/22/fermery-kryma-v-2020-godu-planiruyut-nachat-postavki-ustrits-v-armeniyu-i-kazakhstan [Accessed: 5 June 2024] (in Russian).
4) Government of the City of Sevastopol, 2020. Strategy for the Development of the Black Sea Anchovy Fishery in the Black Sea for 2021–2030. In: GSS, 2020. Minutes of the Meeting of the Azov-Black Sea Basin Scientific and Fisheries Council. Sevastopol, pp. 8–26 (in Russian).
5) Korshenko, A.N., ed., 2023. Marine Water Quality by Hydrochemical Indicators. Annual Report 2021. Moscow: GOIN, pp. 70–105 (in Russian).
6) Zhuk, V.F., Belogurova, Yu.B., Vasilenko, V.I. and Melnik, A.V., 2023. Bioluminescence of the Black Sea. Atlas. Sevastopol: IBSS, 371 p. (in Russian).
7) Radchenko, I.G., Kapkov, V.I. and Fedorov, V.D., 2010. [A Practical Guide to Collecting and Analysing Marine Phytoplankton Samples]. Moscow: Mordvintsev, 60 p. (in Russian).
* The model shows details of the macroscale turbulence of the entire basin at hourly resolution Available at: https://www.youtube.com/watch?v=IaWycRF5Zho [Accessed: 30 May 2024].
About the authors
Sergey A. Piontkovski
Sevastopol State University
Author for correspondence.
Email: spiontkovski@mail.ru
ORCID iD: 0000-0002-6472-9701
SPIN-code: 5239-4730
Scopus Author ID: 6602165194
ResearcherId: ABB-9334-2020
Leading Research Associate, DSc (Biol.)
Russian Federation, SevastopolYulia A. Zagorodnyaya
A. O. Kovalevsky Institute of Biology of the Southern Seas, RAS
Email: artam-ant@yandex.ru
ORCID iD: 0000-0002-9502-4923
SPIN-code: 5426-9090
Scopus Author ID: 6506214138
ResearcherId: E-3325-2018
Leading Research Associate, PhD (Biol.)
Russian Federation, SevastopolIrina M. Serikova
A. O. Kovalevsky Institute of Biology of the Southern Seas, RAS
Email: irasimwin@yandex.ru
ORCID iD: 0000-0001-6604-2594
SPIN-code: 1818-4515
Scopus Author ID: 57148098700
ResearcherId: AAO-4117-2020
Senior Research Associate, PhD (Biol.)
Russian Federation, SevastopolIvan A. Minski
Sevastopol State University; A. O. Kovalevsky Institute of Biology of the Southern Seas, RAS
Email: ivansimfer@yandex.ru
ORCID iD: 0009-0009-6539-303X
SPIN-code: 8847-8660
Scopus Author ID: 58168623600
Junior Research Associate, Leading Engineer
Russian Federation, Sevastopol; SevastopolIlona V. Kovaleva
A. O. Kovalevsky Institute of Biology of the Southern Seas, RAS
Email: ila.82@mail.ru
ORCID iD: 0000-0001-5430-2002
SPIN-code: 2356-4570
Scopus Author ID: 56405274600
ResearcherId: AAB-4397-2019
Research Associate, PhD (Biol.)
Russian Federation, SevastopolElena Yu. Georgieva
A. O. Kovalevsky Institute of Biology of the Southern Seas, RAS
Email: e-georgieva@mail.ru
ORCID iD: 0000-0002-8177-0781
SPIN-code: 1051-8304
Scopus Author ID: 57193546928
Leading Engineer
Russian Federation, SevastopolReferences
- Kozhurin, E.A., Shlyakhov, V.A. and Gubanov, E.P., 2018. Crimea Commercial Fish Dynamics in the Black Sea. Trudy VNIRO, 171, pp. 157‒169 (in Russian).
- Golovanov, V.I., Anfimova, A.Yu. and Melnichenko, N.F., 2021. Improving the Mechanisms for Managing the Environmental Situation in the Republic of Crimea on the Eve of the 2021 Tourist Season. Municipal Academy, (2), pp. 162‒169. https://doi.org/10.52176/2304831X_2021_02_162 (in Russian)
- Sovga, E.E., Korshenko, A.N., Mezentseva, I.V., Khmara, T.V. and Pogozheva, M.P., 2022. Environmental Monitoring System in the Azov and Black Sea Basin. Ecological Safety of Coastal and Shelf Zones of Sea, (2), pp. 19–37.
- Verzhevskaya, L.V. and Minkovskaya, R.Yа., 2020. Structure and Dynamics of Anthropogenic Load on the Coastal Zone of the Sevastopol Region. Ecological Safety of Coastal and Shelf Zones of Sea, (2), pp. 92–106. https://doi.org/10.22449/2413-5577-2020-2-92-106 (in Russian).
- Ivanov, V.A. and Belokopytov, V.N., 2013. Oceanography of the Black Sea. Sevastopol: EKOSI-Gidrofizika, 210 p.
- Myslivets, V.I., Rimsky-Korsakov, N.A., Korotaev, V.N., Pronin, A.A. and Porotov, A.V., 2021. [Geophysical and Geomorphological Studies of the Crimean Shelf]. In: GeoEurasia, 2021. [Proceedings of the International Geological and Geophysical Conference and Exhibition “GeoEurasia-2021. Geological Exploration in the Today’s Reality”. 2–4 March, 2021]. Tver: OOO “PoliPRESS”. Vol. II, pp. 244–247 (in Russian).
- Rimsky-Korsakov, N.A., Korotaev, V.N., Myslivets, V.I., Porotov, A.V., Pronin, A.A. and Ivanov, V.V., 2019. The Geomorphology and History Formation of Western Shelf of Crimea. Journal of Oceanological Research, 47(4), pp. 161–176. https://doi.org/10.29006/1564-2291.JOR-2019.47(4).11 (in Russian).
- Demyshev, S.G., Dymova, O.A. and Miklashevskaya, N.A., 2022. Spatio-Temporal Variability of Hydrophysical and Energy Characteristics of the Black Sea Circulation During Prevalence Movements of Different Scale. Journal of Oceanological Research, 50(3), pp. 27–50. https://doi.org/10.29006/1564-2291.JOR-2022.50(3).2 (in Russian).
- Balykin, P.A., Kutsyn, D.N. and Startsev, A.V., 2021. Fishing Under Climate Change: Dynamics of Composition and Structure of Catches in the Russian Black Sea in the XXI Century. Marine Biological Journal, 6(3), pp. 3–14. https://doi.org/10.21072/mbj.2021.06.3.01
- Yunev, O.A., Konovalov, S.K. and Velikova, V., 2019. Anthropogenic Eutrophication in the Black Sea Pelagic Zone: Long-Term Trends, Mechanisms, Consequences. Moscow: GEOS, 164 p. https://doi.org/10.34756/GEOS.2019.16.37827 (in Russian).
- Zaitsev, Yu. and Mamaev, V., 1997. Marine Biological Diversity in the Black Sea. A Study of Change and Decline. New York: United Nations Publications, 208 p. Available at: https://digitallibrary.un.org/record/245415?ln=ru [Accessed: 14 April 2024].
- Akpinar, A., Sadighrad, E., Fach, B.A. and Arkin, S., 2022. Eddy Induced Cross-Shelf Exchanges in the Black Sea. Remote Sensing, 14(19), 14881. https://doi.org/10.3390/rs14194881
- Suslin, V.V. and Churilova, T.Ya., 2016. A Regional Algorithm for Separating Light Absorption by Chlorophyll-a and Coloured Detrital Matter in the Black Sea, Using 480–560 nm Bands from Ocean Colour Scanners. International Journal of Remote Sensing, 37(18), pp. 4380–4400. https://doi.org/10.1080/01431161.2016.1211350
- Kovalyova, I.V. and Suslin, V.V., 2022. Integrated Primary Production in the Deep-Sea Regions of the Black Sea in 1998–2015. Physical Oceanography, 29(4), pp. 404–416. https://doi.org/10.22449/1573-160X-2022-4-404-416
- Piatinskii, M.M., Shlyakhov, V.A. and Afanasiev, D.F., 2022. Crimean-Caucasian Black Sea Sprat Updated Stock Assessment Results During the Period 2001–2021. In: MSU, 2022. Proceedings of the XI International Conference Marine Research and Education. MARESEDU-2022. Moscow, 24–28 October 2022. Vol. III (IV). Tver: PoliPRESS, pp. 393–397 (in Russian).
- Stafikopulo, A.M. and Negoda, S.A., 2021. Dynamics of the Industrial Fishing Indices of the European Anchovy in the Azov and Black Sea Basin in Recent Years. Aquatic Bioresources and Environment, 4(1), pp. 50–70. https://doi.org/10.47921/2619-1024_2021_4_1_50 (in Russian).
- Akpinar, A., Sadighrad, E., Fach, B.A. and Arkin, S., 2022. Eddy Induced Cross-Shelf Exchanges in the Black Sea. Remote Sensing, 14, 14881. https://doi.org/10.3390/rs14194881
- Akpınar, A. and Bingölbali, B., 2016. Long-Term Variations of Wind and Wave Conditions in the Coastal Regions of the Black Sea. Natural Hazards, 84, pp. 69–92. https://doi.org/10.1007/s11069-016-2407-9
- Tokarev, V.N., Evstigneev, P.V. and Mashukova, O.V., 2016. [Plankton Bioluminescents of the World Ocean: Species Diversity, Light Emission Characteristics Under Normal Conditions and Anthropogenic Impact]. Simferopol: N. Orianda, 340 p. (in Russian).
- Petipa, T.C., 1957. [On Average Weight of Main Zooplankton Forms of the Black Sea]. In: Academy of Sciences of the USSR, 1957. Trudy Sevastopolskoy Biologicheskoy Stantsii, 9, pp. 39–57 (in Russian).
- Wang, F., Shao, W., Yu, H., Kan, G., He, X., Zhang, D., Ren, M. and Wang, G., 2020. Re-Evaluation of the Power of the Mann-Kendall Test for Detecting Monotonic Trends in Hydrometeorological Time Series. Frontiers in Earth Science, 8, https://doi.org/10.3389/feart.2020.00014
- Polonskii, A.B. and Muzyleva, M.A., 2016. Modern Spatial-Temporal Vartiability of Upwelling in the North-Western Black Sea and Off the Crimea Coast. Izvestiya RAN. Seriya Geograficheskaya, (4), pp. 96–108. https://doi.org/10.15356/0373-2444-2016-4-96-108 (in Russian).
- Kuznetsov, A.S., Zima, V.V. and Shcherbachenko, S.V., 2020. Variability of Characteristics of the Coastal Current at the Southern Coast of Crimea in 2017–2019. Ecological Safety of Coastal and Shelf Zones of Sea, (3), pp. 5–16. https://doi.org/10.22449/2413-5577-2020-3-5-16 (in Russian).
- Yurovsky, Yu.Yu., Malinovsky, V.V., Korinenko, A.E., Glukhov, L.А. and Dulov, V.A., 2023. Prospects for Radar Monitoring of Wind Speed, Wind Wave Spectra and Velocity of Currents from an Oceanographic Platform. Ecological Safety of Coastal and Shelf Zones of Sea, (3), pp. 40–54.
- Artamonov, Yu.V., Alekseev, D.V., Skripaleva, E.A., Shutov, S.A., Deryushkin, D.V., Zavyalov, D.D., Kolmak, R.V., Shapovalov, R.O., Shapovalov, Yu.I., Fedirko, A.V. and Shcherbachenko, S.V., 2017. Thermohaline Structure of Water near the Crimea Coast and Adjacent Open Water Area of the Black Sea at Summer 2016. In: MHI, 2017. Ecological Safety in Coastal and Shelf Zones of the Sea. Sevastopol: ECOSI-Gidrofizika. Iss. 3, pp. 20–31 (in Russian).
- Artamonov, Yu.V., Fedirko, A.V., Skripaleva, E.A., Shutov, S.A., Deryushkin, D.V., Kilmak, R.V., Zavyalov, D.D., Shapovalov, R.O., Shapovalov, Yu.I. and Shcherbachenko, S.V., 2019. Water Structure in the Ara of the Rim Black Sea Current in Spring and Summer 2017 (94th, 95th Cruises of the R/V “Professor Vodyanitsky”). Ecological Safety in Coastal and Shelf Zones of the Sea, (1), pp. 16–28. EDN ABVXOP. https://doi.org/10.22449/2413-5577-2019-1-16-28 (in Russian).
- Kubryakov, A., Aleskerova, A., Plotnikov, E., Mizyuk, A., Medvedeva, A. and Stanichny, S., 2023. Accumulation and Cross-Shelf Transport of Coastal Waters by Submesoscale Cyclones in the Black Sea. Remote Sensing, 15(18), 4386. https://doi.org/10.3390/rs15184386
- Dorofeev, V.L. and Sukhikh, L.I., 2023. Analysis of Long-Term Variability of Hydrodynamic Fields in the Upper 200-Meter Layer of the Black Sea Based on the Reanalysis Results. Physical Oceanography, 30(5), pp. 581–593.
- Panov, B.N., Spiridonova, E.O., Piatinskii, M.M. and Stytsyuk, D.R., 2020. On the Role of Temperature as a Factor Influencing the Behavior of the European Sprat and the Efficiency of its Fishing. Aquatic Bioresources and Environment, 3(1), pp. 106–113. https://doi.org/10.47921/2619-1024_2020_3_1_106 (in Russian).
- Seregin, S.A. and Popova, E.V., 2019. Different-Scale Variations in the Abundance and Species Diversity of Metazoan Microzooplankton in the Coastal Zone of the Black Sea. Water Resources, 46(5), pp. 769–779. https://doi.org/10.1134/S009780781905018X
- Gruzinov, V.M., Dyakov, N.N., Mezenceva, I.V., Malchenko, Y.A., Zhohova, N.V. and Korshenko, A.N., 2019. Sources of Coastal Water Pollution near Sevastopol. Oceanology, 59(4), pp. 523–532. https://doi.org/10.1134/S0001437019040076
- Dyakov, N.N., Korshenko, A.N., Malchenko, Yu.A., Lipchenko, A.E., Zhilyaev, D.P. and Bobrova, S.A., 2018. Hydrological and Hydrochemical Conditions of the Crimean and Caucasus Shelf Zones in 2016–2017. In: Kabatchenko, I.M., ed., 2018. Proceedings of N.N. Zubov State Oceanographic Institute. Moscow. Vol. 219, pp. 66–87 (in Russian).
- Stelmakh, L.V. and Mansurova, I.M., 2021. Functional State of the Marine Microalgae Cultures as an Indicator of the Water Pollution Level of the Sevastopol Bay. Monitoring Systems of Environment, (4), pp. 83–90. https://doi.org/10.33075/2220-5861-2021-4-83-90 (in Russian).
- Rudneva, I.I., 2022. Assessment of Mazut Toxicity for Embryos of Two Sea Fish Species. Ecological Safety of Coastal and Shelf Zones of Sea, (2), pp. 118–127. https://doi.org/10.22449/2413-5577-2022-2-118-127
- Lapota, D., Osorio, A.R., Liao, C. and Bjorndal, B., 2007. The Use of Bioluminescent Dinoflagellates as an Environmental Risk Assessment Tool. Marine Pollution Bulletin, 54(12), pp. 1857–1867. https://doi.org/10.1016/j.marpolbul.2007.08.008
- Seuront, L., 2011. Hydrocarbon Contamination Decreases Mating Success in a Marine Planktonic Copepod. PLOS One. 2011. Vol. 6, iss. 10, e26283. https://doi.org/10.1371/journal.pone.0026283
- Temerdashev, Z.A, Pavlenko, L.Ph., Karpokova, I.G., Ermakova, Ya.S. and Ekilik, V.S., 2016. Some Methodological Aspects of Oil Pollution Evaluation of Water Bodies Based on the Degradation of Petroleum Products over Time. Analytics and Control, 20(3), pp. 225–235. https://doi.org/10.15826/analitika.2016.20.3.006 (in Russian).
- Bryantseva, Yu.V., Krahmalnyi, A.F., Velikova, V.N. and Sergeeva, O.V., 2016. Dinoflagellates in the Sevastopol coastal zone (Black Sea, Crimea). International Journal of Algae, 18(1), pp. 21–32. https://doi.org/10.1615/InterJAlgae.v18.i1.20
- Kovalyova, I.V., Finenko, Z.Z. and Suslin, V.V., 2021. Trends of Long-Term Changes in Chlorophyll Concentration, Primary Production of Phytoplankton and Water Temperature in the Shelf Regions of the Black Sea. Sovremennye Problemy Distantsionnogo Zondirovaniya Zemli iz Kosmosa, 18(4), pp. 228–235. https://doi.org/10.21046/2070-7401-2021-18-4-228-235 (in Russian).
- Bryantseva, Yu.V., Serikova, I.M. and Suslin, V.V., 2014. Interannual Variability of the Dinoflagellates Diversity and Bioluminescence Fields off the Coast of Sevastopol In: TNU, 2014. Optimization and Protection of Ecosystems. Simferopol: TNU. Iss. 11, pp. 158–164 (in Russian).
- Vinogradov, M.E. and Shushkina, E.L., 1987. [Functioning of Plankton Communities in the Epipelagial Ocean]. Moscow: Nauka, 240 p. (in Russian).
- Piontkovski, S.A., Williams, R. and Melnik, T.A., 1995. Spatial Heterogeneity, Biomass and Size Structure of Plankton of the Indian Ocean: Some General Trends. Marine Ecology Progress Series, 117(1/3), pp. 219–227. https://doi.org/10.3354/meps117219
- Glushchenko, T.I., 2011. Nutrition and Assessment of Black Sea Sprat in 2009–2010. In: YugNIRO, 2011. YugNIRO Proceedings. Kerch: YugNIRO. Vol. 49, pp. 34–39 (in Russian).
- Latun, V.S., 2017. Influence of Connatural and Anthropogenous Factors on Trade Stores Dynamics of the Black Sea Anchovy. In: MHI, 2017. Ecological Safety оf Coastal and Shelf Zones of the Sea. Sevastopol : ECOSI-Gidrofizika. Iss. 1, pp. 79–86 (in Russian).
- Klimova, T.N., Subbotin, A.A., Melnikov, V.V., Serebrennikov, A.N., Podrezova, P.S., 2019. Spatial Distribution of Ichthyoplankton near the Crimean Peninsula in the Summer Spawning Season 2013. Marine Biological Journal, 4(1), pp. 63−80. https://doi.org/10.21072/mbj.2019.04.1.06 (in Russian).
- Podrezova, P.S., Klimova, T.N. and Vdodovoch, I.V., 2021. Shifts in the Spawning Phenology of the Black Sea Mass Short-Cycle Species (Sprattus Sprattus and Engraulis Encrasicolus) Against the Background of Climatic Changes. In: MSU, 2021. Proceedings of the X International Conference Marine Research and Education. MARESEDU-2021. Moscow, 25–29 October 2021. Vol. II (III). Tver: PoliPRESS, pp. 293–296 (in Russian).
Supplementary files











