Conductometric and Potentiometric Titration of Carboxyl Groups in Polymer Microspheres
- Authors: Shestakova D.O.1,2, San’kova N.N.2, Parkhomchuk E.V.1,2
-
Affiliations:
- Novosibirsk State University
- Boreskov Institute of Catalysis, Siberian Branch, Russian Academy of Sciences
- Issue: Vol 65, No 5 (2023)
- Pages: 391-404
- Section: МЕТОДЫ ИССЛЕДОВАНИЯ
- URL: https://journals.rcsi.science/2308-1120/article/view/233628
- DOI: https://doi.org/10.31857/S2308112023600102
- EDN: https://elibrary.ru/DCZBWT
- ID: 233628
Cite item
Full Text
Abstract
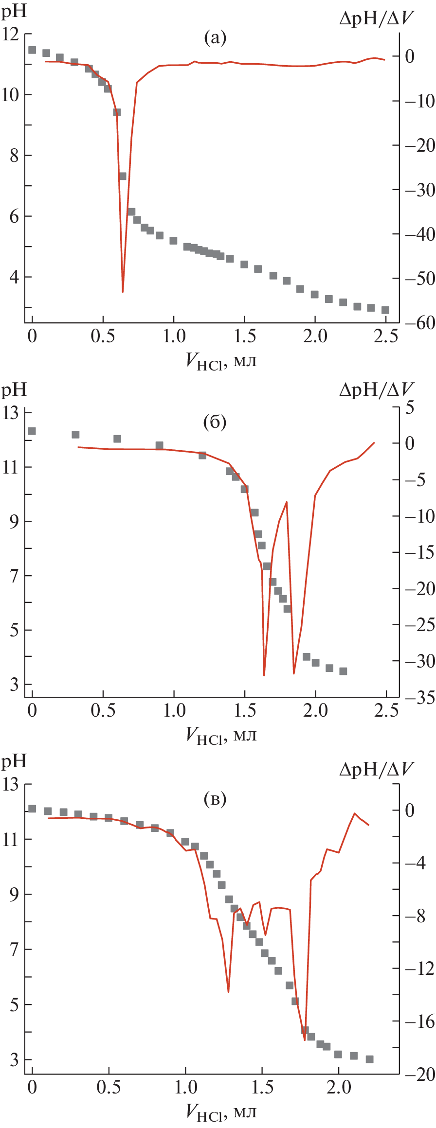
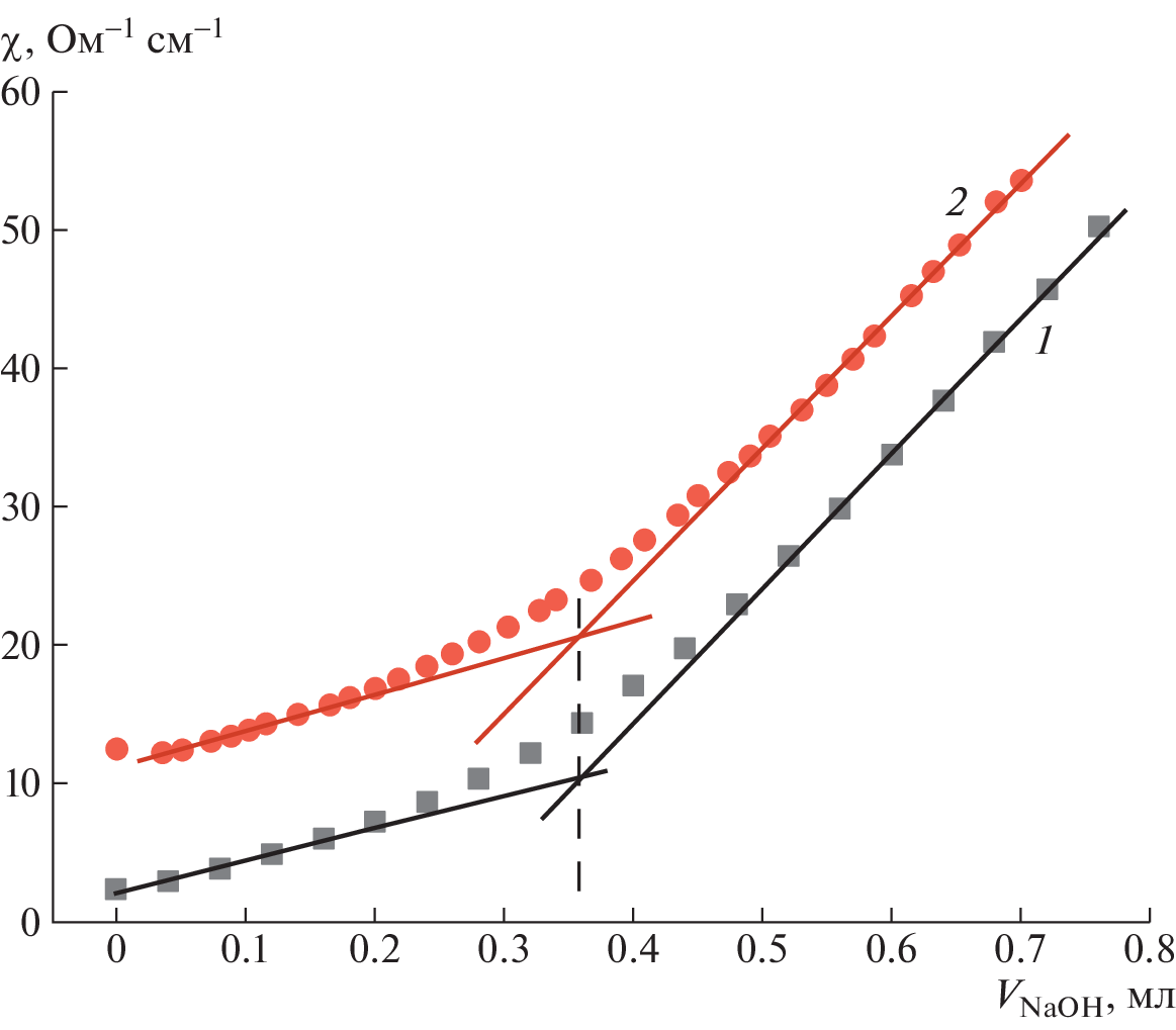
A laboratory procedure has been suggested for determining the concentration of carboxyl groups at the surface of polystyrene microspheres at the latex concentration of a few hundredths of weight percentage (the COOH groups concentration below 4 × 10−4 mol/L). The procedure is based on conductometric and potentiometric titration. The influence of polymer particles concentration in the system, ionic strength of the solution, titration duration, and the system inertness on the obtained values of the carboxyl groups concentration and the determination accuracy have been investigated.
About the authors
D. O. Shestakova
Novosibirsk State University; Boreskov Institute of Catalysis, Siberian Branch, Russian Academy of Sciences
Email: d.shestakova@g.nsu.ru
630090, Novosibirsk, Russia; 630090, Novosibirsk, Russia
N. N. San’kova
Boreskov Institute of Catalysis, Siberian Branch, Russian Academy of Sciences
Email: d.shestakova@g.nsu.ru
630090, Novosibirsk, Russia
E. V. Parkhomchuk
Novosibirsk State University; Boreskov Institute of Catalysis, Siberian Branch, Russian Academy of Sciences
Author for correspondence.
Email: d.shestakova@g.nsu.ru
630090, Novosibirsk, Russia; 630090, Novosibirsk, Russia
References
- Arshady R. // Colloid Polym. Sci. 1992. V. 270. № 8. P. 717.
- Yu B., Cong H., Peng Q., Gu C., Tang Q., Xu X., Tian C., Zhai F. // Adv. Colloid Interface Sci. 2018. V. 256. P. 126.
- Li M., Joung D., Hughes B., Waldman S.D., Kozinski J.A., Hwang D.K. // Scientific Reports. 2016. V. 6. № 30463. P. 1.
- Gokmen M.T., Prez F.E. Du. // Progr. Polym. Sci. 2012. V. 37. № 3. P. 365.
- Shevchenko N.N., Evseeva T.G., Shevaldysheva D.I., Pankova G.A., Shabsel’s B.M., Men’shikova A.Yu. // Colloid J. 2013. V. 75. № 4. P. 460.
- Onishi S., Tokuda M., Suzuki T., Minami H. // Langmuir. 2015. V. 31. № 2. P. 674.
- Sun K., Wang Q., Huang X.H., Zhen M.C., Li W., Zhang L.J. // Acta Pharmacol. Sinica. 2007. V. 28. № 12.
- Lee K.C., Lee S.Y. // Macromol. Res. 2007. V. 15. № 3. P. 244.
- Kondo A., Fukuda H. // J. Ferment. Bioeng. 1997. V. 84. № 4. P. 337.
- Newman D.J., Henneberry H., Price C.P. // Ann. Clinical Biochem. 1992. V. 29. № 1. P. 22.
- Warson H., Finch C. // Applications of Synthetic Resin Latices, Latices in Diverse Applications. New York: Wiley, 2001.
- Roy D., Cambre J.N., Sumerlin B.S. // Progr. Polym. Sci. 2010. V. 35. № 1–2. P. 278.
- Chou J., Wong J., Christodoulides N., Floriano P.N., Sanchez X., McDevitt J. // Sensors (Switzerland). 2012. V. 12. № 11. P. 15467.
- Jokerst J.V., Chen Z., Xu L., Nolley R., Chang E., Mitchell B., Brooks J.D., Gambhir S.S., Kumar-Sinha C. // PLoS ONE. 2015. V. 10. № 9.
- Sankova N., Shalaev P., Semeykina V., Dolgushin S., Odintsova E., Parkhomchuk E. // J. Appl. Polym. Sci. 2021. V. 138. № 8. P. 49890.
- Qi K., Ma Q., Remsen E.E., Clark C.G., Wooley K.L. // J. Am. Chem. Soc. 2004. V. 126. № 21. P. 6599.
- Geißler D., Nirmalananthan-Budau N., Scholtz L., Ta-vernaro I., Resch-Genger U. // Microchim. Acta. 2021. V. 188. № 10.
- Dai J., Liu Y., Li J., Lu Z., Yang W. // Surface Interface Analysis. 2009. V. 41. № 7. P. 577.
- Hennig A., Hoffmann A., Borcherding H., Thiele T., Schedler U., Resch-Genger U. // Analyt, Chem. 2011. V. 83. № 12. P. 4970.
- Rödiger S., Ruhland M., Schmidt C., Schröder C., Grossmann K., Böhm A., Nitschke J., Berger I., Schimke I., Schierack P. // Anal. Chem. 2011. V. 83. № 9. P. 3379.
- Zhu S., Panne U., Rurack K. // Analyst. 2013. V. 138. № 10. P. 2924.
- Zwetsloot J.P.H., Leyte J.C. // J. Colloid Interface Sci. 1994. V. 163. № 2. P. 362.
- Hen J. // J. Colloid Interface Sci. 1974. V. 49. № 3. P. 425.
- Kamel A.A., El-Aasser M.S., Vanderhoff J.W. // J. Dispersion Sci. Technol. 1981. V. 2. № 2–3. P. 183.
- James R.O., Davis J.A., Leckie J.O. // J. Colloid Interface Sci. 1978. V. 65. № 2. P. 331.
- Kim J.W., Park J.G., Ryu J.H., Chang I.S., Suh K.D. // Colloid Polym. Sci. 2005. V. 283. № 11. P. 1233.
- Song S., Zhang W., Hu Z., Zhang Z. // Colloids Surfaces A. 2009. V. 348. № 1–3. P. 1.
- Bastos D., De Las Nieves F.J. // Colloid Polym. Sci. 1993. V. 271. № 9. P. 860.
- Stone-Masui J., Watillon A. // J. Colloid Interface Sci. 1975. V. 52. № 3. P. 479.
- Saija L.M., Stefanoli V., Umiski M., Cozzi M. // J. Dispersion Sci. Technol. 1995. V. 16. № 3–4. P. 273.
- Tuncel A., Tuncel M., Ergun B., Alagöz C., Bahar T. // Colloids Surfaces A. 2002. V. 197. № 1–3. P. 79.
- Hennig A., Borcherding H., Jaeger C., Hatami S., Würth C., Hoffmann A., Hoffmann K., Thiele T., Schedler U., Resch-Genger U. // J. Am. Chem. Soc. 2012. V. 134. № 19. P. 8268.
- Sankova N., Vyvdenko D., Luzina E., Shestakova D., Babina K., Malakhova Y., Yakush E., Parkhomchuk E. // Colloid Polym. Sci. 2022. V. 300. № 6. P. 625.
- Okunev A.G., Mashukov M.Yu., Nartova A.V., Matveev A.V. // Nanomaterials. 2020. V. 10. № 7. P. 1.
- Okunev A.G., Mashukov M.Yu., Sankova N.N., Nartova A.V., Matveev A.V. // IOP Conf. Series: Materials Science and Engineering. 2021. V. 1155. № 1. P. 012015.
- Матвеев А.В., Машуков М.Ю., Нартова А.В., Санькова Н.Н., Окунев А.Г. // Физико-химические аспекты изучения кластеров, наноструктур и наноматериалов. 2021. V. 13. P. 300.
- Labib M.E., Robertson A.A. // J. Colloid Interface Sci. 1980. V. 77. № 1. P. 151.
- Sakota K., Okaya T. // J. Appl. Polym. Sci. 1976. V. 20. № 7. P. 1735.
- Everett D.H., Gültepe M.E., Wilkinson M.C. // J. Colloid Interface Sci. 1979. V. 71. № 2. P. 336.
- Kissa E. // Dispersions: Characterization, testing, and measurement. Routledge, 2017.
- Polymer Colloids II / Ed. by R.M. Fitch. Springer Science & Business Media, 2012.
- Everett D.H., Gültepe M.E., Wilkinson M.C. // J. Colloid Interface Sci. 1979. V. 71. № 2. P. 336.
- Wilkinson M.C., Hearn J., Steward P.A. // Adv. Colloid Interface Sci. 1999. V. 81. № 2. P. 77.
- Chainey M., Hearn J., Wilkinson M.C. // J. Colloid Interface Sci. 1987. V. 117. № 2. P. 477.
- Kamel A.A., El-aasser M.S., Vanderhoff J.W. // J. Colloid Interface Sci. 1982. V. 87. № 2. P. 537.
- Moser M., Nirmalananthan N., Behnke T., Geißler D., Resch-Genger U. // Analyt. Chem. 2018. V. 90. № 9. P. 5887.
- Gong Y.K., Nakashima K., Xu R. // Langmuir. 2000. V. 16. № 22. P. 8546.
- Carbon dioxide [Electronic resource]. – URL: https://webbook.nist.gov/cgi/cbook.cgi?ID=C124389& Units=SI&Mask=10#Solubility (дата обращения: 12.03.2023).
Supplementary files













