Влияние магнитного поля на структуру и сорбционные свойства плёнок на основе гидроксиэтилцеллюлозы и углеродных нанотрубок
- Authors: Вшивков С.А.1, Русинова E.B.1, Галяс A.Г.1
-
Affiliations:
- Уральский федеральный университет
- Issue: Vol 66, No 3 (2024)
- Pages: 216-221
- Section: КОМПОЗИТЫ
- URL: https://journals.rcsi.science/2308-1120/article/view/272721
- DOI: https://doi.org/10.31857/S2308112024030052
- EDN: https://elibrary.ru/LWUIOL
- ID: 272721
Cite item
Full Text
Abstract
Методами поляризационной и сканирующей электронной микроскопии, сорбции паров воды изучена структура и свойства плёночных композиционных наноматериалов на основе гидроксиэтилцеллюлозы и углеродных нанотрубок, полученных в магнитном поле и вне поля. Плёнки являются анизотропными, что обусловлено образованием жидкокристаллической фазы при испарении растворителя из раствора. Наложение магнитного поля приводит к ориентации макромолекул и углеродных нанотрубок в пленках, что способствует уплотнению структуры плёнок и уменьшению их способности сорбировать пары воды. Рассчитаны энергии Гиббса взаимодействия с водой плёнок гидроксиэтилцеллюлоза/углеродные нанотрубки, полученных в магнитном поле и вне поля. Для пленок, полученных в магнитном поле, обнаружено уменьшение отрицательных значений энергий Гиббса, что свидетельствует об ухудшении их взаимодействия с водой. С введением углеродных нанотрубок в гидроксиэтилцеллюлозу этот эффект проявляется в большей степени.
Full Text
Введение
Современную эпоху характеризуют как век полимерных композиционных материалов [1‒3]. Одной из наиболее значимых областей исследований является изучение наноматериалов на основе полимеров и углеродных нанотрубок и их применение. Полимерные матрицы по сравнению с металлическими имеют ряд преимуществ, таких как невысокая плотность, низкая стоимость, хорошая обрабатываемость, химическая стойкость и низкая электропроводность. Углеродные нанотрубки обладают электро- и теплопроводностью, механической прочностью [4‒7], а также способностью ориентироваться в магнитном поле [8, 9]. Перспективной полимерной матрицей для получения композитов с углеродными нанотрубками являются эфиры целлюлозы, которые широко применяются в различных отраслях промышленности [10]. Эфиры целлюлозы могут образовывать лиотропные жидкокристаллические системы вследствие анизодиаметричной формы макромолекул, которые способны ориентироваться в растворах под действием магнитного поля [11‒14]. Данные о влиянии наполнителей на структуру и свойства полимерных композитов приводятся в работах [15, 16]. Однако сведения о влиянии углеродных нанотрубок на структуру и свойства эфиров целлюлозы отсутствуют. Варьирование содержания углеродных нанотрубок в композитах и воздействие магнитного поля может позволить направленно изменять физико-химические свойства получаемых плёнок.
Цель настоящей работы – изучение влияния магнитного поля на структуру и сорбционные свойства плёнок на основе гидроксиэтилцеллюлозы и углеродных нанотрубок.
Экспериментальная часть
Исследовали гидроксиэтилцеллюлозу (ГЭЦ) марки Natrosol 250 LR (“Aqualon”, США) с молекулярной массой Mη = 8.4 × 104 и степенью замещения 2.5. Наполнителем служили углеродные нанотрубки (УНТ) с диаметром от 7 до 15 нанометров (рис. 1), предоставленные Институтом катализа им. Г. К. Борескова (г. Новосибирск). В качестве растворителей использовали дистиллированную воду и этанол. Чистоту растворителей оценивали по показателям преломления с помощью рефрактометра “Atago NAR-2T LO”. Растворы ГЭЦ готовили в смеси вода : этанол (80:20 мас. ч.) при комнатной температуре с последующим фильтрованием через стеклянный фильтр ПОР 100 с размерами пор 40‒100 мкм. Для стабилизации ГЭЦ использовали бензойную кислоту в соотношении 0.4 мас. ч на 100 мас. ч. полимера.
Рис. 1. Микрофотография УНТ, полученная методом просвечивающей электронной микроскопии. Цветные рисунки можно посмотреть в электронной версии.
Для приготовления суспензий навески УНТ помещали в раствор ГЭЦ, затем перемешивали и диспергировали при комнатной температуре ультразвуком в течение 1 мин с помощью ультразвукового гомогенизатора “Cole-Parmer CPX 750”. Об устойчивости суспензии свидетельствовал тот факт, что при ее выдерживании в течение 3 ч нанотрубки не выпадали в осадок. Плёнки получали методом полива растворов полимеров на подложку при комнатной температуре и атмосферном давлении в отсутствие магнитного поля и в поле с напряжённостью 3.7 кЭ с последующей сушкой в вакуумном шкафу при остаточном давлении 100‒130 мм рт. ст. до постоянной массы. Морфологию плёнок исследовали с помощью поляризационного микроскопа “Olympus BX-51”.
Для исследований методом сканирующей электронной микроскопии плёнки помещали в сосуд с жидким азотом и выдерживали в течение 1‒2 мин. После замораживания плёнки раскалывали и крепили на держателе образцов клейкой углеродной лентой. Для минимизации эффекта зарядки поверхности образца проводили напыление проводящего слоя хрома толщиной 10 нм методом магнетронного распыления. Визуализацию морфологии поверхности среза пленки проводили с разрешением 1024 × 768 точек при ускоряющем напряжении в диапазоне от 3 до 20 кВ и апертуре 30 мкм, что позволяло получить максимальное соотношение сигнал/шум и минимизировать повреждение образца электронным пучком. Изображения получены при детектировании сигнала вторичных электронов.
Изотермическую интервальную равновесную сорбцию паров воды изучали с использованием автоматического анализатора “ASAP 2020” фирмы “Micromeritics”. Изменение удельных химических потенциалов паров воды Δµ1 рассчитывали на основании экспериментально полученных изотерм сорбции по уравнению [17]
, (1)
где M1 – молекулярная масса воды, – относительное давление (Рs – упругость насыщенного водяного пара). Изменения удельного химического потенциала полимера Δµ2 определяли по уравнению Гиббса–Дюгема [17]
,(2)
в котором ω1, ω2 – массовая доля растворителя и полимера вместе с наполнителем соответственно.
Изменения энергии Гиббса набухания рассчитывали следующим образом:
. (3)
Кинетику набухания плёнок в парах воды изучали в изобарно-изотермических условиях в стеклянном цилиндрическом сосуде. Рабочей частью установки является разъёмный цилиндрический сосуд, к головке которого подвешиваются спиральные весы Мак-Бена. В работе использовали предварительно прокалиброванную металлическую спираль с чувствительностью γ = 0.3572 мм/мг при температуре 298 ± 0.2 К. На нижний конец спирали помещали точно взвешенный образец плёнки. На дно сосуда помещали 20 мл воды для создания насыщенных паров воды. Изменение длины спирали фиксировали с помощью катетометра КМ-8, позволяющего делать замеры с точностью до 0.01 мм. Набухание плёнок производили в насыщенных парах воды в течение 3 ч. По полученным данным строили кинетические кривые набухания плёнок в координатах α = f(t), где t – время (мин), α – степень набухания, которую рассчитывали по формуле
,(4)
(m и m0 – текущая и исходная масса плёнки соответственно).
При определении типа фазового перехода в растворах применяли поляризационно-фото электрическую установку [18]. В зазор между скрещенными поляроидами (поляризатором и анализатором) помещали запаянную ампулу с прозрачным раствором полимера. Через поляроиды перпендикулярно ампуле с раствором (толщина слоя раствора ~5 мм) пропускали луч света от гелий-неонового лазера. Если раствор был изотропным, интенсивность прошедшего через скрещенные поляроиды света равнялась нулю. Если раствор при повышении концентрации полимера становился анизотропным, наблюдали увеличение интенсивности светопропускания, фиксируемое с помощью фотосопротивления.
Результаты и их обсуждение
На рис. 2 приведена пограничная кривая, разделяющая изотропные анизотропные растворы системы ГЭЦ–вода/этанол (80:20 мас. %). Видно, что в смеси вода/этанол при концентрации ГЭЦ, равной 10%, происходит образование ЖК-фазы.
Рис. 2. Фазовая диаграмма системы ГЭЦ–вода/этанол (80/20 мас.ч.) I – область изотропных растворов, II – область анизотропных растворов. ω2 – массовая доля полимера.
Во время испарения растворителя из раствора увеличивается концентрация ГЭЦ. При достижении концентрации ГЭЦ, равной 10%, раствор переходит из изотропного состояния в анизотропное. Образованная в растворе жидкокристаллическая фаза сохраняется в плёнке после испарения растворителя, что подтверждается микрофотографиями пленок в поляризованном свете. На рис. 3 представлены микрофотографии плёнок ГЭЦ, полученных в магнитном поле и вне поля. Светлые, окрашенные области указывают на наличие в пленках анизотропных частиц. На микрофотографии плёнки, полученной в магнитном поле, наблюдается направление преимущественной ориентации анизотропных частиц, что свидетельствует о влиянии магнитного поля на структуру пленок.
Рис. 3. Микрофотографии плёнок ГЭЦ, полученных вне поля (а) и в поле (б). Поляроиды скрещены.
Микрофотография плёнки ГЭЦ/УНТ, полученной вне магнитного поля приведена на рис. 4а. На микрофотографии имеются тёмные и светлые, окрашенные области. Темные области соответствуют агломератам углеродных трубок (указаны стрелками), а светлые – анизотропным надмолекулярным частицам полимера.
Рис. 4. Микрофотография плёнки ГЭЦ с содержанием УНТ 3 мас. %, полученной вне (а) и в магнитном поле (б). Поляроиды скрещены.
Результаты исследований плёнок ГЭЦ с содержанием УНТ 3% методом сканирующей электронной микроскопии представлены на рис. 4б. На поверхности плёнки белые точки относятся к агрегатам УНТ. Наблюдаются области преимущественной ориентации этих агрегатов (стрелка показывает направление ориентации).
На рис. 5 показаны изотермы сорбции паров воды плёнками ГЭЦ, полученными в магнитном поле и вне поля. Из рисунка следует, что пленки, полученные в магнитном поле, сорбируют меньше воды, чем пленки, полученные вне поля. Это обусловлено процессами ориентации макромолекул в поле, приводящей к уплотнению структуры пленок.
Рис. 5. Изотермы сорбции паров воды плёнками ГЭЦ, полученными в магнитном поле (1) и вне поля (2). X – равновесная масса воды, поглощенной навеской полимера (m).
Концентрационные зависимости энергии Гиббса взаимодействия с водой плёнок ГЭЦ, полученных в поле и вне поля приведены на рис. 6. Пленки, полученные в магнитном поле, хуже взаимодействуют с водой. Это проявляется в уменьшении отрицательных значений ∆g и обусловлено ориентацией макромолекул ГЭЦ в магнитном поле, приводящей к усилению межцепного взаимодействия.
Рис. 6. Концентрационные зависимости энергии Гиббса взаимодействия с водой плёнок ГЭЦ, полученных в поле (1) и вне поля (2).
На рис. 7 представлены изотермы сорбции паров воды плёнками ГЭЦ/УНТ, полученными вне магнитного поля и в поле. Видно, что плёнки ГЭЦ с УНТ сорбируют меньше воды, чем плёнки ГЭЦ без углеродных нанотрубок, поскольку неполярные углеродные нанотрубки плохо взаимодействуют с полярными молекулами воды.
Рис. 7. Изотермы сорбции паров воды плёнками ГЭЦ/УНТ, полученными вне магнитного поля (а) и в поле (б). Содержание УНТ 0 (1), 5% (2) (а) и 0 (1), 3 (2), 5% (3) (б).
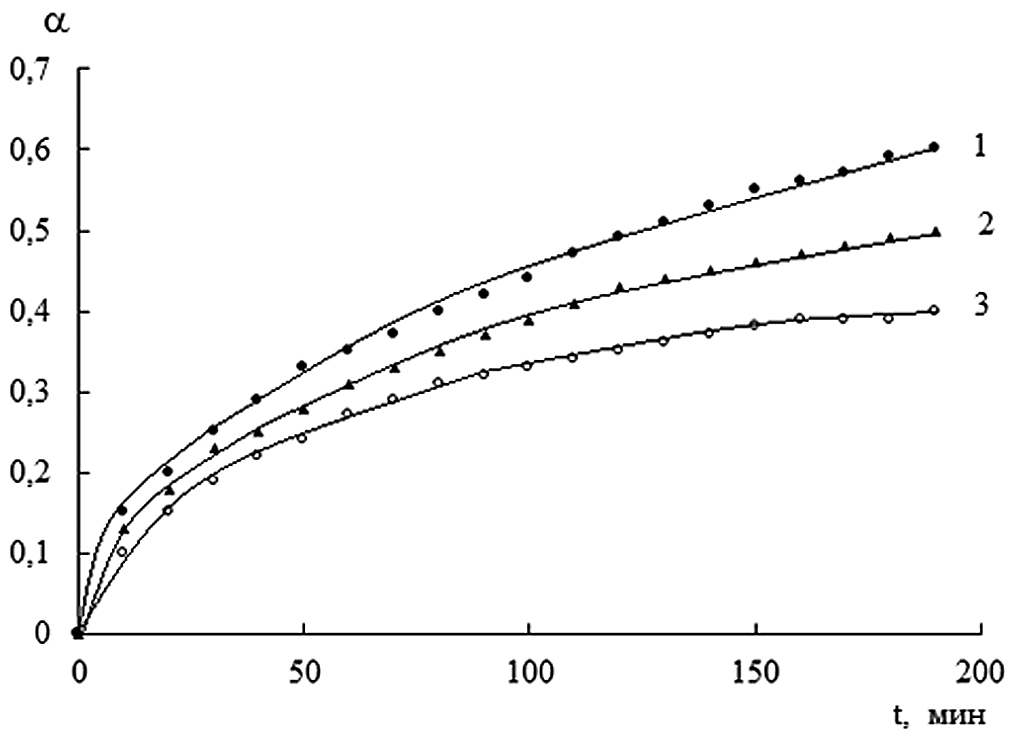
Кинетические кривые набухания в парах воды пленок ГЭЦ/УНТ, полученных как в магнитном поле, так и вне поля приведены на рис. 8. Наблюдается та же зависимость, что и у изотерм сорбции. Чем больше содержание УНТ, тем хуже взаимодействие с водой и меньше степень набухания. Из рис. 8 также следует, что пленки, полученные в магнитном поле, набухают в парах воды в меньшей степени, чем пленка, полученная вне поля. Это обусловлено ориентацией макромолекул ГЭЦ и УНТ в магнитном поле, способствующей уплотнению структуры.
Рис. 8. Кинетические кривые набухания в парах воды пленок ГЭЦ/УНТ, полученных как в магнитном поле, так и вне поля. Содержание УНТ 0 (1) и 5 % (2, 3). Н = 0 (1, 2) и 3.7 кЭ (3).
На рис. 9 представлены концентрационные зависимости энергии Гиббса взаимодействия пленок ГЭЦ/УНТ с водой. Видно, что энергия Гиббса взаимодействия плёнок ГЭЦ/УНТ с водой отрицательна во всей исследованной области составов, что свидетельствует о самопроизвольности протекания процесса сорбции и совместимости воды с полимерной композицией. Введение углеродных нанотрубок в ГЭЦ приводит к уменьшению отрицательных значений энергий Гиббса, т.е. наблюдается ухудшение взаимодействия паров воды с полимерной композицией. Это обусловлено как уплотнением структуры плёнок, так и тем, что УНТ плохо сорбируют пары воды.
Рис. 9. Концентрационные зависимости энергии Гиббса взаимодействия с водой плёнок ГЭЦ/УНТ, полученных вне магнитного поля (а) и в магнитном поле (б). Содержание УНТ 0 (1), 5% (2) (а) и 0 (1), 3 (2), 5% (3) (б).
Заключение
Методом поляризационной микроскопии и сканирующей электронной микроскопии изучено фазовое состояние и структура плёнок ГЭЦ/УНТ, полученных в магнитном поле и вне поля. Плёнки являются анизотропными, что связано с образованием жидкокристаллической фазы при испарении растворителя из раствора. Наложение магнитного поля приводит к ориентации макромолекул и УНТ в пленках.
Методом статической сорбции изучено набухание плёнок ГЭЦ/УНТ, полученных как в магнитном поле, так и вне поля. Рассчитаны средние удельные энергии Гиббса Δg взаимодействия плёнок ГЭЦ/УНТ с водой. Пленки, полученные в магнитном поле, хуже взаимодействуют с водой. Это проявляется в уменьшении отрицательных значений ∆g и обусловлено ориентацией макромолекул ГЭЦ в магнитном поле, приводящей к улучшению межцепного взаимодействия. Введение УНТ в ГЭЦ приводит к уменьшению отрицательных значений Δg, что свидетельствует об ухудшении взаимодействия воды с полимерной композицией. Такое наблюдение обусловлено уплотнением структуры полимера и с невозможностью УНТ сорбировать пары воды. Аналогичные данные обнаружены и при изучении кинетики набухания пленок ГЭЦ/УНТ в парах воды.
Авторы выражают благодарность Л.В. Адамовой и Н.Е. Щербакову за участие в работе.
About the authors
С. А. Вшивков
Уральский федеральный университет
Author for correspondence.
Email: sergey.vshivkov@urfu.ru
Russian Federation, 620000, Екатеринбург, пр. Ленина, 51
E. B. Русинова
Уральский федеральный университет
Email: sergey.vshivkov@urfu.ru
Russian Federation, 620000, Екатеринбург, пр. Ленина, 51
A. Г. Галяс
Уральский федеральный университет
Email: sergey.vshivkov@urfu.ru
Russian Federation, 620000, Екатеринбург, пр. Ленина, 51
References
- Вшивков С.А., Тюкова И.С., Русинова Е.В. Полимерные композиционные материалы. Екатеринбург: Изд-во Уральского ун-та, 2022.
- Полимерные композиционные материалы. Свойства. Структура. Технологии. / Под ред. А.А. Берлина. СПб.: Профессия, 2009.
- Баженов С.Л., Берлин А.А., Кульков А.А., Ошмян В.Г. Полимерные композиционные материалы. Прочность и технологии. М.: Изд-во Интеллект, 2009.
- Li Q., Liu C., Wang X., Fan S. // Nanotechnology. 2009. V. 20. № 14. P.145702.
- Berber S., Kwon Y.-K., Tománek D. // Phys. Rev. Lett. 2000. V. 84. № 20. P. 4613.
- Елецкий А. В. // Успехи физ. наук. 2007. Т. 177. № 3. С. 233.
- A.I. Helal, S.I. Elkalashy, S.A. Vshivkov, T.S. Soliman, M.F. Zaki. // Physica Scripta. 2021. V. 96. № 8. 085804.
- Макарова Т.Л. // Физика и техника полупроводников. 2004. Т. 36. № 6. С. 641.
- Fujiwara M., Oki E., Hamada M., Tanimoto Y., Shimomura Y. // J. Phys. Chem. A. 2001. V. 105. № 15. P. 3746.
- Кряжев В.Н., Широков В.А. // Химия растит. сырья. 2005. № 3. С. 7.
- Куличихин В.Г., Голова Л.К. // Химия древесины. 1985. №3. С. 9.
- Папков С.П., Куличихин В.Г. Жидкокристаллическое состояние полимеров. М.: Химия, 1977.
- Vshivkov S.A. Phase Transitions and Structure of Polymer Systems in External Fields. Newcastle. UK: Cambridge Scholars Publ. 2019.
- Vshivkov S.A., Rusinova E.V., Galyas A.G // Polymer Science A. 2012. V. 54. № 11. P. 827.
- Липатов Ю.С. Физико-химические основы наполнения полимеров. М.: Химия, 1977.
- Функциональные наполнители для пластмасс. / Под ред. Марино Ксантос. М.: Научные основы и технологии, 2010.
- Тагер А. А. Физико-химия полимеров. М.: Научный мир, 2007.
- Vshivkov S.A., Rusinova E.V., Kudrevatykh N.V., Galyas A.G., Alekseeva M.S., Kuznetsov D.K.// Polymer Science A. 2006. V. 48. № 10. P. 1115.
Supplementary files











