Метаболический отклик культивируемых двустворчатых моллюсков на закисление Черного моря
- Авторы: Вялова О.Ю.1
-
Учреждения:
- Федеральный исследовательский центр «Институт биологии южных морей имени А.О. Ковалевского РАН»
- Выпуск: № 4 (2023)
- Страницы: 73-86
- Раздел: Статьи
- URL: https://journals.rcsi.science/2413-5577/article/view/255620
- EDN: https://elibrary.ru/OVFSHX
- ID: 255620
Цитировать
Аннотация
В течение последних десятилетий наблюдается снижение рН в Черном море, которое потенциально является самым большим поглотителем CO2 среди морей Атлантического океана. Сведения о закислении Черного моря и его влиянии на биосистему моря фрагментарны. На основании литературных и собственных экспериментальных данных проводится анализ влияния низких значений рН морской воды на энергетический метаболизм основных промысловых двустворчатых моллюсков – мидии Mytilus galloprovincialis и устрицы Magallana gigas. Данные виды показали способность адаптировать уровень энергетического метаболизма в широком диапазоне рН – от 7.0 до 8.1. При понижении рН на 0.1 ед. потребление кислорода мидиями снижалось в среднем на 10–20 % в диапазоне рН 7.5–8.2. При рН 7.2–7.5 интенсивность дыхания M. galloprovincialis не менялась и оставалась на уровне 9.15–9.38 мкг О2/(г сух. тк.·ч), а затем падала до 6.8 мкг О2/(г сух. тк.·ч) при рН 7.0. У М. gigas интенсивность потребления кислорода снижалась равномерно: в среднем на 10–15 % на каждые 0.1 ед. изменения рН до значения рН 7.2. При рН 7.0–7.2 аэробное дыхание устриц фиксировалось на минимальном уровне (4.6–4.8 мкг О2/(г сух. тк.·ч)).
Полный текст
Введение
Глобальные изменения вод Мирового океана приводят к изменениям почти всех прибрежных экосистем. Обоснованное беспокойство связано с ростом содержания углекислого газа в морской среде и увеличением ее кислотности. Океаническая вода действует в качестве основного поглотителя атмосферного углерода, помогая компенсировать последствия глобального потепления [1–3]. В течение последних десятилетий наблюдается снижение рН во всех морях Мирового океана, и, по прогнозам, к 2100 г. этот показатель может упасть до 7.1 [2]. Очевидно, что разные морские акватории будут затронуты не в одинаковой степени: на это влияют особенности их географического положения и гидрологические характеристики. В шельфовых морях закисление вод зависит от объема притока рек, степени органического загрязнения, а также от интенсивности апвеллинговых явлений и продукционных процессов в поверхностных слоях [4–6]. Следует учитывать и тот факт, что даже при сокращении выбросов парниковых газов в атмосферу кислотность морской воды будет продолжать расти еще длительное время, поскольку СО2 – долгоживущий атмосферный газ.
В докладах Межправительственной группы экспертов по изменению климата (Intergovernmental Panel on Climate Change) утверждается, что более пресные и холодные воды могут поглощать гораздо больше CO2 из атмосферы, чем более соленые океанические водные массы. Черное море характеризуется средней температурой на поверхности 17–19 ℃ (~ 14 ℃ зимой и ~ 25 ℃ летом) и соленостью 17–18 ЕПС. По мнению специалистов, Черное море потенциально является самым большим поглотителем CO2 среди ближайших морей Атлантического океана [3, 6]. Из-за высокой общей щелочности рек, впадающих в Черное море, в поверхностных слоях моря этот показатель выше типичных океанических значений [7]. Наиболее существенное снижение значений рН зафиксировано в верхней части субкислородного слоя: в среднем на 0.15–0.20 за десятилетие [4–6, 8]. По данным [6], в поверхностном слое (0–30 м) в 1990–2014 гг. максимальные и минимальные среднегодовые значения рН составили ~ 8.7 и 7.4 соответственно. Данные наблюдений в прибрежных зонах восточной части Черного моря показали, что в течение года рН колеблется в пределах 8.36–8.45 [5], а в западной части (румынское побережье) – в пределах 7.37–8.58, что объясняется более интенсивными продукционными процессами в слое 0–10 м [3]. Выделяют два сезона: холодный (с ноября по март) с минимальными значениями рН и теплый (с апреля по октябрь) с максимальными значениями. Эти различия связаны с общими климатическими закономерностями, речным стоком, апвеллингами и сезонной изменчивостью продукционных процессов в Черном море [6–8]. Кроме этого, в прибрежных районах наблюдаются суточные колебания рН, которые могут превышать единицу [5, 9]. Эти изменения часто обусловлены тем, что первичные продуценты повышают рН окружающей морской воды днем в процессе фотосинтеза и снижают этот показатель ночью при дыхании [10, 11].
В настоящее время опубликован ряд широко цитируемых мета-анализов и систематических обзоров, касающихся влияния закисления океана на отдельные группы гидробионтов [12–17]. Рассматриваемые сценарии и прогнозы выявили пробелы в изучении физиологических и поведенческих реакций двустворчатых моллюсков в условиях понижающихся значений рН морской среды. Это связано со сложностью определения прямого и/или косвенного влияния исследуемого фактора, противоречивостью результатов, полученных разными авторами. Морские организмы, использующие карбонат кальция (CaCO3) для создания раковин или других структурных образований тела, так называемые морские кальцификаторы, находятся под прямой угрозой на всех стадиях жизни: личиночной, ювенильной и взрослой [12, 18–25]. Уменьшение количества доступных карбонат-ионов может не только затруднять формирование биогенных кальциевых структур организма, но и делать такие структуры уязвимыми к растворению в условиях низких значений рН [24, 26, 27]. Авторы отмечают, что скорость изменения pH беспрецедентна и уже потенциально опасна для многих кальцифицирующих морских видов.
Снижение pH морской воды отрицательно влияет на физиологию двустворчатых моллюсков, изменяя внеклеточный кислотно-щелочной баланс [28–30] и метаболическую активность [31]. Кроме того, происходит угнетение дыхания, экскреции, снижение потребления пищи [12, 32, 33], а также нарушение развития организмов [18, 27]. В некоторых случаях снижение рН может приводить к гибели [12]. Закисление морской среды приводит к ухудшению механических свойств биссусных нитей и уменьшению их количества [26, 34]. Эмбриональная и личиночная стадии мидий оказались чувствительными к величине рН. В результате закисления уменьшаются размеры личинок, снижается их выживаемость, а также растет число особей с аномалиями и более длительным периодом развития [22].
Вместе с тем есть свидетельства о некотором положительном влиянии закисления воды на рост раковины [35]. Так, пониженная величина рН может смягчать негативное воздействие высокой температуры на биоминерализацию и кристаллическую ультраструктуру рода Mytilus. Устойчивость двустворчатых моллюсков к закислению среды описана у таких видов из эстуарных и апвеллинговых зон, как M. chilensis [22], Argopecten purpuratus [36, 37], M. edulis [22, 38, 39], M. galloprovincialis [39–41], M. coruscus [42], Pinctada fucata и Perna viridis [33]. В некоторых работах указывается, что обеспеченность пищей играет важную роль в устойчивости мидий к закислению морской среды [20, 33].
Данные о закислении Черного моря и его влиянии на биосистему моря фрагментарны. Однако очевидно, что многие компоненты биоты могут зависеть от снижения значений pH, что, в свою очередь, может вызвать экологические и экономические проблемы в этом регионе. Двустворчатые моллюски доминируют в макрофауне лиманов и заливов. Эти организмы являются важным элементом экологической структуры биотопов и промысловым ресурсом для рыболовства и марикультуры. Морские хозяйства, выращивающие два основных промысловых вида, мидии Mytilus galloprovincialis и устрицы Magallana (ранее Crassostrea) gigas, расположены вдоль береговой линии Черного моря, включая Крымский полуостров и Краснодарский край. Оценка последствий влияния закисления на состояние коммерчески важных видов является актуальной задачей современных исследований.
Интенсивность дыхания моллюсков – важный обобщающий показатель уровня обменных процессов в организме. По объему кислорода, потребленного моллюсками, можно судить об их физиологическом состоянии и степени влияния на них различных факторов внешней среды [12, 31, 33]. Изучение уровня энергетического метаболизма мидий M. galloprovincialis и устриц М. gigas в условиях продолжающегося закисления Черного моря является целью настоящего исследования. В работе рассматривается сценарий влияния широкого диапазона значений рН (7.0–8.1), потенциально возможных в условиях Черного моря, на адаптационные возможности данных коммерчески важных видов.
Материалы и методы
Экземпляры мидий Mytilus galloprovincialis и устриц Magallana gigas были собраны на морской ферме, расположенной в б. Ласпи (Черное море, Южный берег Крыма), помещены в термобоксы и доставлены в лабораторию ФИЦ ИнБЮМ (Севастополь). Далее в течение 7 сут моллюски находились в проточной морской воде при температуре 20–21 °C, pH 8.2 и солености 18.1 ЕПС. Моллюсков кормили ежедневно Isochrysis galbana. Эксперименты проводили в замкнутых респирометрах объемом 950 мл с использованием фильтрованной морской воды. Продолжительность опытов составляла от 2 до 2.5 ч. Моллюсков предварительно очищали от эпибионтов, взвешивали и измеряли. В каждый респирометр помещали один экземпляр и обеспечивали непрерывную циркуляцию фильтрованной морской воды по замкнутому циклу при помощи перистальтического насоса. Начальную и конечную концентрацию кислорода определяли при помощи анализатора растворенного кислорода «МАРК-404».
Морскую воду с разными значениями рН подготавливали с применением препарата фирмы Tetra minus pH. Данный сертифицированный препарат используется в морской аквариумистике для снижения pH и карбонатной жесткости и является безопасным для гидробионтов. Путем применения различных дозировок препарата создавали условия со значениями рН от 8.1 до 7.0, что несколько шире прогнозируемого диапазона рН в Черном море. В каждом респирометре показатель рН определяли до и после проведения эксперимента при помощи лабораторного рН-метра Ohaus ST2100.
После завершения каждого из экспериментов воду в респирометрах с моллюсками полностью заменяли новой с заданными значениями рН. Температура составляла 20–21 °C, соленость – 18.1 ЕПС. Эксперименты проводили в четырех повторностях. Общее количество исследованных моллюсков – 24.
Потребление кислорода RR, мкг О2/(г сух. тк.·ч), моллюсками рассчитывали по формуле
RR = (Снач. – Скон.)∙V/Т/Мсух тк,
где Снач. и Скон. – содержание О2 в респирометрах с моллюсками в начале и конце опыта; V – объем респирометра, мл; Т – время, ч; Мсух тк – масса сухих тканей, г. Сухую массу получали путем сушки мягких тканей в термостате при 98 °C до постоянного веса.
Статистическую и графическую обработку данных проводили с помощью программы Excel, one-way ANOVA.
Результаты
Основные характеристики объектов исследования – мидий M. galloprovin- cialis и устриц М. gigas представлены в таблице.
Размерно-весовые характеристики двустворчатых моллюсков (среднее ± СКО)
Size and weight characteristics of bivalves (mean ± SD)
Вид / Species | n, экз. / n, ind. | L, мм / L, mm | Wобщий, г / Wtotal, g | Wраковины, г / Wshell, g | Wсух. мягких тканей, г / Wdry soft tiss., g |
Мидия / Mussel | 12 | 55.71 ± 4.82 | 19.96 ± 4.80 | 13.73 ± 4.22 | 0.224 ± 0.088 |
Устрица / Oyster | 12 | 64.88 ± 6.17 | 27.56 ± 8.88 | 10.19 ± 0.80 | 0.306 ± 0.217 |
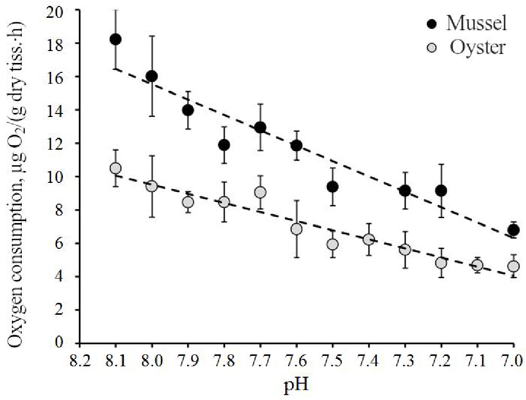
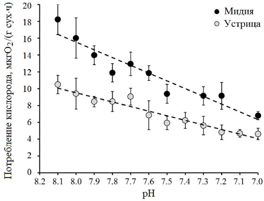
В ходе исследования установлено, что в норме уровень энергетического метаболизма у мидий (18.23 ± 1.2 мкг О2/(г сух. тк.·ч) был выше, чем у устриц (10.50 ± 1.1 мкг О2/(г сух. тк.·ч)). Снижение рН морской воды приводило к сокращению уровня дыхания у обоих видов моллюсков (рис. 1). Установлена линейная отрицательная зависимость потребления кислорода от значений рН у мидий M. galloprovincialis (R² = 0.90) и устриц М. gigas (R² = 0.93).
Рис. 1. Зависимость потребления кислорода мидиями M. galloprovincialis и устрицами М. gigas от рН морской воды, среднее ± СКО
Fig. 1. Dependence of oxygen consumption by mussels M. galloprovincialis and oysters М. gigas on seawater pH, mean ± SD
Результаты показали, что в диапазоне рН 7.5–8.2 при понижении рН на 0.1 ед. потребление кислорода мидиями снижалось на 10–20 % от предыдущего значения. Далее при рН 7.2–7.5 дыхание моллюсков оставалось на уровне 9.15–9.38 мкг О2/(г сух. тк.·ч), затем фиксировалось падение этого показателя до 6.8 мкг О2/(г сух. тк.·ч) при рН 7.0 (рис. 2). У М. gigas наблюдаемое сокращение потребления кислорода происходило более равномерно, на 10–15 % на каждые 0.1 ед. рН, до значений рН 7.2. Далее этот показатель не менялся и фиксировался минимальном уровне (4.6–4.8 мкг О2/(г сух. тк.·ч)).
Таким образом, закисление морской воды приводило к сокращению интенсивности дыхания мидий M. galloprovincialis и устриц М. gigas. При рН 7.5–7.7 у исследованных моллюсков происходили наиболее заметные изменения уровня энергетического обмена (рис. 2). После равномерного снижения потребления кислорода у обоих видов при рН 7.7 был зафиксирован неожиданный рост этого показателя (на 8.9 % у мидий, на 6.7 % у устриц) с последующим резким падением на 20–30 % от предыдущих показателей (при рН 7.5–7.6). При этом у двух видов наблюдалась разная физиологическая реакция: мидии устойчиво поддерживали уровень аэробного метаболизма при понижении рН с 7.4 до 7.1 (нулевые изменения интенсивности дыхания), устрицы же демонстрировали равномерное сокращение аэробных процессов до минимальных значений.
Рис. 2. Динамика потребления кислорода мидиями M. galloprovincialis и устрицами M. gigas при снижении рН морской воды на 0.1 ед.
Fig. 2. Dynamics of oxygen consumption by mussels M. galloprovincialis and oysters M. gigas with a decrease in pH of seawater by 0.1 unit
Обсуждение
Способность двустворчатых моллюсков компенсировать уровень энергетического метаболизма на фоне изменений окружающей среды подтверждена рядом научных исследований [31, 40, 43, 44]. Это обусловлено образом жизни моллюсков, которые образуют плотные поселения в прибрежной зоне и периодически подвергаются влиянию изменяющихся внешних факторов, таких как температура, соленость, кислородный режим. В нашем исследовании впервые изучалось влияние низких значений рН окружающей среды на уровень энергетического метаболизма двустворчатых моллюсков, культивируемых в Черном море. На прибрежных фермах моллюски выращиваются в пластиковых садках и сетных рукавах на глубинах до 10 м от поверхности. Таким образом, мидии и устрицы потенциально попадают в зоны смены рН, обусловленной естественной суточной и сезонной динамикой этого показателя [5, 45] и апвеллингами [6].
Изучение нескольких видов мидий M. edulis, M. galloprovincialis и М. trossulus показало, что порог физиологической толерантности находится в точке рН ~7.8, что приблизительно соответствует нижним значениям локального естественного фона рН морских вод [39, 40, 46]. В работе [28] приводятся результаты содержания молоди и взрослых особей M. galloprovincialis при рН ~7.3 (18 °C). В таких закисленных условиях скорость потребления кислорода значительно больше снижалась у молоди мидий: через 5 ч эксперимента потребление кислорода падало на 25 %, через 10 ч – более чем на 45 %, через 20 ч – на 60–65 %. У взрослых моллюсков максимальное сокращение интенсивности дыхания составило 35 % от контроля. Некоторые авторы считают, что рН морской воды < 7.5 наносит вред раковинным моллюскам, а значения рН ~7.3 могут быть фатальными для них [28, 46].
Известно, что широта диапазона толерантности вида часто тесно связана с диапазоном изменчивости параметров окружающей среды. Это позволяет нам сделать вывод о том, что исследованные моллюски сталкиваются со значениями рН > 7.6 в естественной среде, то есть от 8.2 (норма) до 7.5–7.6 рН (закисление), и хорошо переносят такие изменения. Приведем несколько примеров подобных исследований на двустворчатых моллюсках.
К. Варгаз с коллегами [23, 25] на основании собственных и литературных данных утверждают, что организмы одного вида по-разному реагируют на закисление среды: реакция была от отрицательной до положительной. Например, мидии M. chilensis из эстуариев с высоким естественным фоном СО2 воды показали бóльшую устойчивость к высоким уровням pCO2, чем особи из открытых районов. Моллюски M. trossulus в течение 2.5 месяцев при значениях pH в диапазоне от 7.29 до 7.95 сохраняли способность восстанавливать поврежденные раковины и минерализацию оболочки [47]. В литературе сообщается о Bathymodiolus brevior, способных жить в естественных условиях как при значениях рН 7.8, так и при рН 5.36 на северо-западном склоне подводного вулкана Эйфуку Марианской дуги, в гидротермальной среде которого присутствуют жидкая двуокись углерода и сероводород [48]. Сравнение двух популяций показало, что среднесуточный прирост и толщина раковины особей из района вулкана оказались в два раза меньше, чем у моллюсков, живущих в воде с рН более 7.8.
Недавние исследования естественных популяций M. galloprovincialis из мелководных лагун и открытых прибрежных зон указывают на то, что у моллюсков существует генетическое разнообразие адаптации к фактору закисления океана [49]. Анализ паттернов экспрессии генов выявил тот факт, что различия в динамике колебаний pH, наблюдаемые между береговыми и лагунными местообитаниями, потенциально формируют паттерны пластичности и молекулярно-фенотипической дифференциации между популяциями одного вида. Пластичность экспрессии в ответ на влияние низкого pH была значительно выше у прибрежной популяции, которая обитает в более постоянных условиях больших масс Средиземного моря, в отличие от условий мелководных лагун, для которых характерны резкие колебания природных факторов [49]. Делается предположение, что устойчивость двустворчатых моллюсков к изменениям рН может закрепляться на молекулярно-генетическом уровне.
Результаты исследований метаболического отклика устриц на закисление моря также не однозначны. Например, сообщается о снижении скорости дыхания C. virginica, подвергающихся воздействию высокого парциального давления CO2 (0.8–1 кПа pCO2) и низкого рН (≤ 7) по сравнению с контролем (< 0.1 кПа pCO2, pH = 8.2) [50]. В другой работе высокое содержание CO2 на протяжении 30 сут приводило к угнетению процессов потребления и усвоения пищи, снижению эффективности адсорбции у C. gigas, но одновременно увеличивало потребление кислорода и скорость экскреции аммонийного азота [51]. Интересны результаты 55-суточного эксперимента на C. gigas, где при 15 °С у контрольной (рН 7.9) и опытной (рН 7.09) групп моллюсков интенсивность обменных процессов сохранялась на одном стабильном уров- не [29]. Однако с повышением температуры до 20–25 °С ситуация менялась: у устриц, находящихся в закисленных условиях, уровень метаболизма достоверно увеличивался. Высказывается предположение о том, что температура является более значимым фактором для физиологии устриц, чем низкие значения рН.
В условиях постоянного и флуктуирующего закисления тихоокеанские устрицы проявляли адаптивность таких жизненно важных процессов, как каль- цификация, дыхание, питание и выживаемость [52, 53]. В условиях низких значений рН (7.5–7.7) отмечалось ускорение репродуктивного развития как у самцов, так и у самок восточных устриц (C. virginica) [54]. Наблюдения за гаметами во время нереста, оплодотворения и инкубации эмбрионов показали более высокую выживаемость личинок (на 6–8 % по сравнению с контролем).
В ходе нашего исследования при рН 7.7 было зафиксировано усиление потребления кислорода моллюсками обоих видов (на 8.9 % у мидий и на 6.7 % у устриц). Похожая реакция наблюдалась у черноморских мидий при отравлении ДДТ [55]. Так, влияние токсиканта первоначально приводило к сокращению дыхания, затем отмечалось кратковременное его возбуждение (к концу первой недели эксперимента потребление кислорода у мидии почти восстановилось до исходного уровня), а после этого наступало дальнейшее угнетение процесса. Авторы объясняют это явление тем, что для восстановления исходного физиологического состояния организма после начала действия негативного фактора (токсиканта) потребность в кислороде повышается, усиливаются окислительные процессы. Однако продолжающаяся постепенная аккумуляция ДДТ в органах и тканях моллюсков в конечном счете вызывала у последних нарушение обменных процессов, и интенсивность потребления кислорода мидиями начинала вновь снижаться. Анализируя наши результаты, можем предположить, что закисление воды может оказывать аналогичное действие на уровень обменных процессов в организме исследуемых моллюсков.
В ходе эволюции у моллюсков выработались определенные механизмы адаптации к неблагоприятным факторам среды, например прекращается фильтрация, плотно закрываются створки и резко уменьшается скорость потребления кислорода, дыхание становится анаэробным. Скорость энергетических процессов, проходящих у моллюсков, снижается до минимума, и животные переходят в состояние анаэробиоза. Адаптация бентосных организмов к неблагоприятным факторам происходит на разных уровнях: молекулярном, клеточном, физиологическом, поведенческом.
Заключение
Последние исследования показывают, что границей толерантности для большинства морских кальцифицирующих организмов является уровень pH 7.5. Наши результаты свидетельствуют о том, что мидии M. galloprovincialis и устрицы М. gigas, обитающие в Черном море, приспособлены к закислению морской среды, могут поддерживать жизнеспособность и уровень энергетического метаболизма в широком диапазоне водородного показателя – от 7.0 до 8.1. Во время умеренного стресса организм может компенсировать повышенную потребность в энергии за счет увеличения потребления и усвоения энергии. Однако при экстремальном воздействии внешних факторов такая физиологическая компенсация для гидробионтов может быть неполной или невозможной. Так, моллюски могут входить в метаболически депрессивное состояние, чтобы снизить энерготраты и увеличить время выживания до тех пор, пока условия не вернутся к оптимальным. В данной работе показано, что при крайне низких значениях рН наблюдается нарушение энергетического гомеостаза, что приводит к ограничению аэробных возможностей организма.
Наряду с постепенным глобальным закислением океана, вызванным высокими концентрациями атмосферного СО2, ожидается увеличение суточной и сезонной динамики CO2 и рН в морской воде. Влияние этих системных переменных на физиологические процессы гидробионтов в коротких временных масштабах только начинает оцениваться. Наше понимание последствий продолжающегося закисления Черного моря на состояние экологически и экономически важных гидробионтов пока ограниченно. В лабораторных условиях трудно воспроизвести неоднородность окружающей среды, которая возникает в естественных условиях. Флуктуирующие понижения и повышения pH могут смягчать некоторое негативное влияние закисления на раковинные организмы, предоставляя им периоды «передышки», во время которой запускаются процессы, связанные с кальцификацией структурных элементов. Подавляющее большинство работ посвящено изучению влияния постоянных уровней рН на разные виды гидробионтов. Вместе с тем становится очевидным, что экологическая значимость таких исследований ограниченна. Это можно объяснить тем, что прогнозируемые значения pH океана будут отличаться от сегодняшних, а также тем, что физиологические адаптации организмов и в конечном итоге естественный отбор проявляются сильнее при экстремальных условиях.
Об авторах
Оксана Юрьевна Вялова
Федеральный исследовательский центр «Институт биологии южных морей имени А.О. Ковалевского РАН»
Автор, ответственный за переписку.
Email: vyalova07@gmail.com
ORCID iD: 0000-0002-8304-0029
Scopus Author ID: 6503936925
старший научный сотрудник, кандидат биологических наук
Россия, 299011, Россия, Севастополь, пр. Нахимова, 2Список литературы
- A time-series view of changing ocean chemistry due to ocean uptake of anthropogenic CO2 and ocean acidification / N. R. Bates [et al.] // Oceanography. 2014. Vol. 27, iss. 1. P. 126–141. doi: 10.5670/oceanog.2014.16
- Climate Change 2021 – The Physical Science Basis: Working Group I Contribution to the Sixth Assessment Report of the Intergovernmental Panel on Climate Change / N. Masson-Delmotte [et al.] ; ed. B. Zhou. Cambridge : Cambridge University Press, 2022. 2391 p. doi: 10.1017/9781009157896
- Fowler S. W. Ocean acidification issues in the Mediterranean and Black Seas: present status and future perspectives // Impacts of acidification on biological, chemical and physical systems in the Mediterranean and Black Seas / F. Briand (ed.). Monaco : CIESM, 2008. P. 23–30. (CIESM Workshop Monographs ; no. 36).
- Полонский А. Б., Гребнева Е. А. Пространственно-временная изменчивость водородного показателя вод Черного моря // Доклады Академии наук. 2019. Т. 486, № 4. C. 494–499. EDN CBJPHS. https://doi.org/10.31857/S0869-56524864494-499
- Хоружий Д. С., Коновалов С. К. Суточный ход и межсуточные изменения содержания углекислого газа и растворенного неорганического углерода в прибрежных водах Черного моря // Морской гидрофизический журнал. 2014. № 1. С. 28–43. EDN TDXUTZ.
- Elge M. Analysis of Black Sea Ocean acidification // International Journal of Environ- ment and Geoinformatics. 2021. Vol. 8, iss. 4. P. 467–474. doi: 10.30897/ijegeo.857893
- Савенко А. В., Покровский О. С. Трансформация макро- и микроэлементного состава стока растворенных веществ в устьях средних и малых рек черноморского побережья России // Океанология. 2022. T. 62, № 3. С. 380–402. EDN MJPAOV. doi: 10.31857/S003015742203011X
- Гребнева Е. А., Полонский А. Б. Декомпозиция временного ряда величины рН поверхностных вод глубоководной части Черного моря по архивным данным второй половины ХХ века // Системы контроля окружающей среды. 2021. Т. 44, № 2. С. 29–38. EDN HTMANT. doi: 10.33075/2220-5861-2021-2-29-38
- Хоружий Д. С. Изменчивость равновесного парциального давления углекислого газа (pCO2) и концентрации растворенного неорганического углерода (TCO2) в прибрежных водах Черного моря в 2010–2014 годах // Морской гидрофизический журнал. 2016. № 4. С. 38–52. doi: 10.22449/0233-7584-2016-4-38-52
- Metabolically-induced pH fluctuations by some coastal calcifiers exceed projected 22nd century ocean acidification: a mechanism for differential susceptibility? / C. L. Hurd [et al.] // Global Change Biology. 2011. Vol. 17, iss. 10. P. 3254–3262. doi: 10.1111/j.1365-2486.2011.02473.x
- Characterizing mean and extreme diurnal variability of ocean CO2 system variables across marine environments / O. Torres [et al.] // Geophysical Research Letters. 2021. Vol. 48, iss. 5. P. 1–12. doi: 10.1029/2020GL090228
- Impacts of ocean acidification on marine shelled molluscs / F. Gazeau [et al.] // Marine Biology. 2013. Vol. 160, iss. 8. P. 2207–2245. doi: 10.1007/s00227-013-2219-3
- Impacts of ocean acidification on marine organisms: quantifying sensitivities and interaction with warming / K. J. Kroeker [et al.] // Global Change Biology. 2013. Vol. 19, iss. 6. P. 1884–1896. doi: 10.1111/gcb.12179
- The impacts of ocean acidification on marine ecosystems and reliant human communities / S. C. Doney [et al.] // Annual Review of Environment and Resources. 2020. Vol. 45. P. 83–112. doi: 10.1146/annurev-environ-012320-083019
- Influence of ocean warming and acidification on habitat-forming coralline algae and their associated molluscan assemblages / B. P. Kelaher [et al.] // Global Ecology and Conservation. 2022. Vol. 35. e02081. doi.org/10.1016/j.gecco.2022.e02081
- Leung J. Y. S., Zhang S., Connell S. D. Ocean acidification really a threat to marine calcifiers? A systematic review and meta-analysis of 980+ studies spanning two decades // Small. 2022. Vol. 18, iss. 35. 2107407. doi: 10.1002/smll.202107407
- Exposure of commercially exploited shellfish to changing pH levels: how to scale-up experimental evidence to regional impacts / B. L. Townhill [et al.] // ICES Journal of Marine Science. 2022. Vol. 79, iss. 9. P. 2362–2372. doi: 10.1093/icesjms/fsac177
- The impact of ocean acidification on reproduction, early development and settlement of marine organisms / P. M. Ross [et al.] // Water. 2011. Vol. 3, iss. 4. P. 1005–1030. doi: 10.3390/w3041005
- Effects of ocean acidification on early life stages of shrimp (Pandalus borealis) and mussel (Mytilus edulis) / R. K. Bechmann [et al.] // Journal of Toxicology and Environ- mental Health. 2011. Vol. 74, iss. 7–9. P. 424–438. doi: 10.1080/15287394.2011.550460
- Food availability outweighs ocean acidification effects in juvenile Mytilus edulis: laboratory and field experiments / J. Thomsen [et al.] // Global Change Biology. 2013. Vol. 19, iss. 4. P. 1017–1027. doi: 10.1111/gcb.12109
- Predicting the response of molluscs to the impact of ocean acidification / L. M. Parker [et al.] // Biology. 2013. Vol. 2, iss. 2. P. 651–692. doi: 10.3390/biology2020651
- Combined effects of temperature and ocean acidification on the juvenile individuals of the mussel Mytilius chilensis / C. Duarte [et al.] // Journal of Sea Research. 2014. Vol. 85. P. 308–314. doi: 10.1016/j.seares.2013.06.002
- Species-specific responses to ocean acidification should account for local adaptation and adaptive plasticity / C. A. Vargas [et al.] // Nature Ecology and Evolution. 2017. Vol. 1. 0084. P. 1–7. doi: 10.1038/s41559-017-0084
- Combined effects of ocean acidification and hypoxia on the early development of the thick shell mussel Mytilus coruscus / X. Wang [et al.] // Helgoland Marine Research. 2020. Vol. 74, iss. 3. P. 1–9. doi: 10.1186/s10152-020-0535-9
- Upper environmental pCO2 drives sensitivity to ocean acidification in marine inverteb- rates / C. A. Vargas [et al.] // Nature Climate Change. 2022. Vol. 12. P. 200–207. doi: 10.1038/s41558-021-01269-2
- Ocean acidification decreases mussel byssal attachment strength and induces molecular byssal responses / X. Zhao [et al.] // Marine Ecology Progress Series. 2017. Vol. 565. P. 67–77. doi: 10.3354/meps11992
- Ocean acidification and temperature increase impact mussel shell shape and thickness: problematic for protection? / S. C. Fitzer [et al.] // Ecology and Evolution. 2015. Vol. 5, iss. 21. P. 4875–4884. doi: 10.1002/ece3.1756
- Effects of long-term moderate hypercapnia on acid-base balance and growth rate in marine mussels Mytilus galloprovincialis / B. Michaelidis [et al.] // Marine Ecology Progress Series. 2005. Vol. 293. P. 109–118. doi: 10.3354/meps293109
- Impact of ocean acidification on energy metabolism of oyster, Crassostrea gigas – changes in metabolic pathways and thermal response / G. Lannig [et al.] // Marine Drugs. 2010. Vol. 8. P. 2318–2339. doi: 10.3390/md8082318
- Ocean acidification increases copper toxicity differentially in two key marine inver- tebrates with distinct acid-base responses / C. Lewis [et al.] // Scientific Reports. 2016. Vol. 6. 21554. P. 1–10. doi: 10.1038/srep21554
- Thomsen J., Melzner F. Moderate seawater acidification does not elicit long-term meta- bolic depression in the blue mussel Mytilus edulis // Marine Biology. 2010. Vol. 157. P. 2667–2676. doi: 10.1007/s00227-010-1527-0
- Physiological energetics of juvenile clams Ruditapes decussatus in a high CO2 coastal ocean / M. J. Fernández-Reiriz [et al.] // Marine Ecology Progress Series. 2011. Vol. 433. P. 97–105. doi: 10.3354/meps09062
- Liu W., He M. Effects of ocean acidification on the metabolic rates of three species of bivalve from southern coast of China // Chinese Journal of Oceanology and Limnology. 2012. Vol. 30, iss. 2. Р. 206–211. doi: 10.1007/s00343-012-1067-1
- Clements J. C., George M. N. Ocean acidification and bivalve byssus: explaining variable responses using meta-analysis // Marine Ecology Progress Series. 2022. Vol. 694. P. 89–103. doi: 10.3354/meps14101
- Ocean acidification mitigates the negative effects of increased sea temperatures on the biomineralization and crystalline ultrastructure of Mytilus / A. M. Knights [et al.] // Frontiers in Marine Science. 2020. Vol. 7. 567228. doi: 10.3389/fmars.2020.567228
- Effects of temperature and ocean acidification on shell characteristics of Argopecten purpuratus: implications for scallop aquaculture in an upwelling-influenced area / N. A. Lagos [et al.] // Aquaculture environment interactions. 2016. Vol. 8. P. 357−370. doi: 10.3354/aei00183
- Physiological and histopathological impacts of increased carbon dioxide and temperature on the scallops Argopecten purpuratus cultured under upwelling influences in northern Chile / M. A. Lardies [et al.] // Aquaculture. 2017. Vol. 479. P. 455−466. doi: 10.1016/j.aquaculture.2017.06.008
- Elevated seawater temperature, not pCO2, negatively affects post-spawning adult mussels (Mytilus edulis) under food limitation / J. C. Clements [et al.] // Conservation Physiology. 2018. Vol. 6, iss. 1. cox078. doi: 10.1093/conphys/cox078
- Gene expression correlated with delay in shell formation in larval Pacific oysters (Crassostrea gigas) exposed to experimental ocean acidification provides insights into shell formation mechanisms / P. De Wit [et al.] // BMC Genomics. 2018. Vol. 19, iss. 1. P. 160−175. doi: 10.1186/s12864-018-4519-y
- Tolerance of juvenile Mytilus galloprovincialis to experimental seawater acidification / M. J. Fernández-Reiriz [et al.] // Marine Ecology Progress Series. 2012. Vol. 454. P. 65−74. doi: 10.3354/meps09660
- Impact of ocean acidification and warming on the Mediterranean mussel (Mytilus galloprovincialis) / F. Gazeau [et al.] // Frontiers in Marine Science. 2014. Vol. 1. 62. doi: 10.3389/fmars.2014.00062
- CO2-induced pH reduction increases physiological toxicity of nano-TiO2 in the mussel Mytilus coruscus / M. Hu [et al.] // Scientific Reports. 2017. Vol. 7, 40015. doi: 10.1038/srep40015
- High pCO2 levels affect metabolic rate, but not feeding behavior and fitness, of farmed giant mussel Choromytilus chorus / S. Benítez [et al.] // Aquaculture Environment Interactions. 2018. Vol. 10. P. 267–278. doi: 10.3354/aei00271
- The energetic physiology of juvenile mussels, Mytilus chilensis (Hupe): The prevalent role of salinity under current and predicted pCO2 scenarios / C. Duarte [et al.] // Environ- mental Pollution. 2018. Vol. 242, Part A. P. 156–163. doi: 10.1016/j.envpol.2018.06.053
- Хоружий Д. С. Изменчивость потока СО2 на границе раздела вода – атмосфера в прибрежных водах Черного моря на разных масштабах времени в 2010–2014 гг. // Морской гидрофизический журнал. 2018. Т. 34, № 5. С. 434–445. EDN YMQLZJ. doi: 10.22449/0233-7584-2018-5-434-445
- EAT BREATHE EXCRETE REPEAT: Physiological responses of the mussel Mytilus galloprovincialis to diclofenac and ocean acidification / M. Munari [et al.] // Journal of Marine Science and Engineering. 2020. Vol. 8, iss. 11. 907. doi: 10.3390/jmse8110907
- Mussels repair shell damage despite limitations imposed by ocean acidification / M. N. George [et al.] // Journal of Marine Science and Engineering. 2022. Vol. 10, iss. 3. P. 359. doi: 10.3390/jmse10030359
- Survival of mussels in extremely acidic waters on a submarine volcano / V. Tunnicliffe [et al.] // Nature Geoscience. 2009. Vol. 2. P. 344–348. doi: 10.1038/NGEO500
- Magnitude and predictability of pH fluctuations shape plastic responses to ocean acidification / M. C. Bitter [et al.] // The American Naturalist. 2021. Vol. 197, iss. 4. Р. 486–501. doi: 10.1086/712930
- Willson L. L., Burnett L. E. Whole animal and gill tissue oxygen uptake in the Eastern oyster, Crassostrea virginica: effect of hypoxia, hypercapnia, air exposure, and infection with the protozoan parasite Perkinsus marinus // Journal Experimental Marine Biology and Ecology. 2000. Vol. 246. P. 223–240. doi: 10.1016/S0022-0981(99)00183-5
- Effects of elevated pCO2 on the physiological energetics of Pacific oyster, Crassostrea gigas / W. Jiang [et al.] // ICES Journal of Marine Science. 2021. Vol. 78, iss. 7. P. 2579–2590. doi: 10.1093/icesjms/fsab139
- Natural analogues in pH variability and predictability across the coastal Pacific estuaries: extrapolation of the increased oyster dissolution under increased pH amplitude and low predictability related to ocean acidification / N. Bednarsek [et al.] // Environmental Science and Technology. 2022. Vol. 56. P. 9015−9028. doi: 10.1021/acs.est.2c00010
- Secretory and transcriptomic responses of mantle cells to low pH in the Pacific oyster (Crassostrea gigas) / N. Zuñiga-Soto [et al.] // Frontiers in Marine Science. 2023. Vol. 10. doi: 10.3389/fmars.2023.1156831
- CO2-induced low pH in an eastern oyster (Crassostrea virginica) hatchery positively affects reproductive development and larval survival but negatively affects larval shape and size, with no intergenerational linkages / J. C. Clements [et al.] // ICES Journal of Marine Science. 2021. Vol. 78, iss. 1. P. 349–359. doi: 10.1093/icesjms/fsaa089
- Козлова Г. В., Гордиенко Н. А. Влияние хлорорганических соединений на интенсивность дыхания и содержание гликогена в мидиях Керченского пролива // Вестник Керченского государственного морского технологического университета. 2021. № 4. С. 46–58. EDN KHTEZN. doi: 10.47404/2619-0605_2021_4_46
Дополнительные файлы






