Studying the patterns of accumulation of radioisotopes of natural and man-made origin using the example of the aboveground part of the wormwood of the bitter flora of the urbanized territories of the Central Black Earth Region
- Авторлар: Dyakova N.А.1
-
Мекемелер:
- Voronezh State University
- Шығарылым: № 2 (2024)
- Беттер: 15-24
- Бөлім: Plant ecology
- URL: https://journals.rcsi.science/2311-1402/article/view/260495
- DOI: https://doi.org/10.36906/2311-4444/24-2/02
- ID: 260495
Дәйексөз келтіру
Толық мәтін
Аннотация
Radionuclides are currently to the most dangerous ecotoxicants, due to their high resistance, wide distribution, ability to biogenic migration and cumulation in living organisms. The purpose of this study was to study the patterns of accumulation of radionuclides of natural and man-made origin in the synanthropic flora of the Voronezh region using the example of the aboveground part of bitter wormwood (Artemisia absinthium L.). All studied samples of plant raw materials prepared in natural and artificial phytocenoses of the Voronezh region meet the existing radiation safety requirements (first group). Correlation analysis of the specific activity of artificial and natural radionuclides in the soil and the aboveground part of the bitter wormwood showed a close relationship between these numerical indicators, which confirmed their predominant transposed pollution. The results of the study showed that with an increase in the specific activity of natural and man-made radionuclides in the soil, their specific activity increased in the above-ground part of the bitter wormwood. The accumulation coefficients of strontium-90, cesium-137, potassium-40 from soils in bitter wormwood grass tended to decrease as the specific activity of radionuclides in the soil increased, indicating the presence of physiological mechanisms for regulating their entry into the plant, and thoria-232, radia-226, on the contrary, increased, which indicates high phytoremediation abilities of the species in relation to these isotopes. For the first time, the patterns and mathematical dependencies of the accumulation of technogenic and natural radionuclides in bitter wormwood grass revealed as a result of the study make it possible to predict the peculiarities of contamination of plant raw materials with these ecotoxicants.
Негізгі сөздер
Толық мәтін
Введение. Радионуклиды в настоящий момент относятся к наиболее опасным экотоксикантам, в силу их высокой устойчивости, широкого распространения, способности к биогенным миграциям и кумуляции в живых организмах. Учитывать особенности накопления в лекарственном растительном сырье (ЛРС) радионуклидов необходимо, так как некоторые растения способны проявлять способность к аккумуляции данных экотоксикантов, как техногенного (цезия-137 (Cs-137), стронций-90 (Sr-90)), так и природного происхождения (торий-232 (Th-232), радий-226 (Ra-226), калий-40 (К-40)), активно мигрирующих по биологической цепи «почва → ЛРС → лекарственный препарат → организм человека» [1; 22].
Работы, касающиеся оценки качества ЛРС Воронежской области, относящегося к стратегически важным районам растениеводства, в настоящее время единичны и несистематизированы. В предшествующих отечественных и зарубежных экологических исследованиях ЛРС показана различная тропность лекарственных растений к аккумуляции поллютантов из почв, приводимые данные сильно разнятся, что может быть связано с особенностями почв, а также способностью растениями аккумулировать некоторые биогенные элементы и блокировать чрезмерное накопление фитотоксичных соединений [6; 10; 16]. Почвы Воронежской области представлены преимущественно черноземами, отличающимися высокими концентрациями гумуса и прочих органических веществ, что обусловливает прочную абсорбцию радиоизотопов [9].
Полынь горькая (Artemisia absinthium L.) является рудеральным синантропным видом, представляющим собой многолетнее травянистое растение. Сырье заготавливается от дикорастущих особей. На территории РФ полынь горькая распространена практически повсеместно, особенно в лесной, лесостепной, степной зонах, активно формирует фитоценозы при зарастании карьеров и отвалов. Полынь горькая устойчива к засухам и морозам. Относится к эвгалофитам [15; 17; 23].
Анализ литературных данных позволил выявить отдельные экологические исследования качества растительных ресурсов на примере полыни горькой. К настоящему времени подробно изучены особенности накопления токсичных элементов в надземной части (траве) полыни горькой [2; 3; 8; 14; 18-21; 24]. В частности, на примере Воронежской области выявлено, что надземная часть полыни горькой способна аккумулировать некоторые металлы (цинк, медь), если их концентрация в почве ниже жизненно необходимого уровня, а также блокировать их накопление, если содержание металлов в почвах высоко. Это указывает на формирование в условиях техногенного загрязнения и адаптации к данным условиям эдафотипа полыни горькой [8].
Особенности накопления радионуклидов для данного вида практически не изучены. Исследования по накоплению радиоизотопов на примере флоры Белгородской области показали высокую аккумулирующую способность Cs-137 в надземной части полыни горькой (160 Бк/кг) [13].
Цель исследования – изучение закономерностей аккумуляции радионуклидов природного и техногенного происхождения в синантропной флоре Воронежской области на примере надземной части полыни горькой (Artemisia absinthium L.).
Материалы и методы исследования. Для исследования использовали разные по характеру антропогенного воздействия территории Воронежской области: промышленные предприятия (рис. 1: 23, 24, 28); теплоэлектроцентраль (рис. 1: 27); атомная электростанция (АЭС) (рис. 1: 8); аэропорт (рис. 1: 30); улица г. Воронежа (рис. 1: 31); высоковольтные линии электропередач (рис. 1: 9); водохранилище (рис. 1: 29); городские населенные пункты (рис. 1: 25, 26); медно-никелевое месторождения (рис. 1: 4); зоны загрязнения после аварии на Чернобыльской АЭС (рис. 1: 5-7); районы активного растениеводства (рис. 1: 10-22); дороги разной степени загруженности: трасса М4 (рис. 1: 32, 34), трасса А144 (рис. 1: 33), проселочная (рис. 1: 35) и железная дороги (рис. 1: 36); зоны контроля: Воронежский биосферный заповедник (рис. 1: 1), Хоперский заповедник (рис. 1: 2), Теллермановский лес (рис. 1: 3).
Рис. 1. Карта-схема отбора образцов почв и надземной части полыни горькой (обозначения описаны в тексте)
В качестве объекта исследования использовали надземную часть полыни горькой (Artemisia absinthium L.), которую заготавливали в соответствии с ФС. 2.5.0033.15 «Полыни горькой трава», в период цветения растения, аккуратно срезали, сушили теневым способом тонким слоем при хорошей вентиляции, периодически переворачивая. Биомасса каждой пробы (в пересчете на абсолютно сухое сырье) составляла не менее 100 г. Также отбирали пробы поверхностных слоев почвы (0–10 см от поверхности) на всех исследуемых пробных площадках методом конверта [7].
Анализ образцов проводили на спектрометре МКГБ-01 «РАДЭК» (НТЦ «РАДЭК», Россия). Определение удельной активности радиоизтопов в почве осуществляли по МР 2.6.1/2.3.7.0216-20, в ЛРС – по ОФС.1.5.3.0001 (1 вариант измерений) [21]. Измеряли удельную активность основных техногенных (Sr-90, Cs-137) и природных (К-40, Ra-226, Th-232) радиоизотопов. Каждое определение проводили троекратно. Полученные результаты измерений обрабатывали статистически при доверительной вероятности 95%.
Для оценки аккумулирующей активности природных и техногенных радиоизотопов надземной частью полыни горькой из почв рассчитывали коэффициенты накопления (КН):
,
где СЛРС – удельная активность радиоизотопа в надземной части полыни горькой; Бк/кг
СВСП – удельная активность радиоизотопа в почве; Бк/кг [6; 9].
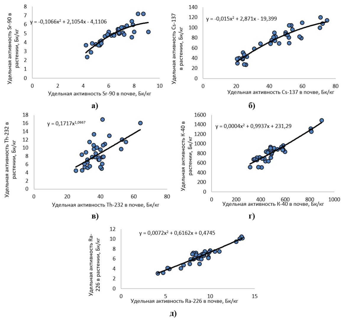
Результаты исследования и их обсуждение. Удельная активность Sr-90 в надземной части полыни горькой варьировала в диапазоне 3,7–7,2 Бк/кг, что в значительно (в десятки раз) меньше предела допустимого содержания радионуклида в ЛРС, установленного ГФ XV в 200 Бк/кг. Удельная активность Cs-137, характеризующаяся числовыми значениями 27,6–120,4 Бк/кг, также не превышала установленных норм (400 Бк/кг). Значения суммы показателя соответствия требованиям радиационной безопасности и погрешности его определения для надземной части полыни горькой, составили 0,09–0,33, что не превышало 1,0 и позволило считать все заготовленные на территории Воронежской области образцы надземной части полыни горькой соответствующим критерию радиационной безопасности (первая группа) [5; 11; 12].
Аккумуляция Th-232 в надземной части полыни горькой характеризовалась диапазоном удельной активности 4,5–16,1 Бк/кг. Накопление в надземной части полыни горькой К-40 составило 514-1488 Бк/кг. Удельная активность Ra-226 отмечена на уровне 3,1–10,5 Бк/кг [11].
Корреляционный анализ зависимости удельной активности природных и техногенных радиоизтопов в почве и надземной части полыни горькой (табл.) показал наличие весьма заметной взаимосвязи для К-40, Sr-90, Cs-137, Ra-226, и заметной – для Th-232, что указывает на преимущественное транспочвенное загрязнение ими растительного сырья.
Таблица. Коэффициенты корреляции между показателями удельной активности радиоизотопов в почве и надземной части полыни горькой
Радиоизотоп | Sr-90 | Cs-137 | К-40 | Ra-226 | Th-232 |
Коэффициент корреляции | 0,86 | 0,93 | 0,93 | 0,94 | 0,60 |
Анализ рисунка 2 показывает, что при возрастании удельной активности природных и техногенных радиоизотопов в почве увеличивалась их удельная активность в надземной части полыни горькой. Закономерности накопления определяемых радиоизотопов описаны математическими зависимостями.
Рис. 2. Зависимость удельной активности радиоизотопов в надземной части полыни горькой от удельной активности их в почве (а - Sr-90, б - Cs-137, в - Th-232, г - К-40, д – Ra-226)
Анализ коэффициентов накопления природных и техногенных радионуклидов в надземной части полыни горькой показал способность данного вида к аккумуляции Cs-137 и К-40 из почв. Коэффициенты накопления Cs-137 составляли 1,07–2,12, К-40 – 1,35–1,98, что объясняется одинаковым механизм накопления данных изотопов из почвы – по калиевым каналам [1]. Сходный характер аккумуляции в надземной части полыни горькой также отмечен для двухвалентных радиоизотопов – Ra-226 и Sr-90. Коэффициенты накопления Sr-90 составили 0,56–0,87, Ra-226 – 0,61–0,89. Относительно невысокие коэффициенты накопления в надземной части полыни горькой отмечены для Th-232: от 0,11 до 0,30 [4; 11].
Коэффициенты накопления К-40, Sr-90, Cs-137 в надземной части полыни горькой (рис. 3) снижались по мере увеличения удельной активности радиоизотопов в почве [1; 10]. Коэффициенты накопления Ra-226 и Th-232 увеличивались при возрастании удельной активности радионуклидов в почве, что свидетельствует о высоких фиторемедиационных способностях вида в отношении данных природных радиоизотопов.
Рис. 3. Зависимость коэффициентов накопления радиоизотопов в надземной части полыни горькой от удельной активности их в почве (а - Sr-90, б - Cs-137, в - Th-232, г - К-40, д – Ra-226)
Выводы. Таким образом, изучено накопление природных и техногенных радионуклидов надземной частью полыни горькой, заготовленной в искусственных и естественных фитоценозах Воронежской области. Все исследуемое растительное сырье соответствует требованиям радиационной безопасности (первая группа). Отмечено, что при увеличении удельной активности природных и техногенных радиоизотопов в почве возрастала их удельная активность в надземной части полыни горькой. Коэффициенты накопления К-40, Sr-90, Cs-137 из почв в надземной части полыни горькой уменьшались по мере увеличения удельной активности радионуклидов в почве, а Ra-226 и Th-232 – напротив, возрастали, что свидетельствует о высоких фиторемедиационных способностях вида в отношении данных природных радиоизотопов. Впервые выявленные в результате исследования закономерности и математические зависимости накопления техногенных и природных радионуклидов в надземной части полыни горькой позволяют прогнозировать особенности загрязнения растительного сырья данными экотоксикантами.
Исследование выполнено за счет гранта Российского научного фонда № 24-27-00272. https://rscf.ru/project/24-27-00272
Авторлар туралы
Nina Dyakova
Voronezh State University
Хат алмасуға жауапты Автор.
Email: Ninochka_V89@mail.ru
ORCID iD: 0000-0002-0766-3881
Doctor of Pharmaceutical Sciences
Ресей, VoronezhӘдебиет тізімі
- Bekman, I.N. (2018). Radioe`kologiya i e`kologicheskaya radioximiya. Moskva: Izdatel` Marxotin P.Yu., 400. (in Russ.).
- Belozerova, T.I., Bojkova, T.E., & Praxova, S.V. (2016). Diagnostika soderzhaniya ionov tyazhely`x metallov i radionuklidov v pochvax g. Severodvinska. Sovremenny`e tradicii razvitiya nauki i texnologii. Periodicheskij nauchny`j sbornik, 2, 110-114. (in Russ.).
- Botov, A.Yu., Severin, A.P., Yaczyuk, V.Ya., & Siplivaya, L.E. (2011). E`lementny`j sostav nekotory`x rastenij semejstva Asteraceae // Nauchny`e vedomosti. Seriya Medicina. Farmaciya, 22, 164-166. (in Russ.).
- Gaponov, S.P., Slivkin, A.I., & D`yakova, N.A. (2016). Izuchenie osobennostej nakopleniya radionuklidov travoj poly`ni gor`koj. In Puti i formy` sovershenstvovaniya farmacevticheskogo obrazovaniya. Sozdanie novy`x fiziologicheski aktivny`x veshhestv: Materialy` 6-j Mezhdunarodnoj nauchno-metodicheskoj konferencii «Farmobrazovanie-2016» (pp. 232-236). Voronezh: Izdatel`sko-poligraficheskij centr Voronezhskogo gosudarstvennogo universiteta. (in Russ.).
- Gosudarstvennaya farmakopeya Rossijskoj Federacii (Iss. XV). https://pharmacopoeia.regmed.ru/pharmacopoeia/izdanie-15 (in Russ.).
- D`yakova, N.A. (2022). Izuchenie nakopleniya radionuklidov lekarstvenny`m rastitel`ny`m sy`r`em Central`nogo Chernozem`ya. Vestnik Smolenskoj Gosudarstvennoj Medicinskoj Akademii, 21(3), 171-176. (in Russ.).
- D`yakova, N.A. (2022). Metodicheskie rekomendacii po zagotovke lekarstvennogo rastitel`nogo sy`r`ya v Voronezhskoj oblasti. Voronezh: Izdatel`skij Dom VGU. (in Russ.).
- D`yakova, N.A. (2020). Nakoplenie tyazhely`x metallov i my`sh`yaka travoj poly`ni gor`koj. Izvestiya Saratovskogo universiteta. Novaya seriya. Seriya Ximiya. Biologiya. E`kologiya, 20(4), 445-453. (in Russ.).
- D`yakova, N.A. (2022). E`kologicheskaya ocenka sy`r`evy`x resursov lekarstvenny`x rastenij Voronezhskoj oblasti. Voronezh: Cifrovaya poligrafiya. (in Russ.).
- D`yakova, N.A. (2023). E`kologo-farmakognosticheskaya ocenka radionuklidnogo zagryazneniya lekarstvennogo rastitel`nogo sy`r`ya Voronezhskoj oblasti. Moskva: Rusajns. (in Russ.).
- D`yakova, N.A., Slivkin, A.I., & Gaponov, S.P. (2019). Ocenka radionuklidnogo zagryazneniya lekarstvennogo rastitel`nogo sy`r`ya v Central`nom Chernozem`e na primere travy` poly`ni gor`koj. Voprosy` obespecheniya kachestva lekarstvenny`x sredstv, 3(25), 36-44. (in Russ.).
- D`yakova, N.A., & Ukolova, I.R. (2019). Soderzhanie radionuklidov v trave poly`ni gor`koj, sobrannoj v Central`nom Chernozem`e. In Materialy` 65-j Vserossijskoj mezhvuzovskoj studencheskoj nauchnoj konferencii s mezhdunarodny`m uchastiem «Molodezh`, nauka, medicina» (pp. 324-327). Tver`: Redakcionno-izdatel`skij centr Tverskogogo sudarstvennogo medicinskogo universiteta. (in Russ.).
- Kolchanov, R.A., & Kolchanov, A.F. (2009). Soderzhanie ceziya-137 v lekarstvenny`x rasteniyax na territorii Belgorodskoj oblasti. Nauchny`e vedomosti BelGU, 11(66), 14-17. (in Russ.).
- Korolyov, A.S., Glady`shev, A.A., & Yutkina, I.S. (2014). Osobennosti nakopleniya bioe`lementov v nadzemnoj chasti Artemisia absinthium L. na shlamovom pole kriolitovogo zavoda. Izvestiya Orenburgskogo gosudarstvennogo agrarnogo universiteta, 5(49), 159-161. (in Russ.).
- Kurkin, V.A. (2004). Farmakognoziya. Samara: Ofort, 1174 s. (in Russ.).
- Kurolap, S.A., Mamchik, N.P., & Klepikov, O.V. i dr. (2010). Mediko-e`kologicheskij atlas Voronezhskoj oblasti. Voronezh: Voronezhskaya oblastnaya tipografiya. (in Russ.).
- K`osev, P.A. (2011). Lekarstvenny`e rasteniya: samy`j polny`j spravochnik. Moskva: E`ksmo-Press. (in Russ.).
- Lyubimov, V.B., Anishhenko, L.N., Borzdy`ko, E.V., Markelova, N.V., Pocepaj, Yu.G., Skovorodnikova, N.A., Azarchenkova, E.A., & Mokroguzova, V.N. (2011). Itogi razrabotki sistemy` bioanaliza na regional`noj osnove v monitoringe sred obitaniya. Ezhegodnik NII fundamental`ny`x i prikladny`x issledovanij, 1(2), 49-60. (in Russ.).
- Milyutina, N.O., Osmolovskaya, N.G., Politaeva, N.A., & Kurilenko, V.V. (2020). Analiz migracii tyazhely`x metallov v sisteme «pochva–rastenie» pri e`kologo-geologicheskoj ocenke okruzhayushhej sredy` vokrug poligona TKO v g. Tambov. Geoe`kologiya. Inzhenernaya geologiya, gidrogeologiya, geokriologiya, 3, 55-63. (in Russ.).
- Poznyak, S.S. (2011). Soderzhanie nekotory`x tyazhely`x metallov v rastitel`nosti polevy`x i lugovy`x agrofitocenozov v usloviyax texnogennogo zagryazneniya pochvennogo pokrova. Vestnik Tomskogo gosudarstvennogo universiteta. Biologiya, 1, 13-19. (in Russ.).
- Popp, Ya.I., & Bokova, T.I. (2017). Soderzhanie cinka, medi i kadmiya v razlichny`x vidax lekarstvenny`x rastenij, proizrastayushhix v pojmax rek Irty`sha i Obi. Vestnik NGAU, 1(42), 84-92. (in Russ.).
- Tereshkina, O.I., Rudakova, I.P., & Samy`lina, I.A. (2011). Ocenka riska radionuklidnogo zagryazneniya lekarstvennogo rastitel`nogo sy`r`ya. Farmaciya, 7, 3-6. (in Russ.).
- Czvelev, N.N. (2000). Opredelitel` sosudisty`x rastenij Severo – Zapadnoj Rossii. SPb.: Izd-vo SPUVA. (in Russ.).
- Chibrik, T.S. (2014). Izmenchivost` mikroe`lementnogo sostava Artemisia absinthium L. E`kosistemy`, ix optimizaciya i oxrana, 11, 106-113. (in Russ.).
Қосымша файлдар





