ВЛИЯНИЕ ВУЛКАНИЗУЮЩЕЙ СИСТЕМЫ НА СТРУКТУРУ И СВОЙСТВА ПОЛИМЕРЭЛАСТОМЕРНЫХ КОМПОЗИТНЫХ МАТЕРИАЛОВ
- Авторы: Шадринов Н.В.1, Халдеева А.Р.1, Федоров А.Л.1, Кондаков М.Н.1, Соколова М.Д.1
-
Учреждения:
- Институт проблем нефти и газа Сибирского отделения Российской академии наук
- Выпуск: Том 65, № 5 (2023)
- Страницы: 374-383
- Раздел: СМЕСИ ПОЛИМЕРОВ
- URL: https://journals.rcsi.science/2308-1120/article/view/233625
- DOI: https://doi.org/10.31857/S2308112023600096
- EDN: https://elibrary.ru/DDBUZC
- ID: 233625
Цитировать
Полный текст
Аннотация
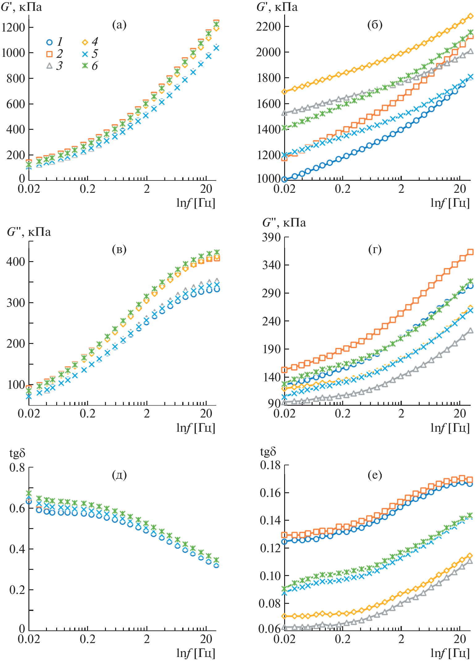
Исследовано влияние вулканизующей системы на комплекс свойств полимер-эластомерных композитных материалов на основе бутадиен-нитрильного каучука и сверхвысокомолекулярного полиэтилена. Анализ реометрических и вулканизационных характеристик резиновых смесей показал значительное повышение плотности сшивки вулканизатов при использовании комбинированной серо-пероксидной системы вулканизации. При изучении упруго-прочностных и динамических механических свойств вулканизатов установлено, что использование серо-пероксидной системы вулканизации обеспечивает достижение наиболее высоких показателей, в том числе при низких температурах. Анализ упруго-гистерезисных свойств образцов до и после вулканизации, полученных в условиях динамического нагружения в широком диапазоне частот и деформации позволил описать особенности физико-химических взаимодействий в полимер-эластомерных материалах в зависимости от использованной вулканизационной системы. Методом растровой электронной микроскопии визуализированы особенности надмолекулярной структуры образцов вулканизатов, а методом ИК-спектроскопии получены результаты, свидетельствующие о протекании химического взаимодействия между макромолекулами бутадиен-нитрильного каучука и сверхвысокомолекулярного полиэтилена при пероксидной вулканизации.
Об авторах
Н. В. Шадринов
Институт проблем нефти и газа Сибирского отделения Российской академии наук
Email: nshadrinov@gmail.com
Россия, 677007, Якутск, ул. Автодорожная, 20
А. Р. Халдеева
Институт проблем нефти и газа Сибирского отделения Российской академии наук
Email: nshadrinov@gmail.com
Россия, 677007, Якутск, ул. Автодорожная, 20
А. Л. Федоров
Институт проблем нефти и газа Сибирского отделения Российской академии наук
Email: nshadrinov@gmail.com
Россия, 677007, Якутск, ул. Автодорожная, 20
М. Н. Кондаков
Институт проблем нефти и газа Сибирского отделения Российской академии наук
Email: nshadrinov@gmail.com
Россия, 677007, Якутск, ул. Автодорожная, 20
М. Д. Соколова
Институт проблем нефти и газа Сибирского отделения Российской академии наук
Автор, ответственный за переписку.
Email: nshadrinov@gmail.com
Россия, 677007, Якутск, ул. Автодорожная, 20
Список литературы
- Бузник В.М., Василевич Н.И. // Лаборатория и производство. 2020. № 1 (11). С. 98.
- Paul D., Bucknell K. // Polymer Blends. New York: Wiley, 2000.
- Захаров Н.Д., Кострыкина Г.И. // Высокомолек. соед. А. 1968. Т. 10. № 1. С. 107.
- Корнев А.Е., Буканов А.М., Шевердяев О.Н. Технология эластомерных материалов. М.: Эксим, 2000.
- Dluzneski P.R. // Rubber Chem. Technol. 2001. V. 74. № 3. P. 451.
- Valentin J.L., Rodriguez A., Marcos-Fernandez, Livier Gonzales // J. Appl. Polym. Sci. 2005. V. 96. P. 1.
- Kurtz S.M. // UHMWPE Biomaterials Handbook: Ultra-High Molecular Weight Polyethylene in Total Joint Replacement and Medical Devices. New York: William Andrew, 2015.
- Соколова М.Д., Давыдова М.Л., Шадринов Н.В. // Физикохимия поверхности и защита материалов. 2018. Т. 54. № 5. С. 1.
- Шадринов Н.В., Гоголев В.Д., Исакова Т.А. // Журн. Сибирского федерального ун-та. Техника и технологии. 2021. Т. 14. № 4. С. 424
- Ketan Patel, Samir H. Chikkali, Swaminathan Sivaram // Progr. Polym. Sci. 2020. V. 109. P. 101290.
- Shadrinov N.V., Borisova A.A. // Inorgan. Mater. Appl. Res. 2021. № 12. P. 1112.
- Leblanc J.L., Mongruel A. // Prog. Rubber Plast. Technol. 2001. V. 3. № 17. P. 162.
- Yahaya L.E., Adebowale K.O., Olu-Owolabi B.I. // Am. Chem. Sci. J. 2014. V. 4. № 4. P. 472.
- Lopez-Manchado M.A., Arroyo M.A., Herrero M.B., Biagiotti J. // J. Appl. Polym. Sci. 2003. V. 89. № 1. P. 1.
- Бухина М.Ф. Кристаллизация каучуков и резин. М.: Химия, 1973.
- Manoj Sehrawat, Mamta Rani, Sony Bharadwaj, Sushant Sharma, Gaurav Chauhan, Sanjay Dhakate, Bhanu Pratap Singh // MAPAN. 2022. № 37. C. 517.
- Barick A.K., Tripathy D.K. // J. Appl. Polym. Sci. 2010. V. 117. № 2. P. 639.
- Babu R.R., Singha N.K., Naskar K. // Polym. Eng. Sci. 2009. V. 50. № 3. P. 455.
- Муромцев Д.Н., Пичхидзе С.Я. // Вестн. Саратовского гос. техн. ун-та. 2012. Т. 68. № 1. С. 158.
- Payne A.R., Whittaker R.E. // Rubber Chem. Technol. 1971. V. 44. № 2. P. 440.
- Robertson C.G., Roland C.M. // Rubber Chem. Technol. 2008. V. 81. № 3. P. 506.
- Bohm G.A., Tomaszewski W., Cole W., Hogan T. // Polymer. 2010. V. 51. № 9. P. 2057.
- Maier P.G., Goritz D. // Kautschuk Gummi Kunstoffe. 1996. V. 49. № 1. P. 18.
- Chazeau L., Brown J.D., Yanyo L.C., Sternstein S.S. // Polym. Compos. 2000. V. 21. № 2. P. 202.
- Ge X., Zhang Z., Yu H., Zhang B., Cho U.R. // Appl. Clay Sci. 2018. № 157. P. 274.
- Bellamy M. // J. Chem. Educ. 2010. № 87. P. 1399.
- Passador F.R., Rodolfo A., Pessan L.A. // J. Macromol. Sci. B. 2009. V. 48. № 2. P. 282.
- Liu Xifei, Zhou Tao, Liu Yongcheng, Zhang Aiming, Yuan Canyao, Zhang Weidong // RSC Adv. 2015. № 5.
- Карасёва С.Я., Саркисова В.С., Дружинина Ю.А. // Химические реакции полимеров. Самара: Самарский гос. техн. ун-т, 2012.
- Kruzelak J., Sykora R., Hudec I. // J. Polym. Eng. 2014. № 34.
Дополнительные файлы







