Spatial and temporal variability of hydrophysical parameters of the northern Black Sea waters from 2021 measurements
- Authors: Morozov A.N.1, Mankovskaya E.V.1
-
Affiliations:
- Marine Hydrophysical Institute of RAS
- Issue: No 4 (2023)
- Pages: 6-18
- Section: Статьи
- URL: https://journals.rcsi.science/2413-5577/article/view/255589
- EDN: https://elibrary.ru/QEZCBF
- ID: 255589
Cite item
Abstract
The paper uses the results of measurements of salinity, temperature and current velocity profiles in three expeditions of the R/V Professor Vodyanitsky (22 April – 08 May, 29 June – 10 July, 03–19 September 2021) in the central sector of the northern Black Sea (31°–37° E, 43°–45° N) to study features of the spatial distribution of hydrophysical parameters in various seasons of 2021 and to compare them with the data of previous expedition studies in 2016–2019. The horizontal distributions of currents in the spring, summer and autumn expeditions of 2021 were analysed. The averaged profiles of current velocity, density, temperature, buoyancy frequency, and kinetic energy were considered. The vertical structure of water temperature reflects the persistent warming trend of the cold intermediate layer core derived earlier from the 2016–2019 data. Based on all 2016–2021 measurements, the vertical profiles of kinetic energy show decreasing values in the upper sea layer in summer and increasing values in spring, autumn and winter seasons of the year. The profiles can be approximated by linear relationships that cross zero at a density of 16.75 kg/m3. The seasonal variability of the average kinetic energy is traceable to the depth of occurrence of this particular isopycnic.
Full Text
Introduction
Since 2016, Marine Hydrophysical Institute has been conducting annual expeditionary research in the central sector of the northern Black Sea onboard the R/V Professor Vodyanitsky. CTD probes (conductivity, temperature, depth) and measurements of current velocity profiles with the use of a Lowered Acoustic Doppler Current Profiler (LADCP) are traditionally carried out at hydrological stations during expeditions [1, 2]. The joint analysis of the CTD and LADCP data makes it possible to obtain averaged characteristics of the thermohaline structure and dynamics of the waters, as well as to assess their spatial and temporal variability [3–7].
The study on the peculiarities of the Black Sea waters dynamics remains an urgent task nowadays. LADCP probes make it possible to conduct more detailed and advanced research of current variability patterns over a wide range of spatial and temporal scales. The empirical parameters of the horizontal and vertical structure of the current velocity field obtained in this case may be used to test the results of water dynamics numerical modelling, interpret remote sensing data and evaluate various exchange processes.
The vertical thermohaline structure of the Black Sea waters is also the subject of constant monitoring and studying. In recent decades, significant changes have been observed, for instance, in the form of a trend towards decreasing salinity of the surface layer and increasing salinity of the pycnocline [8] or a tendency to the cold intermediate layer (CIL) core warming [9–13]. At the present stage, according to the field data, waters with temperatures below 8 °C (the typical boundary of the CIL) are becoming less common in the Black Sea. The Argo floats data also show that the volume of cold water in the CIL decreased, the lower boundary of the layer rose and the layer itself can disappear altogether [14]. Climatic changes in air temperature (in particular, its increase) during the winter season, which is directly related to the winter convective-turbulent cooling of the upper layer sea waters and the renewal of the CIL waters, represent one of the reasons concerning the abovementioned.
Results of the CTD and LADCP probes obtained during three 2021 Black Sea expeditions are reported and discussed in this paper. The averaged profiles of current velocity, density, temperature, buoyancy frequency and kinetic energy are considered. The purpose of the work is to investigate the features of the spatial distribution of hydrophysical parameters in different seasons of 2021 and compare them with the data of previous expedition studies in 2016–2019.
Data, tools and methods
The data of the 2021 expeditions onboard the R/V Professor Vodyanitsky in the central sector of the northern Black Sea (31°–37° E, 43°–45° N) were used:
- 22 April – 08 May (expedition 116);
- 29 June – 10 July (expedition 117);
- 03–19 September (expedition 119).
The CTD probes were performed with the help of the IDRONAUT OCEAN SEVEN 320PlusM sounding complex. The results were interpolated onto a 1 m spacing grid. According to the description of devices, the temperature and salinity measurements have their initial accuracy of 10-3 °C and 10-3 PSU.
The current velocity profile measurements were carried out with the use of the LADCP based on the Workhorse Monitor WHM300 manufactured by RDI (operating frequency – 300 kHz, nominal range – 120 m, resolution capability – 4 m). The device operation parameters were set as follows: the LADCP option was enabled in broad-band mode, which implied high resolution/low range, time discre-teness of 1 s, depth discreteness of 4 m. During the measurements, the R/V was c
drifting with the speed determined by the marine navigation system (GPS) and taken into account when processing primary data.
On deep water (over 200 m), the measurements were carried out at horizons of 160–180 m. The measurement sequence included holding the device near the sea surface at a depth of ~3 m for 5 minutes, its further plunging at a speed of 0.5 m/s to the depth of sounding, its holding at this horizon for 5 min and subsequent lifting to the surface at a speed of 0.5 m/s. The measured current velocity profiles started from a 10-meter depth. The current velocity measurement error is ~3 cm/s for a single impulse.
In the coastal areas (sea depth up to 100 m), the measurements were carried out via holding the device near the R/V board for 5 min, the influence of the R/V hull on the magnetic compass was compensated on the basis of the Bottom Track and GPS data comparison.
The LADCP data processing was performed with the help of the LDEO Software, version IX.12. The program is adapted to the measurement conditions of the Black Sea, it makes it possible to calculate the vertical profiles of the current velocity at the deep-water stations in a layer extending from ~30 m to the depth of sounding. At the shallow-water stations (sea depth up to ~90 m), the current velocity profile is calculated from the data of the ADCP measurement near the R/V board with the use of specialised software taking into account the influence of the R/V hull on the device compass readings [15].
To obtain the averaged profiles of hydrophysical parameters, isopycnic averaging over the set of stations for each expedition was applied in the further data processing. This is for the necessity to compensate for the dome-shaped isopycnic surfaces caused by the cyclonic nature of the large-scale circulation in the Black Sea waters [16].
Results of measurements and their discussion
The field data were obtained in different seasons: spring, summer and autumn of 2021. Fig. 1 shows the current velocity vectors averaged in the 10–30 m layer. The hydrological stations were located quite evenly (except for the summer surveys) in the area of the Rim Current and outside it, closer to the centre of the sea. The cyclonic nature of the large-scale circulation in the Black Sea waters was well expressed in all distributions, and the westerly current direction prevailed. The velocity and intensity of the Rim Current were very high in spring, then they decreased in summer and increased again in autumn. In each of the expeditions, an increase of the current velocity was noted in the area of the depth dump by the southern tip of the Crimean Peninsula (Cape Kikineiz), as the Rim Current intensifies there. It should be noted that the main stream in all distributions was not pressed against the continental slope of the Crimean Peninsula, but was shifted to the southwest.
Fig. 1. Current velocity vectors averaged in the 10–30 m layer (red arrows are shallow-water stations (< 100 m), yellow arrows are deep-water stations (> 100 m); the arrow point denotes the station location)
In the spring expedition, the horizontal distribution of currents revealed an anticyclonic mesoscale eddy (the Crimean anticyclone) with the typical scale of ~40 km in the eastern part of the polygon. The measurements at the hydro-logical stations falling within the eddy zone were carried out on 05.05.2021. It was also confirmed by the remote sensing data of sea surface temperature on 05.05.2021 (Fig. 2), in which the eddy anticyclonic formation was observed.
Fig. 2. Sea surface temperature on 5 May 2021 from METOP-А/2 data
In the autumn expedition, a powerful alongshore current at velocities of up to 40 cm/s was observed at the Southern coast of Crimea in the nearshore shelf zone. The current was moving in the direction opposite to the intense Rim Current (30–40 cm/s). At the same time, this current maintained its direction throughout the whole water column at the stations with maximum current velocity values. According to the authors of [17–20], the alongshore flow directed to the east and northeast (against the Rim Current) accounts for 10–12% in the bimodal distribution of the nearshore current direction repeatability by the Southern coast of Crimea. The main reason for the appearance of the so-called countercurrents is considered to be the formation of coastal anticyclonic eddies during the interaction of the Rim Current with the coast [20–24] as well as the impact of regional wind conditions [25]. The recent paper [26] systematised the results of the field studies on the regional nearshore water circulation peculiarities previously obtained in various areas of the Black Sea. The features, conditions and duration of the nearshore current direction bimodality structure by the Southern coast of Crimea were also considered.
Fig. 3 shows the vertical structure of the isopycnically averaged water temperature against the average profile of density and buoyancy frequency for three expeditions. Below the upper homogeneous surface layer, a regional minimum of the buoyancy frequency was observed at a potential density of ~14.5 kg/m3 with a maximum of ~15.0 kg/m3. The minimum temperature values were observed at a potential density of 14.7–14.8 kg/m3: 8.68 °C in May, 8.65 °C in July, 8.71 °C in September. Earlier, we determined that the CIL, according to the contact measuring in the same sea area, tends to warm [5], and a criterion for the CIL boundary was proposed in the form of a temperature of 8.6 °C. However, according to the discussed data of the 2021 expeditions, it is not suitable. Only the 8.8 °C boundary can be considered.
Fig. 3. Temperature vertical profiles isopicnically averaged over the set of 2021 expedition stations, together with the density distribution (a) and buoyancy frequency (b). The temperature scale is limited above by the value of 8.9 °С
The root mean square (RMS) profile of the current velocity modulus in all seasons shows its decrease with depth (Fig. 4, a). At the same time, in the 30–100 m depth range, the values of the current velocity modulus in spring and autumn were higher than in summer when large-scale sea circulation weakens and a seasonal thermocline is formed. Up to a density value of 14.5 kg/m3 corresponding to the minimum buoyancy frequency, the current velocity varied slightly. In the 40–100 m depths layer (14.5–16.0 kg/m3 density range), there was a sharp (almost twofold) decrease in the current velocity modulus caused by the transition of a part of kinetic energy into potential one, determined by the isopycnic surfaces deviation from the horizontal position.
Fig. 4. Vertical profiles of current velocity and density (a), kinetic energy and buoyancy frequency (b), isopycnically averaged over the set of 2021 expedition stations
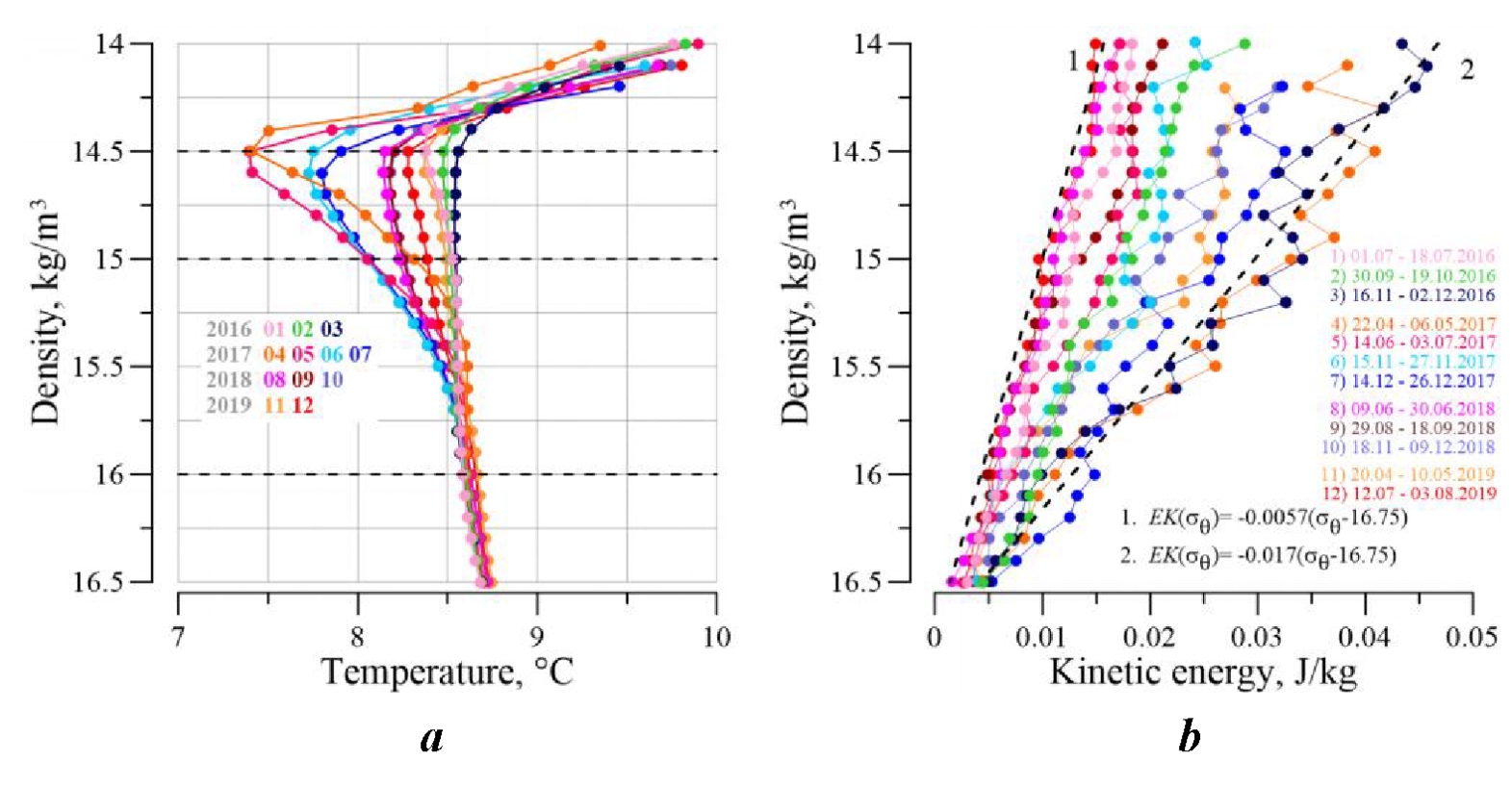
As for the tasks of comparing the results of water dynamics numerical modelling with the current velocity profiles field measurements, the vertical distribution of kinetic energy averaged over a certain set of stations is more suitable. Fig. 4, b shows kinetic energy profiles for all three expeditions considered in the present paper, isopycnically averaged over a set of stations (see Fig. 1). A decrease in the upper layer kinetic energy in summer and its increase in spring and, especially, in autumn were well traced. The profiles can be approximated by linear relationships crossing the zero value at a density of 16.75 kg/m3. Similar results were obtained according to the data of the 2016–2019 expeditionary research (Fig. 5, b). According to Fig. 5, the values of kinetic energy in the upper layer of the sea (at a density of 14 kg/m3) in summer did not exceed 0.02 J/kg. The same was observed according to the data of the 2021 summer expedition.
Fig. 5, а shows the isopycnically averaged temperature profiles obtained from the measurements carried out in 2016–2019 [6]. The renewal of the CIL waters in its classic form (< 8 °C) took place only in 2017. It was due to the relatively cold winter of 2016–2017. Since that time, there has been a tendency to the CIL core warming, which still persists, according to the measurements carried out in 2020–2021 (Fig. 6). The graphs in Fig. 6 show the air temperature in Kerch together with the average temperature of the CIL core from the beginning of 2016 to the end of 2021. It can be seen that winter air temperatures did not correspond to the values of 2017 and did not fall below them.
Fig. 5. Vertical profiles of temperature (a) and kinetic energy (b), isopycnically averaged over the set of stations, for 12 expeditions of 2016–2019
Fig. 6. Mean daily (grey line) and mean monthly (green line) air temperature in Kerch (a), mean values of the minimum water temperature in the profiles at the stations for the 2017–2021 expeditions and mean monthly winter air temperature in Kerch (b). Lines 1 and 2 are approximating functions
Accordingly, the decrease in the temperature of the CIL waters and their renewal were not observed. Dashed line 1 shows the earlier proposed relationship [5], according to which the temperature of the CIL increases after its renewal in 2017. The approximating function has the following form: null, where t – time period, year. Taking into account the new data of expeditionary measurements, the updated relationship is as follows (dashed line 2): null.
Conclusions
According to the CTD and LADCP probes in three 2021 expeditions, spatial distributions of hydrophysical parameters were obtained in the northern Black Sea. The current velocity horizontal distribution in all seasons was dominated by westerly directions with the clearly expressed Rim Current, which was not pressed against the continental slope of the Crimean Peninsula, but was shifted to the deep sea. The Rim Current velocity reached 50 cm/s in spring, then decreased in summer and increased again in autumn. The average values of the current velocity at a depth of 40 m were 26 cm/s in spring, 21 cm/s in summer and 27 cm/s in autumn. The maximum current velocities were observed in each of the expeditions in the area of the depth dump by the southern tip of the Crimean Peninsula (Cape Kikineiz).
In the spring expedition, the horizontal distribution of currents revealed an anticyclonic mesoscale eddy (the Crimean anticyclone) with the typical scale of ~40 km in the eastern part of the polygon. In the autumn expedition, a powerful alongshore current at a velocity of up to 40 cm/s was observed by the Southern coast of Crimea in the nearshore shelf zone. It was moving in the direction opposite the intense Rim Current (30–40 cm/s) and maintained its direction throughout the whole water column.
As a result of the CTD and LADCP data joint analysis, averaged vertical profiles of current velocity, density, temperature, buoyancy frequency and kinetic energy were obtained. The vertical structure of the water temperature reflects the continuing warming tendency of the CIL core. The minimum temperature values were 8.68 °C in May, 8.65 °C in July, 8.71 °C in September, i. e. waters with temperatures below 8°C (the typical CIL boundary) were not observed. The CIL temperature increases after its renewal in 2017 in accordance with the following time relationship: null.
The RMS profile of the current velocity modulus in all seasons shows its decrease with depth. At the same time, up to a density value of 14.5 kg/m3, the current velocity varied slightly. In the 40–100 m depths layer (14.5–16.0 kg/m3 density range), there was an almost twofold decrease in the current velocity modulus, which was caused by the transition of a part of kinetic energy into potential one.
A decrease in kinetic energy of the upper layer in summer and its increase in spring and, especially, in autumn were well traced in the vertical profiles. These profiles can be approximated by linear relationships that cross the zero value at a density of 16.75 kg/m3. Similar results were obtained according to the data of the 2016–2019 expeditionary research. The values of kinetic energy in the upper layer of the sea (at a density of 14 kg/m3) in summer did not exceed 0.02 J/kg, according to all the measurements carried out in 2016–2021.
About the authors
Alexey N. Morozov
Marine Hydrophysical Institute of RAS
Author for correspondence.
Email: anmorozov@mhi-ras.ru
ORCID iD: 0000-0001-9022-3379
Scopus Author ID: 7202104940
ResearcherId: ABB-4365-2020
Senior Research Associate, PhD (Tech.)
Russian Federation, 299011, Sevastopol, Каpitanskaya St., 2Ekaterina V. Mankovskaya
Marine Hydrophysical Institute of RAS
Email: emankovskaya@mhi-ras.ru
ORCID iD: 0000-0002-4086-1687
Scopus Author ID: 57192647961
ResearcherId: AAB-5303-2019
Senior Research Associate, PhD (Tech.)
Russian Federation, 299011, Sevastopol, Каpitanskaya St., 2References
- Firing, E. and Gordon, R., 1990. Deep Ocean Acoustic Doppler Current Profiling. In: IEEE, 1990. Proceedings of the IEEE Fourth Working Conference on Current Measurement. Clinton, MD, USA: IEEE, pp. 192–201. doi: 10.1109/CURM.1990.110905
- Visbeck, M., 2002. Deep Velocity Profiling Using Lowered Acoustic Doppler Current Profilers: Bottom Track and Inverse Solutions. Journal of Atmospheric and Oceanic Tech-nology, 19(5), pp. 794–807. doi: 10.1175/1520-0426(2002)019<0794:DVPULA>2.0.CO;2
- Morozov, A.N., Lemeshko, E.M., Shutov, S.A., Zima, V.V. and Deryushkin, D.V., 2017. Structure of the Black Sea Currents Based on the Results of the LADCP Observations in 2004–2014. Physical Oceanography, (1), pp. 25–40. doi: 10.22449/1573-160X-2017-1-25-40
- Morozov, A.N. and Mankovskaya, E.V., 2019. Seasonal Variability of Currents Structure in the Black Sea Northern Part from Field Measurements in 2016. Fundamentalnaya i Prikladnaya Gidrofizika, 12(1), pp. 15–20. doi: 10.7868/S2073667319010027
- Morozov, A.N. and Mankovskaya, E.V., 2020. Cold Intermediate Layer of the Black Sea according to the Data of the Expedition Field Research in 2016–2019. Ecological Safety of Coastal and Shelf Zones of Sea, (2), pp. 5–16. doi: 10.22449/2413-5577-2020-2-5-16 (in Russian).
- Morozov, A.N. and Mankovskaya, E.V., 2021. Modern Studies of Water Dynamics in the North-Western Part of Black Sea from LADCP Measurements. In: MSU, 2021. InterCarto. InterGIS. GI Support of Sustainable Development of Territories: Proceedings of the International Conference. Moscow: MSU, Faculty of Geography. Vol. 27, part 3, pp. 5–15. doi: 10.35595/2414-9179-2021-3-27-5-15 (in Russian).
- Morozov, A.N. and Mankovskaya, E.V., 2021. Spatial Characteristics of the Black Sea Cold Intermediate Layer in Summer, 2017. Physical Oceanography, 28(4), pp. 404–413. doi: 10.22449/1573-160X-2021-4-404-413
- Polonsky, A.B., Shokurova, I.G. and Belokopytov, V.N., 2013. Decadal Variability of Temperature and Salinity in the Black Sea. Morskoy Gidrofizicheskiy Zhurnal, (6), pp. 27–41 (in Russian).
- Belokopytov, V.N., 2010. Interannual Variations of the Renewal of Waters of the Cold Intermediate Layer in the Black Sea for the Last Decades. Physical Oceanography, 20(5), pp. 347–355. https://doi.org/10.1007/s11110-011-9090-x
- Piotukh, V.B., Zatsepin, A.G., Kazmin, A.S. and Yakubenko, V.G., 2011. Impact of the Winter Cooling on the Variability of the Thermohaline Characteristics of the Active Layer in the Black Sea. Oceanology, 51(2), 221. https://doi.org/10.1134/S0001437011020123
- Capet, A., Troupin, C., Carstensen, J., Grégoire, M. and Beckers, J.-M., 2014. Untangling Spatial and Temporal Trends in the Variability of the Black Sea Cold Intermediate Layer and Mixed Layer Deepth Using the DIVA Detrending Procedure. Ocean Dynamics, 64(3), pp. 315–324. doi: 10.1007/s10236-013-0683-4
- Novikova, A.M. and Polonsky, A.B., 2018. Inter-Decadal Variability of the Black Sea Surface and Cold Intermediate Layer Temperature. In: INTS, 2018. Monitoring Systems of Environment. Sevastopol: INTS. Iss. 34, pp. 110–115 (in Russian).
- Miladinova, S., Stips, A., Garcia-Gorriz, E. and Macias Moy, D., 2017. Black Sea Thermohaline Properties: Long-Term Trends and Variations. Journal of Geophysical Research: Oceans, 122(7), pp. 5624–5644. doi: 10.1002/2016JC012644
- Stanev, E.V., Peneva, E. and Chtirkova, B., 2019. Climate Change and Regional Ocean Water Mass Disappearance: Case of the Black Sea. Journal of Geophysical Research: Oceans, 124(7), pp. 4803–4819. doi: 10.1029/2019JC015076
- Morozov, A.N. and Lemeshko, E.M., 2006. Methodical Aspects of the Application of Acoustic Doppler Current Profilers in the Black Sea. Physical Oceanography, 16(4), pp. 216–233. doi: 10.1007/s11110-006-0027-8
- Suvorov, A.M. and Shokurova, I.G., 2004. Annual and Interdecadal Variability of the Available Potential Energy in the Black Sea. Physical Oceanography, 14(2), pp. 84–95. doi: 10.1023/B:POCE.0000037872.25674.ac
- Boguslavsky, S.G., Koveshnikov, L.A., Kaminsky, S.T. and Markov, A.A., 1992. Features of the Currents at a Bold Coast. Soviet Journal of Physical Oceanography, 3(5), pp. 357–365. https://doi.org/10.1007/BF02198066
- Belokopytov, V.N., Sarkisov, A.A. and Shchurov, S.V., 2003. Currents near the Part of the Crimean Coast from the Sarych Cape to Katcivelli. In: MHI, 2003. Ekologiches-kaya Bezopasnost' Pribrezhnoy i Shel'fovoy Zon i Kompleksnoe Ispol'zovanie Resursov Shel'fa [Ecological Safety of Coastal and Shelf Zones and Comprehensive Use of Shelf Resources]. Sevastopol: MHI. Iss. 8, pp. 64–68 (in Russian).
- Krivosheya, V.G., Moskalenko, L.V. and Titov, V.B., 2004. On the Current Regime over the Shelf near the North Caucasian Coast of the Black Sea. Oceanology, 44(3), pp. 331–336.
- Ovchinnikov, I.M. and Titov, V.B., 1990. Anti-Cyclonic Vorticity of Currents in the Offshore Zone of the Black Sea. Doklady Akademii Nauk SSSR, 314(5), pp. 1236–1239 (in Russian).
- Titov, V.B., 1992. About the Role of Eddies in Current Regime Formation on the Black Sea Shelf and Ecology Coastal Zone. Oceanology, 32(1), pp. 39–48 (in Russian).
- Zatsepin, A.G., Elkin, D.N., Korzh, A.O., Kuklev, S.B., Podymov, O.I., Ostrovskii, A.G. and Soloviev, D.M., 2016. On Influence of Current Variability in the Deep Black Sea upon Water Dynamics of Narrow North Caucasian Continental Shelf. Physical Oceanography, (3), pp. 14–22. doi: 10.22449/1573-160X-2016-3-14-22
- Serebryany, A.N. and Lavrova, O.Yu., 2008. [Anticyclonic Eddy on the Shelf of the North-Eastern Black Sea: Joint Analysis of Space Images and Acoustic Sounding Data of the Sea Water Column]. Sovremennye Problemy Distantsionnogo Zondirovaniya Zemli iz Kosmosa, 5(2), pp. 206–215 (in Russian).
- Titov, V.B., Krivosheya, V.G. and Moskalenko, L.V., 2002. Currents Regime in Russian sector of the Black Sea. In: A. G. Zatsepin and M. V. Flint, eds., 2002. Multidisciplinary Investigations of the Northeast Part of the Black Sea. Moscow: Nauka, pp. 48–54 (in Russian).
- Ivanov, V.A. and Belokopytov, V.N., 2013. Oceanography of Black Sea. Sevastopol: ECOSI-Gidrofizika, 210 p.
- Kuznetsov, A.S. and Ivashchenko, I.K., 2023. Features of Forming the Alongcoastal Circulation of the Coastal Ecotone Waters nearby the Southern Coast of Crimea. Physical Oceanography, 30(2), pp. 171–185. doi: 10.29039/1573-160X-2023-2-171-185
Supplementary files









