Mitochondrial respiration of a primary mixed culture of neurons from hippocampus at various stages of differentiation
- Authors: Zelentsova A.S.1, Borisova A.Y.1, Shmigerova V.S.1, Skorkina M.Y.1, Deykin A.V.1
-
Affiliations:
- Belgorod State University
- Issue: Vol 19, No 1 (2024)
- Pages: 201-210
- Section: Original Study Articles
- URL: https://journals.rcsi.science/2313-1829/article/view/254552
- DOI: https://doi.org/10.17816/gc529662
- ID: 254552
Cite item
Abstract
BACKGROUND: Primary mixed culture of neurons is often used to evaluate the molecular mechanisms underlying neurodegenerative disorders. However, isolating cells from the brain is accompanied by profound changes in cell morphology, behavior, and metabolic rate due to enzymatic disintegration and microenvironmental changes in cells. In this regard, the mitochondrial basal respiration of neurons should be considered as an indicator of the formation of functional activity of the cell.
AIM: To evaluate mitochondrial respiration in a primary mixed culture of hippocampal neurons at various stages of differentiation.
METHODS: This study included mice of line CD-1 and was conducted in two series: the first studied the primary mixed embryonic culture on the 18th day of gestation (E18) and the second used the postnatal culture on the 2nd day after birth (P2). A Seahorse XF HS Mini (Agilent, USA) was used to measure the functional parameters of cell metabolism. The oxygen consumption rate was calculated based on the results of the mitochondrial respiration profile of the primary mixed culture built during its differentiation.
RESULTS: On the 5th day of neuronal differentiation in the culture, maximum mitochondrial respiration was established both in the hippocampal culture obtained from embryos on the 18th day of gestation and in the culture taken from mice on the 2nd day after birth. As cells differentiated in culture from days 2 to 11, the substrate oxidation rate increased almost twofold in the culture of hippocampal neurons obtained from embryos, which increased the metabolic potential.
CONCLUSION: The study results prove that the hippocampus can be used to study the role of mitochondria in neurogenesis.
Keywords
Full Text
ВВЕДЕНИЕ
Митохондриальный метаболизм имеет решающее значение для поддержания активности и жизнеспособности нейронов [1–3]. Митохондрии не только принимают непосредственное участие в энергетическом обмене, но и являются генераторами метаболических промежуточных продуктов [4], а также регуляторными платформами целого спектра внутриклеточных процессов: поддерживают кинетику запрограммированной клеточной смерти [5]; участвуют в регулируемом обмене липидов, холестерина и Са2+ [6, 7]; запускают воспалительную реакцию при высвобождении митохондриальной ДНК и формил-пептидов [8].
Первичная смешанная культура нейронов часто используется для исследования механизмов нейродегенеративных расстройств [9]. Однако выделение клеток нейронов из мозга сопровождается глубокими изменениями клеточной морфологии, поведения, скорости метаболизма вследствие ферментативной дезинтеграции и изменения среды микроокружения для клеток [10]. В связи с этим актуальным является изучение базального дыхания митохондрий нейронов как показателя сформированности функциональной активности клетки. Известно, что во время клеточной дифференцировки происходит созревание митохондрий [11]. Согласно данным литературы [12, 13], переход от плюрипотентного состояния к дифференцировке клетки контролируется балансом между гликолитическим дыханием и окислительным фосфорилированием.
Цель исследования — оценить митохондриальное дыхание первичной смешанной культуры нейронов гиппокампа на различных стадиях дифференцировки.
МАТЕРИАЛЫ И МЕТОДЫ
Все эксперименты выполнены с соблюдением требований Хельсинкской декларации по гуманному обращению с животными (2013), директив Европейского парламента и Совета Европейского Союза 2010/63/ЕС о защите животных, использующихся для научных целей, и одобрены комиссией по контролю за содержанием и использованием лабораторных животных НИУ «БелГУ» (экспертное заключение № 01и/23 от 23.01.2023 г.).
Выделение первичной смешанной культуры нейронов гиппокампа
Выделение гиппокампа эмбрионов. Для получения эмбриональной культуры на 18-й день гестации мышам выполняли общую анестезию путём внутрибрюшинного введения Золетила из расчёта 40 мг/кг. Через 2–4 мин от начала действия наркоза проводили эвтаназию мыши при помощи метода цервикальной дислокации позвонков. Все манипуляции в дальнейшем выполняли в условиях охлаждения — на льду. Вскрывали брюшную полость, проводили эктомию матки с эмбрионами в чашке Петри с охлаждённым раствором Хенкса. Отделяли эмбрионы от стенки матки и помещали их в чашку с этим же раствором. Эмбрионы последовательно переносили в сухую чашку Петри, которую помещали под бинокуляр (×4). Фиксировали пинцетом шею, вторым пинцетом захватывали кожную складку на шее и снимали кожу с черепа. Одной браншей пинцета вскрывали череп со стороны носовой полости по сагиттальному шву. Удаляли теменные кости пинцетом. Скальпелем переносили мозг в чашку Петри с охлаждённым фосфатно-буферным раствором — PBS (рН=7,4) и полностью погружали его в раствор. Гиппокамп выделяли на предметном стекле с «лункой», которое было погружено в чашку Петри. Предварительно капали охлаждённый раствор PBS в «лунку» и на край предметного стекла. Скальпелем переносили мозг на край предметного стекла в раствор PBS; фиксируя пинцетом мозг за мозжечок, отделяли правое и левое полушарие по межполушарной борозде от ствола мозга. Во время работы с одним полушарием второе полушарие переворачивали медиальной поверхностью вниз, погружая в охлаждённый раствор PBS. При выделении гиппокампа из полушария заводили пинцет в желудочек, осуществляли надрезы по краям гиппокампа, разворачивали скальпелем гиппокамп, резецировали его от коры и сосудов, переносили в «лунку» с охлаждённым PBS. Отбирали PBS, гиппокамп делили скальпелем на 6–8 частей. В эксперименте от каждой самки брали ткань гиппокампа у шести хорошо сформированных эмбрионов. Ткань после измельчения на стекле переносили в одну пробирку с 0,25% раствором трипсин-ЭДТА.
Выделение гиппокампа новорождённых мышат. Проводили общую анестезию новорождённых (2-дневных) мышат путём внутрибрюшинного введения Золетила из расчёта 20 мг/кг. Осуществляли эвтаназию путём цервикальной дислокации позвонков. Ножницами разрезали кожу по линии у основания черепа. Отделяли мышцы шеи и позвоночника по линии между атлантом и черепом, визуализируя продолговатый мозг. Затем отделяли голову и погружали её в лоток с измельчённым льдом. Препарировали верхнюю часть черепной коробки от кожи и фасций, предварительно сделав разрез по срединной линии головы. Выполняли продольные разрезы по швам черепной коробки в направлении от большого затылочного отверстия к носовым ходам справа и слева. Пинцетом аккуратно приподнимали и удаляли кости черепа, обнажая головной мозг. Удаляли также лобные, височные кости и приподнимали мозг кверху с дорсальной его части. После чего отсекали черепно-мозговые нервы, извлекали мозг и помещали его в чашку Петри с охлаждённым PBS. Под бинокуляром (×4) разделяли большие полушария головного мозга. С помощью пинцета раздвигали кору больших полушарий кверху и назад, визуализировали бугорок с полоской белого вещества посередине, поддевали пинцетом гиппокамп и отщепляли его от коры и нижележащих отделов головного мозга. Помещали гиппокамп на предметное стекло с «лункой» в каплю охлаждённого PBS, измельчали на 6–8 частей и переносили ткань в пробирку с 0,25% раствором трипсин-ЭДТА.
Трипсинизация гиппокампа. Ткань трипсинизировали в 0,25% растворе трипсин-ЭДТА (25200056; Gibco, США) в течение 20 мин при 37 °С и 5%CO2 в инкубаторе (Binder, Германия). После трипсинизации проводили трёхкратную отмывку клеточной суспензии в PBS. К полученной суспензии добавляли 2 мл нейробазальной среды (21103049; Gibco, США), содержащей 10% эмбриональной телячьей сыворотки (FB-1001B/50м; «ПанЭко», Россия), 2% добавки белка B-27 (17504044; Gibco, США), 0,5 мМ L-Glutamax (25030081; Gibco, США), 1% PenStrep («ПанЭко», Россия).
Подсчёт клеток
Для подсчёта клеток использовали краситель 0,4% трипановый синий, в который добавляли клеточную суспензию в соотношении краситель:суспензия 3:1. Количество живых и мёртвых клеток подсчитывали в пяти больших квадратах (разделённых на 16 малых) по диагонали. Расчёт числа клеток проводили согласно формуле:
N=×df×V×2,5×105,
где количество квадратов — число квадратов, в которых были подсчитаны клетки; df — разведение клеточной взвеси красителем; V — объём, в котором ресуспендировали осадок; 2,5×105 — коэффициент перерасчёта в миллилитрах.
Подготовка планшетов для анализатора клеточного метаболизма
Первичные смешанные культуры нейронов гиппокампа культивировали в 8-луночных планшетах для анализатора клеточного метаболизма Seahorse XF HS Mini (Agilent, США). Предварительно готовили планшеты Cell culture miniplates (Agilent, USA). В канавки вокруг лунок вносили по 400 мкл стерильной дистиллированной воды. Культуральные лунки B-G покрывали 10 мкл poly-D-lysine в концентрации 0,01 мг/мл, в лунки коррекции фона А и Н вносили по 180 мкл дистиллированной воды. Планшеты оставляли на 1 ч при 37 °С в термостате. После этого их трижды промывали средой Дульбекко и покрывали 20 мкл культуральной нейробазальной среды, содержащей 2% добавки белка B-27; 0,5 мМ L-Glutamax, на 10 мин с выдержкой в термостате при 37 ºС, затем среду отбирали, планшеты высушивали.
Посев и культивирование первичной смешанной культуры
При высевании смешанной культуры гиппокампа от 18-дневных эмбрионов в каждую ячейку подготовленного планшета Cell culture miniplates (Agilent, USA) вносили по 40 мкл клеточной суспензии, содержащей 20 000 клеток, при работе с культурой новорождённых мышей в каждую ячейку планшета вносили по 80 мкл клеточной суспензии, содержащей 40 000 клеток. Доводили общий объём среды в ячейке до 180 мкл путём добавления нейробазальной среды с высоким содержанием сыворотки. Через 3 ч роста культуры в СО2-инкубаторе проводили замену высокосывороточной культуральной среды на низкосывороточную культуральную среду согласно способу [14].
Измерение параметров митохондриального дыхания
Для измерения функциональных параметров клеточного метаболизма готовили аналитическую среду DMEM Media, содержащую глюкозу в конечной концентрации 10 мМ, пируват (1 мМ) и L-глутамин (2 мМ). Меняли нейробазальную среду в анализируемых планшетах на аналитическую и инкубировали в ней культуру нейронов 1 ч при 37 °С до проведения анализа. Затем измеряли базальное митохондриальное дыхание на анализаторе клеточного метаболизма Seahorse XF HS Mini (Agilent, США). После измерения с целью сохранения жизнеспособности культуры и её дифференцировочного потенциала заменяли аналитическую среду на высокосывороточную культуральную нейробазальную среду [14]. Скорость потребления кислорода (OCR) и скорость закисления среды (ECAR) измеряли на 2, 5, 8, 11-е сутки дифференцировки. По результатам измерения оценивали функциональную сформированность нейрональной сети в культуре in vitro.
Оценка энергетического фенотипа
Оценку энергетического фенотипа нейронов проводили на 2-е и 11-е сутки дифференцировки с использованием набора Cell Energy Phenotype Test Kit (103325-100; Adgilent, США). В наборе использовали олигомицин (ингибитор АТФ-синтазы) в конечной концентрации 100 мкМ и FCCP (митохондриальный разобщитель) в конечной концентрации 100 мкМ. Концентрация стрессового раствора олигомицин/FCCP, который вносили в порт картриджа, составляла 1,0/1,0 мкМ. По результатам измерений строили карты метаболического профиля, используя программное обеспечение Wave (Agilent, США).
Статистический анализ
Статистический анализ проводили с использованием критерия Манна–Уитни для выборок с ненормальным распределением и числом измерений менее 100. Общее число выполненных измерений на каждые сутки дифференцировки равно 18. Динамику изменения параметров митохондриального дыхания на 5, 8 и 11-е сутки оценивали по отношению ко 2-м суткам дифференцировки. Критический уровень значимости при проверке статистических гипотез в данном исследовании принимали равным 0,05.
РЕЗУЛЬТАТЫ
Эмбриональная культура гиппокампа получена от 30 эмбрионов, взятых от пяти беременных самок мышей линии CD-1 на 18-й день гестации. Постнатальная культура получена от пяти новорождённых мышат линии CD-1 на 2-й день после рождения. Каждая экспериментальная серия выполнена в пяти повторностях, в каждой из которых в свою очередь произведено по три технических измерения.
Параметры базового митохондриального дыхания представлены в табл. 1. Согласно полученным данным, кислородный запрос нервных клеток в культуре гиппокампа двухдневных новорождённых мышат существенно — на 133,4% — возрастал (р <0,05) на 5-е сутки культивирования по сравнению со 2-ми сутками. В дальнейшем на 8-е и 11-е сутки скорость потребления кислорода митохондриями статистически значимо не отличалась от 2-х суток дифференцировки.
Таблица 1. Параметры митохондриального дыхания (параметр OCR, пмоль/мин) первичной смешанной культуры нейронов гиппокампа мыши линии CD-1
Table 1. Mitochondrial respiration parameters (parameter OCR, pmol/min) of the primary neurons culture of mice hippocampus of the line CD-1
Сутки | Эмбриональная культура, полученная на 18-й день гестации | Постнатальная культура, полученная на 2-е сутки после рождения | ||
М±SD | U (U≤Uкр) | M±SD | U (U≤Uкр) | |
2-е | 157,77±29,98 | — | 157,45±29,94 | — |
5-е | 225,05±37,4 | 28* | 367,86±39,14 | 0* |
8-е | 118,54±10,49 | 42* | 145,98±20,12 | 136 |
11-е | 333,65±12,52 | 0* | 166,27±35,19 | 141 |
Примечания: OCR — скорость потребления кислорода, М±SD — среднее ± стандартное отклонение, U — числовые значения критерия Манна–Уитни, Uкр — критическое значение критерия (для исследуемой выборки равно 99); * статистическая значимость различий значений при р <0,05 по сравнению со 2-ми сутками дифференцировки.
Notes: OCR — the oxygen consumption rate, М±SD — median ± standard deviation, U — values of the Mann-Whitney criterion, Ucr — critical value of the criterion (for the sample under study it is 99), * are reliable values at p <0.05 compared to 2 days of differentiation.
В культуре гиппокампа, полученной от 18-дневных эмбрионов на 5-е сутки дифференцировки, потребление кислорода увеличилось на 43,2% (р <0,05), на 8-е сутки скорость потребления кислорода снизилась на 33% (р <0,05) и к 11-м суткам возросла на 111,5% (р <0,05) по сравнению со 2-ми сутками дифференцировки.
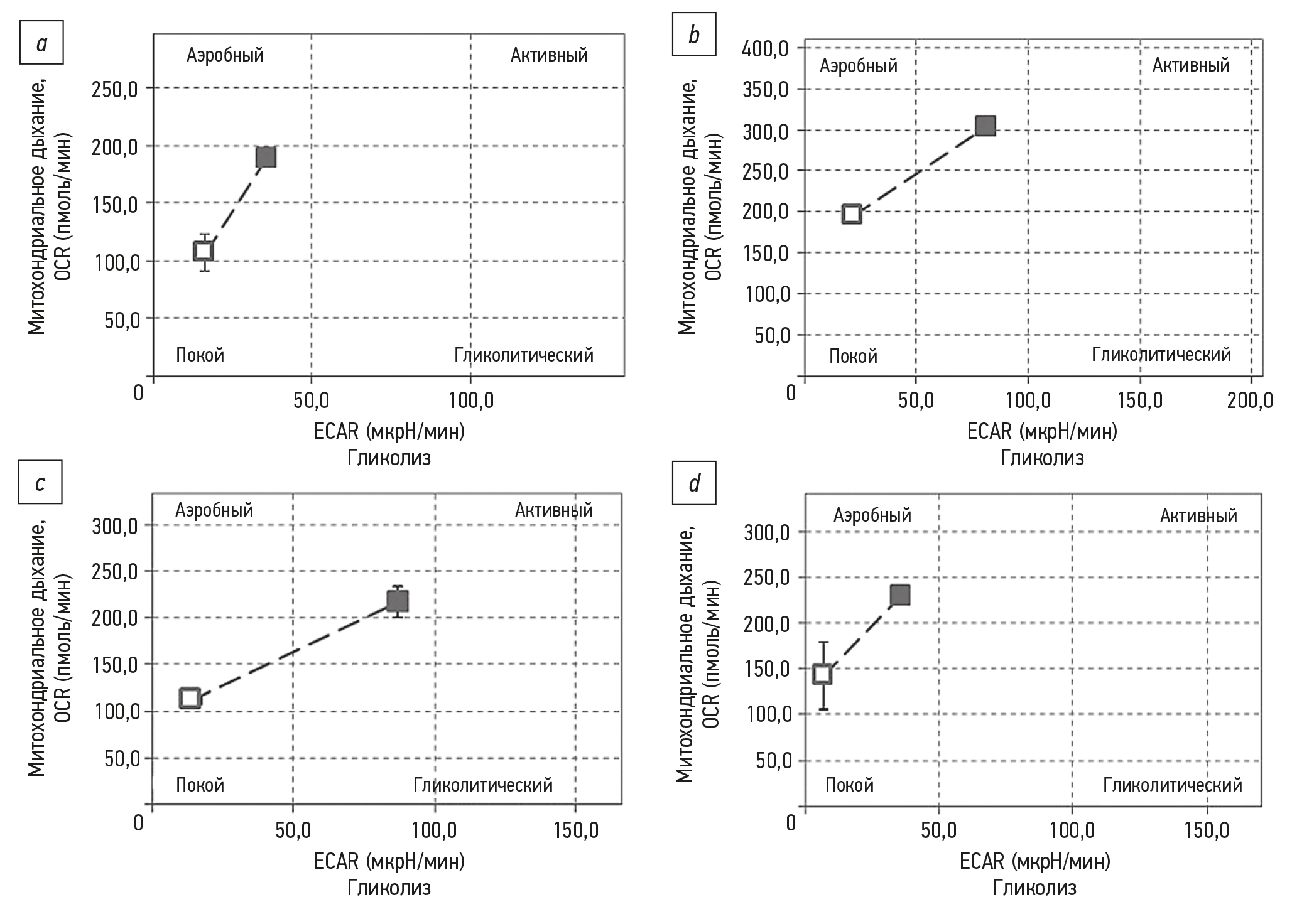
Состояние энергетического обмена первичной смешанной культуры нейронов в процессе дифференцировки представлено на рис. 1 в виде энергетического фенотипа клетки, отражающего взаимосвязь гликолиза и дыхательной активности митохондрий. Выполненный тест позволяет оценить метаболический сдвиг в сторону более аэробной или гликолитической активности клеток при созревании. Согласно полученным данным, нейроны гиппокампа, полученные от эмбрионов на 18-й день гестации, в ходе дифференцировки демонстрируют увеличение скорости окисления в ~2 раза, а также сдвиг метаболизма в сторону анаэробного гликолиза после внесения стрессоров (рис. 1, a, b), что указывает на достаточно высокий метаболический потенциал и созревание механизмов поддержания энергетического баланса клеток в культуре как за счёт окислительного фосфорилирования, так и за счёт гликолиза. Нейроны гиппокампа, полученные от двухдневных новорождённых мышат, в процессе дифференцировки демонстрировали существенное снижение скорости закисления среды в ~4,5 раза на фоне практически не изменённой скорости окисления (рис. 1, c, d), что указывает на снижение метаболического потенциала культуры в процессе дифференцировки.
Рис. 1. Энергетический фенотип первичной смешанной культуры нейронов гиппокампа, демонстрирующий отношение скорости потребления кислорода (OCR) к скорости закисления среды (ECAR): полученной на18-е сутки гестации: a — 2-е сутки дифференцировки; b — 11-е сутки дифференцировки; полученной на 2-е сутки после рождения: c — 2-е сутки дифференцировки; d — 11-е сутки дифференцировки. Белый маркёр — отношение в физиологическом состоянии, серый маркёр — отношение при внесении стрессоров: олигомицина, блокирующего работу АТФ-синтазы, и FCCP, вызывающего разобщение между процессами окисления и фосфорилирования.
Fig. 1. Energy phenotype of the primary mixed culture of hippocampal neurons showing the ratio of oxygen consumption rate (OCR) to extracellular acidification rate (ECAR): hippocampal culture obtained on the 18th day of gestation: a — 2nd day of differentiation; b — 11th day of differentiation; hippocampus culture obtained on the 2nd day after birth: c — 2nd day of differentiation; d — 11th day of differentiation. The white marker is the ratio in the physiological state, the gray marker is the ratio when stressors are introduced: oligomycin which blocks the work of ATP-synthase and FCCP which causes uncoupling between the processes of oxidation and phosphorylation.
ОБСУЖДЕНИЕ
По данным литературы [15], в постнатальном мозге зубчатая извилина гиппокампа является нейрогенной нишей и содержит нейрональные прогениторные стволовые клетки, что позволяет использовать мозг постнатальных мышей наравне с эмбриональными в качестве модели для изучения роли митохондрий в нейрогенезе. Выбор гиппокампа в качестве объекта исследования связан с тем, что эта структура мозга является идеальной моделью для создания первичных культур нейронов высокой частоты на моделях мышей дикого типа или генетически модифицированных, которые можно использовать для моделирования заболеваний и исследования множества нейрофизиологических аспектов, таких как синаптическая сигнализация, электрофизиологические свойства, дифференцировка и старение, нейротоксичность, митохондриальная дисфункция [16–19].
Выбор одного из исследуемых образцов культуры гиппокампа на поздней эмбриональной стадии — 18-й день эмбриогенеза — связан с тем, что на этой стадии развития в ткани присутствует небольшое количество глии, в результате чего при посеве можно получить достаточно чистые культуры нейронов [20]. Кроме того, эмбриональные культуры характеризуются высокой пластичностью по сравнению с постнатальными, так как имеют меньше сложных нейритов, более низкую связь между нейронами и меньшую зависимость от субстратов культивирования [21, 22]. Все эти факторы дают эмбриональным культурам преимущества — более высокую устойчивость и выживаемость после химической и механической диссоциации тканей.
В отличие от эмбриональной ткани, постнатальная мозговая ткань относительно чувствительна к процессу культивирования. В связи с этим в эксперимент в качестве второго исследуемого образца была взята ткань от 2-дневных мышат, так как по мере развития нейроны становятся более восприимчивыми к эксайтотоксичности, опосредованной глутаматом [23], и проявляют повышенную активацию каспаз и апоптоз [24]. Физическая деградация нейронов нарушает внутринейрональную трофическую поддержку, тем самым ещё больше снижая жизнеспособность клеток [21]. Вместе с тем постнатальное культивирование имеет важные преимущества, такие как сокращение числа экспериментальных животных, поскольку забивают только детёнышей необходимого пола для получения культуры ткани и предварительно отгенотипированных трансгенных животных до момента забора материала. Постнатальная культура гиппокампа представляет собой удобную модель для изучения патофизиологии нейронов in vitro, особенно в области обучения и памяти, а также нейродегенерации [25].
В выполненном исследовании проанализирована динамика изменения митохондриального дыхания на различные сутки дифференцировки в культуре. Установлено, что для нейроглиальной культуры гиппокампа, полученной как от эмбрионов на 18-й день гестации, так и от 2-дневных новорождённых мышат, характерно максимальное потребление кислорода на 5-е сутки созревания. Однако в эмбриональной культуре это связано с доказанным ранее формированием спонтанной активности нейрональной сети и формированием межнейрональных связей [26], в то время как для постнатальной культуры, вероятнее всего, происходит переключение типа метаболизма с гликолитического к окислительному фосфорилированию. В созревающих нейронах гликолитический метаболизм ограничивает продукцию активных форм кислорода и защищает от окислительного повреждения незрелые нейроны [27]. В литературе представлена экспериментальная работа [28], согласно которой созревание нейронов у взрослых мышей в гиппокампе полностью соответствует эмбриональному нейрогенезу гиппокампа. Первоначально в культуре появляются медленные ГАМК-ергические синапсы, в это время дендриты без шипов мигрируют в гранулярно-клеточный слой; затем появляются глутаматергические афферентные синапсы, нейроны по морфологии соответствуют зрелым клеткам с разветвлёнными отростками, клетки демонстрируют зрелую возбудимость; в конце появляются быстрые ГАМК-ергические синапсы.
Для удовлетворения клеточных потребностей в энергии нейроны используют митохондриальное дыхание и гликолиз. В выполненном исследовании проанализирован энергетический фенотип эмбриональной и постнатальной культуры на 2-е и 11-е сутки дифференцировки. Энергетический фенотип включает базовый фенотип, стрессовый фенотип и метаболический потенциал. Последний показывает способность клеток и предпочтительный путь реагирования на вызванные стрессом изменения потребности в энергии. Кроме того, метаболический потенциал количественно определяется как разница между исходным фенотипом и стрессовым фенотипом. Согласно полученным данным, культура гиппокампа, взятая от 18-дневных эмбрионов, имеет более высокий метаболический потенциал по мере созревания (на 11-е сутки), в то время как культура, полученная от новорождённых 2-дневных мышат, наоборот, демонстрирует снижение потенциала при увеличении времени культивирования. При введении стрессоров культура, полученная от эмбрионов, демонстрирует сдвиг метаболизма в сторону гликолиза на 11-е сутки дифференцировки в культуре (см. рис. 1, b), что согласуется с данными ряда авторов, которые доказали высокий гликолитический потенциал эмбриональных нейронов гиппокампа [29, 30]. Напротив, функционально зрелые нейроны сильно зависят от митохондриальной цепи переноса электронов и окислительного фосфорилирования [31].
ЗАКЛЮЧЕНИЕ
Для первичной смешанной культуры нейронов гиппокампа, полученной как на 18-й день гестации, так и от новорождённых двухдневных мышат, установлено формирование максимального митохондриального дыхания на 5-е сутки дифференцировки. Однако в культуре гиппокампа, полученной от 18-дневных эмбрионов, наблюдался более высокий метаболический потенциал по мере дифференцировки нейронов, а в культуре, взятой от новорождённых двухдневных мышат, установлено снижение метаболического потенциала с увеличением суток культивирования. Основываясь на полученных данных, можно предложить использовать исследование базального митохондриального дыхания в первичной смешанной эмбриональной и постнатальной культурах в качестве моделей для изучения роли митохондрий в нейрогенезе.
ДОПОЛНИТЕЛЬНАЯ ИНФОРМАЦИЯ
Источник финансирования. Научное исследование проведено при поддержке Российского научного фонда (грант № 23-24-00600).
Конфликт интересов. Авторы декларируют отсутствие явных и потенциальных конфликтов интересов, связанных с публикацией настоящей статьи.
Вклад авторов. А.С. Зеленцова — обзор и анализ литературных источников, проведение экспериментов, написание текста статьи; А.Ю. Борисова — проведение эксперимента, анализ экспериментальных данных, написание текста статьи; В.С. Шмигерова — проведение экспериментов, написание текста статьи; М.Ю. Скоркина — руководство работой, разработка дизайна исследования, написание текста и редактирование статьи; А.В. Дейкин — концепция исследования и руководство работой, написание и редактирование текста статьи. Все авторы подтверждают соответствие своего авторства международным критериям ICMJE (все авторы внесли существенный вклад в разработку концепции, проведение исследования и подготовку статьи, прочли и одобрили финальную версию перед публикацией).
ADDITIONAL INFORMATION
Funding source. This work was supported by the Russian Science Foundation (grant 23-24-00600).
Competing interests. The authors declare that they have no competing interests.
Authors' contribution. A.S. Zelentsova — review and analysis of literary sources, conducting experiments, writing the text of the article; A.Yu. Borisova — conducting an experiment, analyzing experimental data, writing the text of the article; V.S. Shmigerova — conducting experiments, writing the text of the article; M.Yu. Skorkina — concept and work management, research design development, text writing and editing the article; A.V. Deykin — concept and work management, writing and editing the text of the article. All authors confirm that their authorship meets the international ICMJE criteria (all authors have made a significant contribution to the development of the concept, research and preparation of the article, read and approved the final version before publication).
About the authors
Alexandra S. Zelentsova
Belgorod State University
Email: zelentsova@bsu.edu.ru
ORCID iD: 0000-0001-6022-0206
SPIN-code: 2570-8282
Russian Federation, Belgorod
Alina Yu. Borisova
Belgorod State University
Email: borisovalina_01@mail.ru
ORCID iD: 0000-0001-7377-1947
Russian Federation, Belgorod
Veronika S. Shmigerova
Belgorod State University
Email: nika.beliaeva@yandex.ru
ORCID iD: 0000-0003-2941-0241
SPIN-code: 3711-4952
Russian Federation, Belgorod
Marina Yu. Skorkina
Belgorod State University
Author for correspondence.
Email: skorkina@bsu.edu.ru
ORCID iD: 0000-0002-9441-5295
SPIN-code: 3591-4466
Dr. Sci. (Biology), Associate Professor
Russian Federation, BelgorodAlexei V. Deykin
Belgorod State University
Email: alexei@deikin.ru
ORCID iD: 0000-0001-9960-0863
SPIN-code: 8371-5197
Cand. Sci. (Biology)
Russian Federation, BelgorodReferences
- Rangaraju V, Calloway N, Ryan TA. Activity-driven local ATP synthesis is required for synaptic function. Cell. 2014;156(4):825–835. doi: 10.1016/j.cell.2013.12.042
- Pathak D, Shields LY, Mendelsohn BA, et al. The role of mitochondrially derived ATP in synaptic vesicle recycling. J Biol Chem. 2015;290(37):22325–22336. doi: 10.1074/jbc.M115.656405
- Princz A, Kounakis K, Tavernarakis N. Mitochondrial contributions to neuronal development and function. Biol Chem. 2018;399(7):723–739. doi: 10.1515/hsz-2017-0333
- Saha PP, Vishwanathan V, Bankapalli K, D’Silva P. Iron-sulfur protein assembly in human cells. Rev Physiol Biochem Pharmacol. 2018;174:25–65. doi: 10.1007/112_2017_5
- Ghosh N, Sil PC. Mitochondria and apoptosis. In: de Oliveira MR, editors. Mitochondrial physiology and vegetal molecules. Academic Press; 2021. P. 127–149.
- Pinton P, Leo S, Wieckowski MR, et al. Long-term modulation of mitochondrial Ca2+ signals by protein kinase C isozymes. J Cell Biol. 2004;165(2):223–232. doi: 10.1083/jcb.200311061
- Giorgi C, Missiroli S, Patergnani S, et al. Mitochondria-associated membranes: composition, molecular mechanisms, and physiopathological implications. Antioxid Redox Signal. 2015;22(12):995–1019. doi: 10.1089/ars.2014.6223
- West AP, Shadel GS. Mitochondrial DNA in innate immune responses and inflammatory pathology. Nat Rev Immunol. 2017;17(6):363–375. doi: 10.1038/nri.2017.21
- Slanzi A, Iannoto G, Rossi B, et al. In vitro models of neurodegenerative diseases. Front Cell Dev Biol. 2020;8:328. doi: 10.3389/fcell.2020.00328
- Faria-Pereira A, Temido-Ferreira M, Morais VA. brainphys neuronal media support physiological function of mitochondria in mouse primary neuronal cultures. Front Mol Neurosci. 2022;15:837448. doi: 10.3389/fnmol.2022.837448
- Xu X, Duan S, Yi F, et al. Mitochondrial regulation in pluripotent stem cells. Cell Metab. 2013;18(3):325–332. doi: 10.1016/j.cmet.2013.06.005
- Chen CT, Hsu SH, Wei YH. Upregulation of mitochondrial function and antioxidant defense in the differentiation of stem cells. Biochim Biophys Acta. 2010;1800(3):257–263. doi: 10.1016/j.bbagen.2009.09.001
- Folmes CDL, Nelson TJ, Dzeja PP, Terzic A. Energy metabolism plasticity enables stemness programs. Ann N Y Acad Sci. 2012;1254:82–89. doi: 10.1111/j.1749-6632.2012.06487.x
- Patent RUS N 2802254 С1. Zelentsova AS, Borisova AIu, Shmigerova VS, et al. Method of cultivating a primary mixed culture of neurons for assessing mitochondrial respiration. EDN: VJREHE
- Alvarez-Buylla A, Seri B, Doetsch F. Identification of neural stem cells in the adult vertebrate brain. Brain Res Bull. 2002;57(6):751–758. doi: 10.1016/s0361-9230(01)00770-5
- Busche MA. In vivo two-photon calcium imaging of hippocampal neurons in Alzheimer mouse models. Methods Mol Biol. 2018;1750:341–351. doi: 10.1007/978-1-4939-7704-8_23
- Koyama R, Ikegaya Y. The molecular and cellular mechanisms of axon guidance in mossy fiber sprouting. Front Neurol. 2018;9:382. doi: 10.3389/fneur.2018.00382
- Wu Q, Takano H, Riddle DM, et al. α-synuclein (αSyn) preformed fibrils induce endogenous αSyn aggregation, compromise synaptic activity and enhance synapse loss in cultured excitatory hippocampal neurons. J Neurosci. 2019;39(26):5080–5094. doi: 10.1523/JNEUROSCI.0060-19.2019
- Rush T, Roth JR, Thompson SJ, et al. A peptide inhibitor of Tau-SH3 interactions ameliorates amyloid-beta toxicity. Neurobiol Dis. 2020;134:104668. doi: 10.1016/j.nbd.2019.104668
- Kaech S, Banker G. Culturing hippocampal neurons. Nat Protoc. 2006;1(5):2406–2415. doi: 10.1038/nprot.2006.356
- Brewer GJ, Torricelli JR. Isolation and culture of adult neurons and neurospheres. Nat Protoc. 2007;2(6):1490–1498. doi: 10.1038/nprot.2007.207
- Zhang H, Xing L, Rossoll W, et al. Multiprotein complexes of the survival of motor neuron protein SMN with Gemins traffic to neuronal processes and growth cones of motor neurons. J Neurosci. 2006;26(33):8622–8632. doi: 10.1523/JNEUROSCI.3967-05.2006
- Brewer KL, Yezierski RP. Effects of adrenal medullary transplants on pain-related behaviors following excitotoxic spinal cord injury. Brain Res. 1998;798(1-2):83–92. doi: 10.1016/s0006-8993(98)00398-9
- Brewer LD, Thibault O, Staton J, et al. Increased vulnerability of hippocampal neurons with age in culture: temporal association with increases in NMDA receptor current, NR2A subunit expression and recruitment of L-type calcium channels. Brain Res. 2007;1151:20–31. doi: 10.1016/j.brainres.2007.03.020
- Moutin E, Hemonnot AL, Seube V, et al. Procedures for culturing and genetically manipulating murine hippocampal postnatal neurons. Front Synaptic Neurosci. 2020;12:19. doi: 10.3389/fnsyn.2020.00019
- Shirokova OM, Sokolov RA, Pershin VI, Mukhina IV. Cultivation of primary hippocampal cell cultures for the functional and morphological matching organization of single neurons. Opera Medica at Physiologia. 2020;6(1):27–32.
- Facucho-Oliveira JM, St John JC. The relationship between pluripotency and mitochondrial DNA proliferation during early embryo development and embryonic stem cell differentiation. Stem Cell Rev Rep. 2009;5(2):140–158. doi: 10.1007/s12015-009-9058-0
- Espósito MS, Piatti VC, Laplagne DA, et al. Neuronal differentiation in the adult hippocampus recapitulates embryonic development. J Neurosci. 2005;25(44):10074–10086. Corrected and republished from: J Neurosci. 2005;25:49. doi: 10.1523/JNEUROSCI.3114-05.2005
- Khacho M, Clark A, Svoboda DS, et al. Mitochondrial dynamics impacts stem cell identity and fate decisions by regulating a nuclear transcriptional program. Cell Stem Cell. 2016;19(2):232–247. doi: 10.1016/j.stem.2016.04.015
- Zheng X, Boyer L, Jin M, et al. Metabolic reprogramming during neuronal differentiation from aerobic glycolysis to neuronal oxidative phosphorylation. Elife. 2016;5:e13374. doi: 10.7554/eLife.13374
- Hall CN, Klein-Flügge MC, Howarth C, Attwell D. Oxidative phosphorylation, not glycolysis, powers presynaptic and postsynaptic mechanisms underlying brain information processing. J Neurosci. 2012;32(26):8940–8951. doi: 10.1523/JNEUROSCI.0026-12.2012
Supplementary files



