A simulation growth model for the cultured oyster Ostrea edulis L.
- Authors: Filippova T.A.1, Vasechkina E.F.1
-
Affiliations:
- Marine Hydrophysical Institute of RAS
- Issue: No 4 (2023)
- Pages: 87-100
- Section: Статьи
- URL: https://journals.rcsi.science/2413-5577/article/view/255623
- EDN: https://elibrary.ru/NZYAOP
- ID: 255623
Cite item
Abstract
Cultivation of the flat oyster Ostrea edulis L., which has lost its commercial value due to reduction in abundance, is a relevant task. Simulation models of the flat oyster’s growth can be used to improve oyster cultivation methods. The proposed simulation model of the O. edulis growth dynamics is based on the principles of dynamic energy balance. The model uses approximations of the oyster’s physiological processes (filtration, respiration, excretion, growth, spawning) derived from published observational data. The paper determines functional dependencies of approximation parameters on the environmental conditions. The model was validated using in situ data on the linear and weight growth of the oyster O. edulis cultured in Donuzlav Bay for 30 months from April 2001 to October 2003. The model allowed us to obtain the dynamics of the energy balance components of the flat oyster at different life-cycle stages. The resulting quantitative distribution of growth energy between generative and somatic tissues of the oyster is confirmed by the qualitative description of the oyster’s tissue growth based on in situ measurements. The developed model reproduces well the qualitative and quantitative characteristics of the flat oyster functioning processes. The model of the oyster’s energy balance can be used as a block of a complex ecological model simulating the cultivation of mollusks on an oyster farm.
Keywords
Full Text
Introduction
The oyster Ostrea edulis is one of the most valuable species of the Black Sea coast mollusks. However, at present this species has lost its commercial value due to a shell fungal disease. In the second half of the last century, a catastrophic reduction in the habitat of the Ostrea edulis species took place in the Black Sea. It caused the work on artificial reproduction of the mollusks, which has been carried out since the 1980s. [1]. Thus, studies devoted to the quantitative description of physiological processes of this species are relevant and can be demanded when developing this mariculture.
In recent years, researchers have invested quite a lot of efforts to create mathematical models that make it possible to simulate the dynamics of oyster growth depending on such environmental parameters as water temperature and feed suspension concentration. This paper is aimed at development of such a model for the oyster O. edulis cultured in Donuzlav Bay, a specific area of the Crimean coast. First, let us consider a number of the most interesting models close to our purpose, proposed by other authors [2–8].
In [2], a simulation model of population dynamics of the species Magallana gigas is given. The authors analyzed in situ data describing the growth of oysters, established functional dependencies of the growth rate on the size of the mollusk, then used the obtained dependencies as parameterizations in the population model. Due to the fact that filtration, respiration and excretion proceed differently in oysters of different stages of development, the researchers introduced separate mathematical functions to describe each stage of the oyster's life cycle and considered them separately from each other. The disadvantage of this approach is the difficulty in describing the continuous growth of individuals in a population.
In [3], a growth model of the Pacific oyster M. gigas cultivated in the Thau Lagoon, France, is presented. The control variables of the model are water temperature, concentration of organic matter and chlorophyll a, as well as salinity of waters. The model was verified based on the data concerning the linear and weight growth of two oyster populations grown in the lagoon in 2000–2001. The authors concluded that their model showed good field and simulation data convergence, but better results could be achieved using dynamic energy budget (DEB) models.
Thus, their later work [4] shows the model based on the DEB approach. The results of oyster growth modelling with an empirical model were compared with the results obtained using the DEB model. The latter makes it possible to achieve a better correspondence of the simulation results to the in situ data on the weight and linear growth of oysters [3].
In [5], the DEB model of the oyster M. gigas growth, which is quite universal for the Atlantic coast marine ecosystems, is presented. The authors applied a unified approach to six different ecosystems and used a nutrition coefficient that takes into account the peculiarities of the nutritional activity of oysters under various external conditions. The model reproduces well the periods of spawning and loss of biomass in the autumn-winter period. The disadvantage is the absence of an explicit dependence of the model variables on water temperature. The authors noted that the water temperature in all the considered areas was approximately the same in winter, and significant differences occurred in summer. Nevertheless, the model uses the same set of parameters for all locations, with the exception of the nutrition coefficient.
A similar model was developed for several Pacific coast marine ecosystems [6]. The oyster M. gigas growth DEB model showed good results when compared with measurement data of parameters that determined the growth and spawning processes. However, the authors concluded that three studied locations were characterized by similar external conditions. Therefore, in order to apply this model under conditions other than the specified ones, the model should be detailed by including a number of values that take into account different environmental conditions.
In [7], the DEB model is used to compare the life cycles of two oyster species: O. edulis and M. gigas. The DEB approach allowed the authors to determine the reaction of the two species to an increase in the average annual water temperature by 2 °C. M. gigas demonstrated sufficient resistance to environmental changes, while O. edulis changed its life cycle due to the suppression of spawning. Based on the results of the work, the authors were able to estimate the values of environmental parameters necessary to ensure the sustainable growth of the oysters O. edulis. The model was developed for regional conditions of the Limfjord, Denmark.
In [8], a mathematical model of the growth of the mussel Mytilus galloprovincialis was presented. The model was developed in accordance with the dynamic energy balance principles. The authors considered filtration, respiration, spawning and excretion of mussels in detail. The model was verified with in situ data obtained at a mussel farm in the Crimean coastal zone.
The given examples of successful application of DEB models determine our choice of constructing a simulation model of the oyster O. edulis based on the energy balance equation. The analysis of literature sources revealed that regional features played an important role in the construction of the model, since they significantly determine the specific type of parameterizations for the main physiological processes. In this regard, it seems relevant to develop a simulation model for the O. edulis cultivated in Donuzlav Bay. The model should describe the processes of assimilation of food, excretion, respiration, growth, reproduction. This paper aims at the development of such a model using the approaches described in [2–8] and its verification based on in situ observations.
Materials and methods
There are several marine farms in Donuzlav Bay where oysters and mussels are grown. Basically, all farms are concentrated in the central Donuzlav Bay. Many years of marine farming experience in this bay indicate the suitability of this water area for the cultivation of oysters and mussels [9]. With this in mind, the central Donuzlav Bay was selected for the test calculation as a possible location for oyster O. edulis mariculture.
Dynamic energy balance model. The main physiological processes that determine oyster growth are filtration, food consumption, respiration, excretion and spawning. The model below describes mathematically these processes for oysters that have already passed the larval stage and are fixed on a solid substrate. The model is built in accordance with the concept of dynamic energy balance. The quantitative characteristics of the processes are expressed in energy units: calories or joules. To switch from mass units to energy ones, the coefficients of caloric content of oyster tissues are used.
The energy balance is formed and then changes depending on physiological processes of the oyster, which, in their turn, depend on its weight, age, water temperature, salinity, period of year, availability of resources and individual characteristics. When using this approach in practice, in the mollusk life cycle simulation model, it is necessary to describe mathematically all the physiological processes for a particular species as accurately as possible. This requires data from in situ observations and laboratory experiments. In this paper, we used approximations obtained from in situ data (Table) presented mainly in the thesis 1) and the works of N.A. Sytnik [10, 11].
Morphometric relations. The wet weight of the oyster W (g) is represented as the sum of the shell Wsh (g) and soft tissues Wsoft (g) weights. The wet and dry weight of the mollusk soft tissues is related by the ratio Wd = 0.11Wsoft [12].
As the oyster grows, the height of the shell also increases. Based on the in situ data presented in work 1), we proposed the following approximation of the dependence of the shell height on the wet weight of the mollusk:
if Wsoft ≤ 0.35 г ,
if Wsoft > 0.35 г
Food consumption. The oyster receives all the nutrients, i. e. the energy spent on maintaining the structure and growth, from seawater containing a feed suspension – phytoplankton and detritus. During the filtration process, the mollusk consumes the energy of diet I (cal/h), but assimilates only a part of it: A = I – Ea, where Ea – undigested part of the diet. The mollusk spends the assimilated energy on respiration R with the release of metabolites Ex, growth of soft tissues Psom, gonads Pgen and increase of the shell Psh:
A = R + P + Ex;
P = Psom + Pgen + Psh,
where P – productive energy, cal/h; R – respiration cost, cal/h; Ex – excreted energy, cal/h. Thus, the distribution of energy costs of a flat oyster can be simplified in the form of the balance equation:
I = P + R + Ea + Ex. (1)
Let us consider the components of balance (1) in more detail. The consumed energy (or diet) depends on the filtration rate F (L/h), concentration of feed suspension in water С (mg/L) and caloric content of the suspension Kс (cal/mg): I = F·KC·C. The amount of assimilated energy depends on the efficiency of digestion, traditionally described with the assimilation coefficient: A = Ae·F·KC·C. Then, the total energy release can be considered as follows: E = F·KC·C (1 – Ae) + Ex.
Productive energy. When growing, the oyster increases the mass of the shell and of soft tissues. Let us assume that the weight of the shell can increase or remain unchanged, while the mass of soft tissues can both increase and decrease depending on the periods of life (the spawning state or nutrient deficiency can lead to weight loss). The change in body weight of the oyster depends on the amount of energy spent by the body when growing:
where Kd = 5307 cal/(g DW) – caloric content of the dry weight of oyster soft tissues; Wd – dry weight of the soft tissues, g. According to [10], the energy costs for the shell growth Psh amount on average to 12% of the total productive energy available to a mollusk, based on energy balance equation (1). Taking into account these observations, we assumed that Psom + Pgen = 0.88P in the model
Spawning. The growth of oysters is closely related to the spawning process. To start spawning, a number of conditions must be met. As a rule, oysters spawn at a shell height of more than 35 mm and a mass of generative tissues of more than 0.015 g dry weight. The researchers note that in different regions, the beginning of O. edulis oyster spawning can occur at different water temperature. Thus, in Galicia (Spain), oysters spawn at a temperature of 12–13 °C, in the Northern Adriatic (Italy) – at a temperature of 13–17 °C, in the Norwegian fjords – at a temperature of 25 °C [1, 13, 14]. For the Black Sea, in situ data on the intensity of spawning processes show that the temperature range of spawning is 17–25 °C [1, 10]. This range of water temperature was adopted in the model. The distribution of energy spent on the growth of somatic and generative tissues can be estimated using the empirical energy costs ratio Pgen/Psom. According to [15], this ratio increases linearly with the mollusk size, and for the oyster O. edulis it can be expressed by the following equation:
, (2)
The model assumes the condition according to which positive productive energy is distributed between Psom and Pgen in accordance with equation (2), and Pgen is assumed to be zero with negative one (nutrient deficiency).
Filtration. The European oyster filtration intensity depends on the age and size of the mollusk, water temperature, concentration of feed suspension and its caloric content, and the time of day. With an increase in water temperature from 7 to 23 °C, the intensity of mollusks filtration increases, and with a further increase in water temperature, it decreases. At a temperature of 7 °C and below, the vital activity of the mollusk is suppressed [11]. The filtration rate, like some other vital functions of a mollusk, can be approximated by a power function of dry body weight – an allometric dependence. Also, taking into account the dependence of the filtration rate on water temperature, we write the following:
,
if T < 23 °C af (T) = 0.1161T – 0.2678,
if T ≥ 23 °C af (T) = –0.1T + 4.67,
bf (T) = 10–4 T2 + 0.0046 T + 0.38.
where T – water temperature, °С; af (T) and bf (T) – empirical coefficients obtained from in situ data (Table).
Coefficients of allometric dependencies of the form aWdb for the main physiological processes (based on the works of N. A. Sytnik and R. Mann)
Process | Temperature, °С | Coefficient | Work | |
a | b | |||
Filtration | 7 | 0.54 | 0.443 | [11] |
10 | 0.88 | 0.435 | ||
13 | 1.20 | 0.583 | ||
16 | 1.69 | 0.512 | ||
20 | 2.05 | 0.602 | ||
23 | 2.37 | 0.487 | ||
27 | 1.97 | 0.606 | ||
Respiration | 6 | 0.112 | 0.617 | Work 1) |
11 | 0.291 | 0.773 | ||
13 | 0.320 | 0.813 | ||
18 | 0.491 | 0.688 | ||
19 | 0.475 | 0.721 | ||
23 | 0.725 | 0.737 | ||
Excretion | 12 | 10.92 | 0.601 | [16] |
15 | 13.88 | 0.501 | ||
18 | 12.71 | 0.796 | ||
21 | 11.73 | 0.874 | ||
Note: The estimates were derived from in situ data.
Observations show that the filtration rate depends on the concentration of feed suspension in the water. There is a kind of optimal concentration, above and below which the filtration rate decreases. To record these features, it is necessary to introduce a modulating function varying from 0 to 1 [8]. The filtration rate in situ data given in [11], were approximated by the following function (Fig. 1):
FC = 0.4 + 0.65 C exp(–0.18 C 2.3).
Fig. 1. Dependence of the normalized to maximum filtration rate on the feed suspension concentration in water
Thus, the filtration rate is determined as F = FT FC, and the diet (consumption) – as I = KC FT FC C.
According to [11], oysters filter water only during a certain part of the day. The minimum filtration time is 6 hours for small oysters. With the growth of an individual, it increases to 18 hours. To record the duration of filtration, an empirical function was introduced into the model, which made it possible to calculate the number of filtration hours: h = 6 + 14t/(t + 50), where t – time since the oyster was attached to the substrate.
Respiration. Bivalves spend part of the assimilated energy on metabolic processes, namely, respiration. The intensity of respiration is determined by water temperature and size of the oyster. Based on the in situ data presented in Table, the following approximation was obtained:
ar (T) = 0.0357T – 0.1161,
br (T) = 0.0042T + 0.642,
where RO – oxygen consumption rate, mL О2/h. The oxycaloric coefficient Kox = 4.74 cal/mL О2 (the ratio of the amount of energy in calories released during the oxidation of matter to the mass of oxygen consumed by the hydrobiont) was used for the conversion into energy units. Therefore, the respiration costs are R = RO Kox.
Excretion. The energy assimilated by the oyster is also spent on excretion of metabolites from the body. The main excreted substance is ammonium. The rate of excretion depends on the water temperature and size of the mollusk, which can be expressed by an allometric equation. The maximum excretion rate of the oyster O. edulis is observed at a temperature of about 15 °C. Above and below this value, the rate decreases slightly [16]. Table shows the coefficients of the allometric excretion equation obtained under laboratory conditions at different water temperatures. Based on these values, the approximation was performed and an allometric excretion equation was derived, which is a function of two variables (water temperature and dry weight of the oyster):
при T < 15 °C aex (T) = 0.9867 T – 0.92,
при T ≥ 15 °C aex (T) = –0.3583 T + 19.22,
bex (T) = 0.0371 T + 0.0803,
where Am – excretion rate, μg NH4/h. Taking into account the caloric content of oyster tissues and the percentage of nitrogen in the dry weight of soft tissues of the mollusk (7 % according to data from [16]), the excretion energy costs Ex (cal/h) can be calculated using the following formula:
Ex = 0.0758 Am,
where Ex – energy costs for excretion, cal/h.
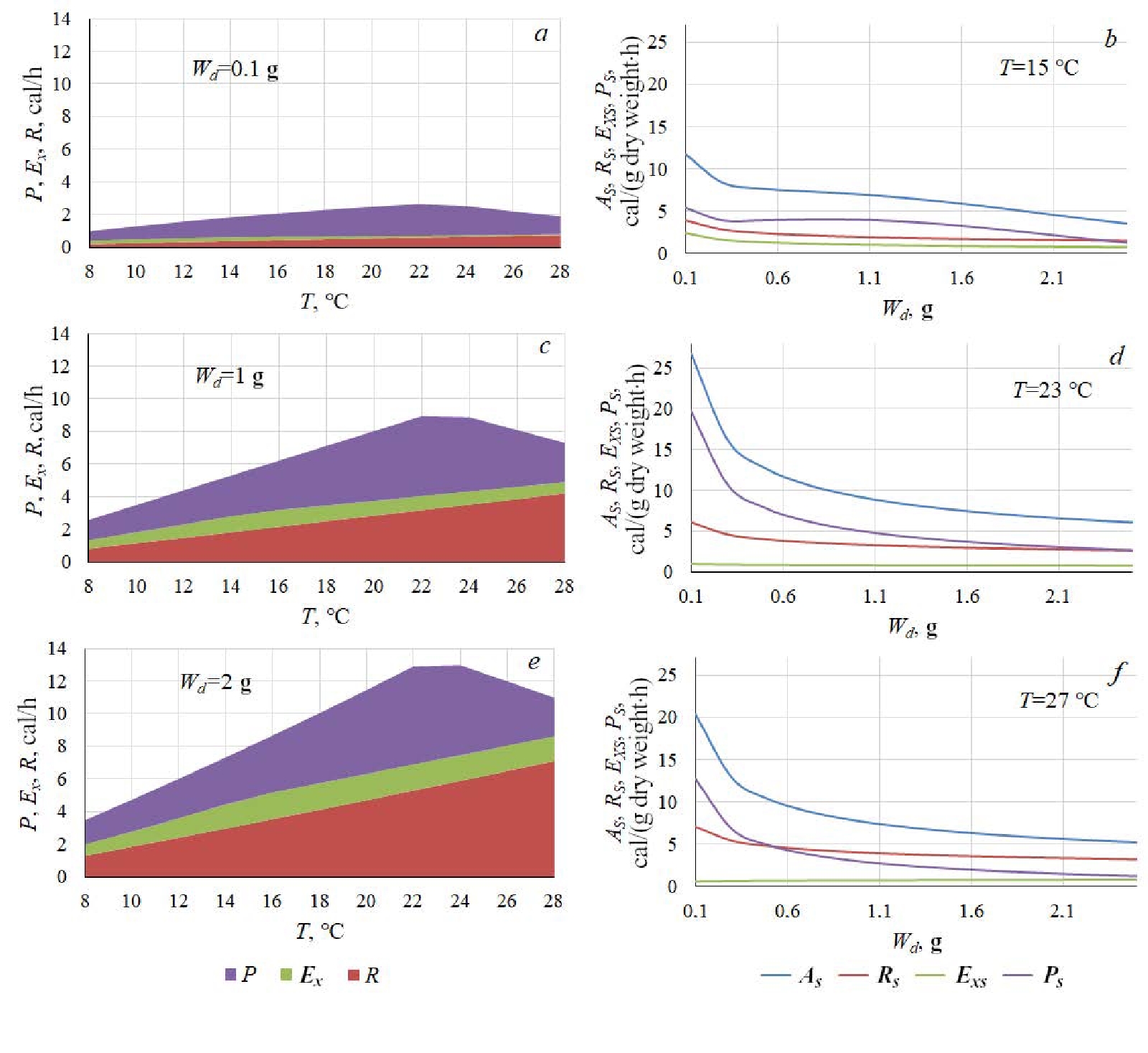
Energy balance components. A graphical description of the energy balance variations depending on water temperature and marine suspension concentration is of interest. Fig. 2 shows the model dependencies of the oyster energy balance components presented in absolute and specific terms. Fig. 2, a, c, e shows the distribution of assimilated energy among growth, excretion and respiration processes depending on temperature in oysters of various sizes. The larger the mollusk is, the more energy it is able to assimilate. The maximum values of assimilated energy are fixed at an ambient temperature of 22–24 °C, which takes place due to the maximum filtration rate in this temperature range (the most comfortable conditions for this species). In small oysters, more than half of the assimilated energy is spent on growth, while in larger mollusks, the growth and respiration energy costs are almost equal. At the same time, the size of the oyster has almost no effect on the amount of excreted energy, which accounts for 10–15% of the assimilated energy.
Fig. 2. Dependence of the energy balance components on water temperature T (a, c, e) and oyster dry weight Wd (b, d, f). P – productive energy; Ex – excretion energy; R – respiration costs; A – assimilated energy. The S indices denote specific quantities
Fig. 2, b, d, f shows specific (normalized for dry weight) components of the energy balance depending on the dry weight of soft tissues of the oyster for different temperatures. Some special features of the energy balance variations of oysters should be noted. At temperatures of 22–24 °C, assimilation and production take on maximum values. The growth energy costs are determined by the difference between assimilation and metabolic costs (respiration and excretion). In small-sized mollusks, productive energy exceed excretion and respiration, and less energy is spent on growth with increasing body weight. With the growth of a mollusk, the specific values of assimilated energy, growth energy and respiration decrease, while the excreted energy remains the same. In too warm water (27 °C), the respiration costs of oysters exceed the productive energy.
Fig. 3 shows the dynamics of changes in productive energy due to the combined action of two variables (feed suspension concentration and temperature) for oysters of two sizes: Wsoft = 4.5 g, H = 26 mm and Wsoft = 27 g, Н = 59 mm. For oysters of both sizes, it is possible to identify areas of lack of growth due to nutrient deficiency at low feed suspension concentrations in sufficiently warm water. The growth of oysters begins at a feed suspension concentration above 1 mg/L and a temperature greater than 8 °C. Maximum growth rates are observed at a maximum feed suspension concentration and a temperature of 23 °C.
Fig. 3. Dependence of the productive energy on water temperature and feed suspension concentration for oysters with a shell height of 26 mm (a) and 59 mm (b)
Discussion of results
Model validation. The study 1) presents in situ data on the linear and weight growth of oysters O. edulis cultured in Donuzlav Bay for 30 months from April 2001 to October 2003. The intervals between successive measurements of the average weight and height of oysters vary from 1 to 2 months. The model was validated by comparing the simulation results with these data. The model integration step was one day. The time of the model experiment was 30 months. The experiment began on 19 April 2001 and ended on 29 October 2003. The series of control variables for the model (water temperature and suspension concentration) were also taken from work 1) (Fig. 4). They corresponded to the average characteristics of the central Donuzlav Bay during the study of the mollusks growth .
Fig. 4. Environmental parameters of the central Donuzlav Bay which affect the oyster cultivation. The red curve is water temperature; the blue curve is feed suspension concentration
Fig. 5 shows modelling results compared with in situ data. Linear and weight growth indicators demonstrate good convergence with in situ data. However, there are some differences. The model graph of oyster weight dynamics shows some peculiarities corresponding to the beginning of spawning periods. Such features are not recorded in the in situ data due to their large discreteness, which makes it impossible to record such rapid changes in the physiological state of oysters. During 30 months of model integration, oyster spawning was recorded three times: in June 2002, April and July 2003. Thus, the oysters spawned 15, 25 and 28 months after their attachment to a solid substrate.
Fig. 5. Simulation results (curve) compared with in situ data (squares) on the oyster growth at a farm in Donuzlav, 2001–2003: а – total fresh weight; b – linear size
The simulation results allow detailed studying the dynamics of the energy balance components of cultivated oysters. Fig. 6 shows how much energy the oyster assimilates daily and how this energy is distributed among the processes of growth, respiration and excretion during 30 months of cultivation. Assimilated energy maxima correspond to feed suspension concentration maxima, which are usually followed by spawning periods. Productive energy is positive for a long time, and a mollusk grows. However, as a result of spawning, mass of a mollusk decreases, the assimilated energy is not enough to cover the costs of respiration and excretion, and growth is inhibited.
Fig. 6. Dynamics of the energy-balance components distribution during 30 months of cultivation
Two periods of mollusk growth inhibition, which are not related to spawning, are recorded during the cultivation. They are determined by a sharp decrease in the feed suspension concentration (negative values P in Fig. 6). Similar conclusions were drawn from in situ experiments given in study 1) and [17].
The distribution of growth energy between generative and somatic tissues is of interest. In the first year of cultivation, Pgen/Psom increases from 10 to 16%, the mollusk develops to an adult state, increasing mainly somatic tissues. In the second year, Pgen/Psom increases from 16 to 33%, the oyster is already quite large, most of the productive energy is spent on the growth of generative tissues needed to ensure reproduction. During the third year of observations, the energy costs for growth of generative tissues increase to 47%. These modelling results confirm the qualitative conclusions on the flat oyster growth made in study 1) and [17].
Conclusion
The study presents the simulation model of flat oyster growth. The model makes it possible to calculate the energy of respiration, filtration, excretion, reproduction processes. The paper examines the processes of functioning of the oyster O. edulis in detail and identifies factors (temperature, feed suspension concentration, age of an individual) that affect these processes and their relationship. Approximations of such vital functions of the oyster as respiration, filtration, excretion, spawning are proposed.
The model was validated using in situ data obtained during the study of the oyster O. edulis cultured in Donuzlav Bay in 2001–2003. The simulation results show good qualitative and quantitative correspondence to the in situ data on linear and weight growth, distribution of energy costs, ratio of the energy spent on growth of generative tissues to the energy of structural growth. The model can be used as a block of a complex ecological model simulating the cultivation of mollusks on an oyster farm.
1) Sytnik, N.A., 2015. [Functional Ecology of the flat oyster (Ostrea edulis L., 1758, Ostereidae, Bivalvia) of the Black Sea. Extended Abstract of Doctoral Dissertation]. Sevastopol, 23 p. (in Russian).
About the authors
Tatiana A. Filippova
Marine Hydrophysical Institute of RAS
Author for correspondence.
Email: filippovata@mhi-ras.ru
ORCID iD: 0000-0001-5762-5894
Scopus Author ID: 56190548500
ResearcherId: AAO-5512-2020
Junior Research Associate
Russian Federation, 299011, Sevastopol, Каpitanskaya St., 2Elena F. Vasechkina
Marine Hydrophysical Institute of RAS
Email: vasechkina.elena@gmail.com
ORCID iD: 0000-0001-7007-9496
Scopus Author ID: 6507481336
ResearcherId: P-2178-2017
Deputy Director for Research, Methodology and Education, DrSci (Geogr.)
Russian Federation, 299011, Sevastopol, Каpitanskaya St., 2References
- Krakatitsa, T.F., 1976. [Biology of the Black Sea Oyster Ostrea edulis L. Concerning its Reproduction]. Kiev: Naukova Dumka, 80 p. (in Russian).
- Kobayashi, M., Hofmann, E.E., Powell, E.N., Klink, J.M. and Kusaka, K., 1997. A Population Dynamics Model for the Japanese Oyster, Magallana gigas. Aquaculture, 149, pp. 285–321. doi: 10.1016/S0044-8486(96)01456-1
- Gangnery, A., Chabirand, J.-M., Lagarde, F., Le Gall, P., Oheix, J., Bacher, C. and Buestel, D., 2003. Growth Model of the Pacific oyster, Magallana gigas, Cultured in Thau Lagoon (Méditerranée, France). Aquaculture, 215(1–4), pp. 267–290. doi: 10.1016/S0044-8486(02)00351-4
- Bacher, C. and Gangnery, A., 2006. Use of Dynamic Energy Budget and Individual Based Models to Simulate the Dynamics of Cultivated Oyster Populations. Journal of Sea Research, 56, pp. 140–155. doi: 10.1016/j.seares.2006.03.004
- Alunno-Bruscia, M. Bourlès, Y., Maurer, D., Robert, S., Mazurié, J., Gangnery, A., Goulletquer, P. and Pouvreau, S., 2011. A Single Bio-Energetics Growth and Reproduction Model for the oyster Magallana gigas in Six Atlantic Ecosystems. Journal of Sea Research, 66(4), pp. 340–348. doi: 10.1016/j.seares.2011.07.008
- Pouvreau, S., Bourles, Y., Lefebvre, S., Gangnery, A. and Alunno-Bruscia, M., 2006. Application of a Dynamic Energy Budget Model to the Pacific Oyster, Magallana gigas, Reared under Various Environmental Conditions. Journal of Sea Research, 56(2), pp. 156–167. doi: 10.1016/j.seares.2006.03.007
- Stechele, B., Maar, M., Wijsman, J., Van der Zande, D., Degraer, S., Bossier, P. and Nevejan, N., 2022. Comparing Life History Traits and Tolerance to Changing Environments of Two Oyster Species (Ostrea edulis and Magallana gigas) through Dynamic Energy Budget Theory. Conservation Physiology, 10(1), coac034. doi: 10.1093/conphys/coac034
- Vasechkina, E.F. and Kazankova, I.I., 2014. Mathematical Modelling of the Growth and Development of the Mussel Mytilus galloprovicialis on Artificial Substrates. Oceanology, 54(6), pp. 763–770. doi: 10.1134/S0001437014060113
- Vyalova, O.Yu., 2019. Growth and Terms of Obtaining Marketable Triploid Oystersin Donuzlav Liman (Black Sea, Crimea). Marine Biological Journal, 4(1), pp. 24–32. doi: 10.21072/mbj.2019.04.1.03
- Sytnik, N.A. and Polyakova, T.V., 2018. [Characteristics of Allometric Growth of the Flat Oyster (Ostrea edulis, Linnaeus (1758)) in Ontogenesis]. In: G. A. Motul, ed., 2018. Water Bioresources and Aquaculture of the South of Russia: Proceedings of the All-Russian Scientific and Practical Conference on the Occasion of the 20th Anniversary (Krasnodar, 17–19 May, 2018)]. Krasnodar: Kubanskiy gosudarstvennyy universitet, pp. 138–142 (in Russian)
- Sitnik, N.A., 2010. About Some Ecological Laws of a Filtеr Feeding of Oyster (Ostrea edulis L.). Scientific Notes of Taurida V. Vernadsky National University. Series: Biology, Chemistry, 23(3), pp. 143–153 (in Russian).
- Mo, C. and Neilson, B., 1994. Standardization of Oyster Soft Tissue Dry Weight Mea-surements. Water Research, 28(1), pp. 243–246. doi: 10.1016/0043-1354(94)90140-6
- His, E., Beiras, R. and Seaman, M.N.L., 1999. The Assessment of Marine Pollution – Bioassays with Bivalve Embryos and Larvae. Advances in Marine Biology, 37, pp. 1–178. doi: 10.1016/s0065-2881(08)60428-9
- Maathuis, M.A.M., Coolen, J.W.P., van der Have, T. and Kamermans, P., 2020. Factors Determining the Timing of Swarming of European Flat Oyster (Ostrea edulis L.) Larvae in the Dutch Delta Area: Implications for Flat Oyster Restoration. Journal of Sea Research, 156, 101828. doi: 10.1016/j.seares.2019.101828
- Sytnik N.A., 2011. Growth and Production of Oyster (Ostrea edulis L.) in the Donuzlav Liman in the Black Sea. In: MHI, 2011. Ekologicheskaya Bezopasnost' Pribrezhnoy i Shel'fovoy Zon i Kompleksnoe Ispol'zovanie Resursov Shel'fa [Ecological Safety of Coastal and Shelf Zones and Comprehensive Use of Shelf Resources]. Sevastopol: MHI. Iss. 25, vol. 1, pp. 429–434 (in Russian).
- Mann, R., 1979. Some Biochemical and Physiological Aspects of Growth and Gametogenesis in Magallana gigas and Ostrea edulis Grown at Sustained Elevated Temperatures. Journal of the Marine Biological Association of the United Kingdom, 59(1), pp. 95–110. doi: 10.1017/S0025315400046208
- Kholodov, V.I., Pirkova, A.V. and Ladigina, L.V., 2010. Cultivation of Mussels and Oysters in Black Sea. Sevastopol, 424 p. (in Russian).
Supplementary files










