Non-Isocyanate Poly(Siloxane-Urethanes) Based on Oligodimethylsiloxanes Containing Aminopropyl and Ethoxy Substituents
- Authors: Trankina E.S.1, Kazantseva A.Y.1, Khanin D.A.1, Lyubimov S.E.1, Kononova E.G.1, Andropova Y.S.2, Muzafarov A.M.1,2
-
Affiliations:
- Nesmeyanov Institute of Organoelement Compounds, Russian Academy of Sciences
- Enikolopov Institute of Synthetic Polymeric Materials, Russian Academy of Sciences
- Issue: Vol 65, No 2 (2023)
- Pages: 164-173
- Section: Articles
- URL: https://journals.rcsi.science/2308-1147/article/view/232904
- DOI: https://doi.org/10.31857/S2308114723700437
- EDN: https://elibrary.ru/GCQLIT
- ID: 232904
Cite item
Full Text
Abstract
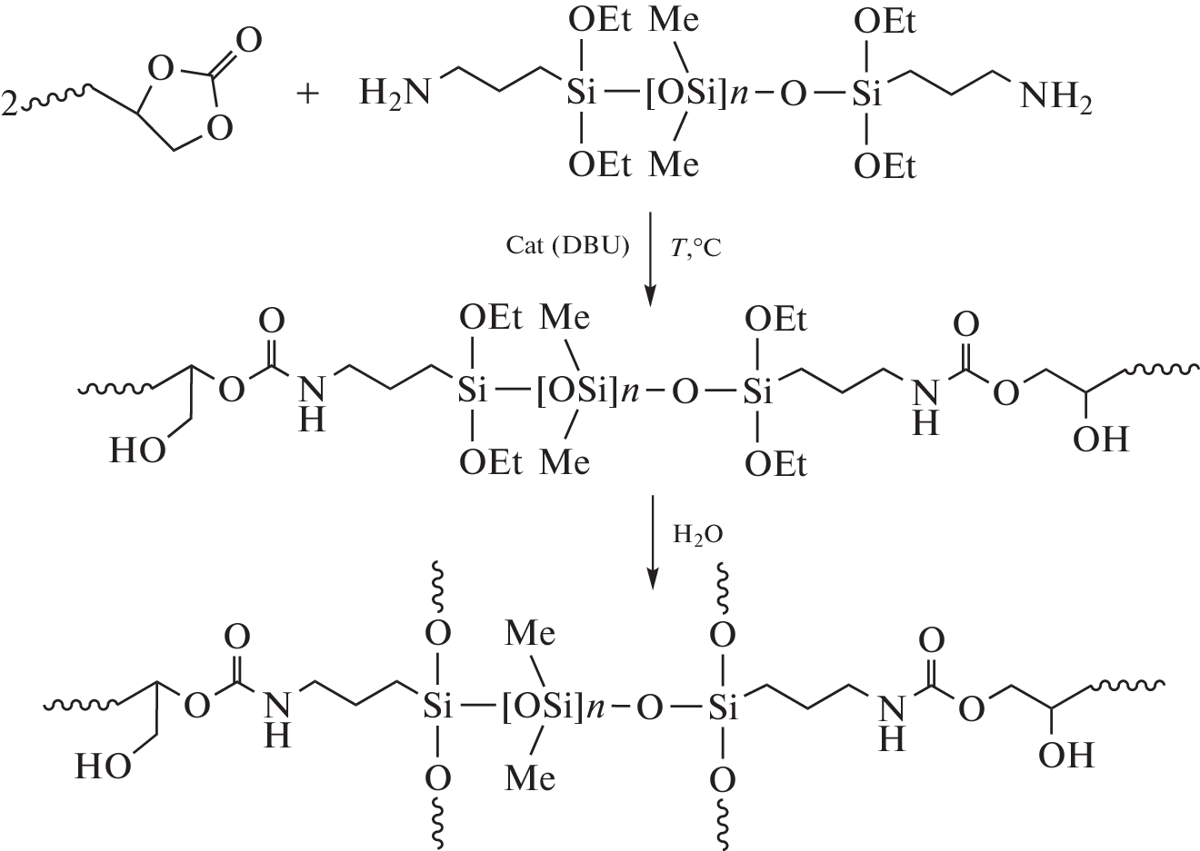
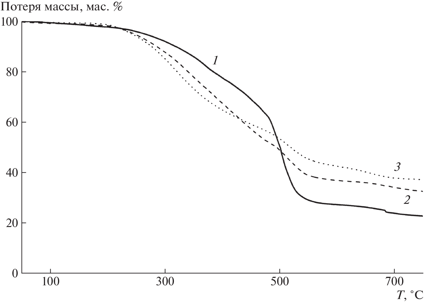
Environmentally friendly method for the synthesis of crosslinked poly(siloxane-urethanes) avoiding the use of toxic isocyanates has been presented. The synthesis has been performed in two stages: at the first stage, non-isocyanate poly(siloxane-urethanes) have been synthesized via aminolysis of cyclocarbonates (differing in the structure and functionality) with oligomer dimethylsiloxanes bearing aminopropyl and ethoxy substituents, and crosslinked non-isocyanate poly(siloxane-urethanes) have been obtained via hydrolysis of the ethoxy groups with air moisture. According to the TGA data, processes of thermooxidative decomposition of the non-isocyanate poly(siloxane-urethanes) begin at 240‒260°C, depending on the structure of the organic block. Structural organization of the films has been investigated and glass transition temperature of two blocks (flexible siloxane and rigid urethane ones) has been determined by means of DSC and TMA. Surface of the film samples of non-isocyanate poly(siloxane-urethanes) has been assessed by means of scanning electron microscopy.
About the authors
E. S. Trankina
Nesmeyanov Institute of Organoelement Compounds, Russian Academy of Sciences
Email: trankina@ineos.ac.ru
119991, Moscow, Russia
A. Yu. Kazantseva
Nesmeyanov Institute of Organoelement Compounds, Russian Academy of Sciences
Email: trankina@ineos.ac.ru
119991, Moscow, Russia
D. A. Khanin
Nesmeyanov Institute of Organoelement Compounds, Russian Academy of Sciences
Email: trankina@ineos.ac.ru
119991, Moscow, Russia
S. E. Lyubimov
Nesmeyanov Institute of Organoelement Compounds, Russian Academy of Sciences
Email: trankina@ineos.ac.ru
119991, Moscow, Russia
E. G. Kononova
Nesmeyanov Institute of Organoelement Compounds, Russian Academy of Sciences
Email: trankina@ineos.ac.ru
119991, Moscow, Russia
Yu. S. Andropova
Enikolopov Institute of Synthetic Polymeric Materials, Russian Academy of Sciences
Email: trankina@ineos.ac.ru
117393, Moscow, Russia
A. M. Muzafarov
Nesmeyanov Institute of Organoelement Compounds, Russian Academy of Sciences; Enikolopov Institute of Synthetic Polymeric Materials, Russian Academy of Sciences
Author for correspondence.
Email: trankina@ineos.ac.ru
119991, Moscow, Russia; 117393, Moscow, Russia
References
- Sonnenschein M.F. // Polyurethanes. Science, Technology, Markets and Trends. New York: Wiley, 2014.
- Lesage J., DeGraff I., Danchik R. // Isocyanates: Sampling, Analysis and Health Effects. American Society for Testing and Materials. 2002, 138.
- Redlich Carrie A. // Int. Immunopharm. 2002. V. 2. № 2–3. P. 213.
- Meredith S.K. // Occup. Environmental Med. 2000. V. 57. № 12. P. 830.
- Commission Regulation (EC). Off. J. Eur. Union 2009, P. 552.
- Methylene Diphenyl Isocyanate (MDI) and Related Compounds Action Plan, Toluene Diisocyanate (TDI) Action Plan; U.S Environmental Protection Agency, 2011.
- Kreye O., Mutlu H., Meier M.A.R. // Green Chem. 2013. V. 15. № 6. P. 1431.
- Maisonneuve L., Lamarzelle O., Rix E., Grau E., Cramail H. // Chem. Rev. 2015. V. 115. № 22. P. 12407.
- Kember M.R., Buchard A., Williams C.K. // Rev. Chem. Commun. (Camb). 2011. V. 47. № 1. P. 141.
- Guo L., Lamb K.J., North M. // Green Chem. 2021. V. 23. P. 77.
- Quere C.Le., Jackson R.B., Jones M.W., Smith A.J.P., Abernethy S., Andrew R.M., De-Gol A.J., Willis D.R., Shan Y., Canadell J.G., Friedlingstein P., Creutzig F., Peters G.P. // Nat. Clim. Change. 2020. № 10. P. 647.
- Poussard L., Mariage J., Grignard B., Detrembleur C., Jeróîme C., Calberg C., Heinrichs B., De Winter J., Gerbaux P., Raquez J.-M., Bonnaud L., Dubois Ph. // Macromolecules. 2016. V. 49. P. 2162.
- Beniah G., Liu K., Heath W.H., Miller M.D., Scheidt K.A., Torkelson J.M. // Eur. Polym. J. 2016. V. 84. P. 770.
- Gennen S., Grignard B., Thomassin J.-M., Gilbert B., Vertruyen B., Jerome C., Detrembleur C. // Eur. Polym. J. 2016. V. 84. P. 849.
- Cornille A., Dworakowska S., Bogdal D., Boutevin B., Caillol S.A. // Eur. Polym. J. 2015. V. 66. P. 129.
- Dolci E., Michaud G., Simon F., Boutevin B., Fouquay S., Caillol S. // Polym. Chem. 2015. № 6. P. 7851.
- Cornille A., Michaud G., Simon F., Fouquay S., Auvergne R., Boutevin B., Caillol S. // Eur. Polym. J. 2016. V. 84. P. 404.
- Ochiai B., Inoue S., Endo T. // J. Polym. Sci., Polym. Chem. 2005. V. 43. P. 6615.
- Cornille A., Auvergne R., Figovsky O., Boutevin B., Caillol S. // Eur. Polym. J. 2017. V. 87. P. 535.
- Blain M., Jean-Gérard L., Auvergne R., Benazet D., Caillol S., Andrioletti B. // Green Chem. 2014. V. 16. P. 4286.
- Lambeth R.H., Henderson T.J. // Polymer. 2013. V. 54. P. 5568.
- Dove A.P. // ACS Macro Lett. 2012. V. 1. P. 1409.
- Haniffa Mhd. Abd. Cader Mhd., Munawar K., Ching Y.Ch., Illias H.A., Chuah Ch.H. // Chem Asian J. 2021. V. 16. P. 1281.
- Decostanzi M., Ecochard Y., Caillol S. // Eur. Polym. J. 2018. V. 109. P. 1.
- Figovsky O., Shapovalov L., Buslov F. // Surf. Coat. Int. B. 2005. V. 88. B1. P. 1.
- Rossi de Aguiar K.M.F., Ferreira-Neto E.P., Blunk S., Schneider J.F., Picon C.A., Lepienski C.M., Rischkae K., Rodrigues-Filho U.P. // RSC Adv. 2016. № 6. P. 19160.
- Weijie B.C., Zhou W., Wang T.-H. // Lab. Chip. 2012. V. 12. P. 4120.
- Askari F., Barikani M., Barmar M. // J. Appl. Polym. Sci. 2013. V. 130. № 3. P. 1743.
- Lu Ch.-An., Xu M., Tan Zh., Qu Zh., Wu K., Shi J. // Coll. Polym. Sci. 2020. V. 298. P. 1215.
- Riehle N., Athanasopulu K., Kutuzova L., Götz T., Kandelbauer A., Tovar G.E.M., Lorenz G. // Polymers. 2021. V. 13. P. 212.
- Hanada K., Kimura K., Takahashi K., Uruno M. Pat. US 2014/0024274 A l.
- Aguiar K.R., Santos V.G., Eberlin M.N., Rischka K., Noeske M., Tremiliosi-Filho G., Rodrigues-Filho U.P. // RSC Adv. 2014. V. 4. P. 24334.
- Meshkov I.B., Kalinina A.A., Gorodov V.V., Bakirov A.V., Krasheninnikov S.V., Chvalun S.N., Muzafarov A.M. // Polymers. 2021. V. 13. № 17. P. 2848.
- Lyubimov S.E., Zvinchuk A.A., Davankov V.A., Chowdhury B., Arzumanyan A.V., Muzafarov A.M. // Russ. Chem. Bull. Int. Ed. 2020. V. 69. № 6. P. 1076.
- Levina M.A., Zabalov M.V., Krasheninnikov V.G., Tiger R.P. // Polymer Science B. 2018. V. 6. № 5. P. 563.
- Виноградова С.В., Васнев В.А. Поликонденсационные процессы и полимеры. М.: Наука, 2000.
Supplementary files













