СТРУКТУРНО-МОРФОЛОГИЧЕСКИЕ И РЕОЛОГИЧЕСКИЕ ОСОБЕННОСТИ СОВМЕСТНЫХ РАСТВОРОВ ЦЕЛЛЮЛОЗЫ И СОПОЛИМЕРА ПАН В N-МЕТИЛМОРФОЛИН-N-ОКСИДЕ
- Авторы: Виноградов М.И.1, Макаров И.С.1, Голова Л.К.1, Бондаренко Г.Н.1, Куличихин В.Г.1
-
Учреждения:
- Институт нефтехимического синтеза им. А.В. Топчиева Российской академии наук
- Выпуск: Том 65, № 3 (2023)
- Страницы: 212-224
- Раздел: СМЕСИ ПОЛИМЕРОВ
- URL: https://journals.rcsi.science/2308-1120/article/view/135334
- DOI: https://doi.org/10.31857/S2308112023700499
- EDN: https://elibrary.ru/MJWOLK
- ID: 135334
Цитировать
Полный текст
Аннотация
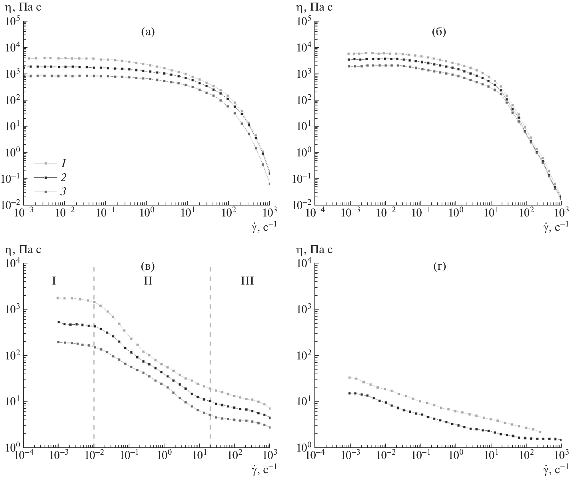
Получены 18%-ные смесевые растворы целлюлозы и тройного сополимера ПАН, содержащего метилакрилатный и метилсульфонатный сомономеры, в N-метилморфолин-N-оксиде во всем диапазоне составов. Все полученные системы на основе целлюлозы и ПАН двухфазны, причем морфологические особенности эмульсий изменяются в зависимости от фазового состава и интенсивности деформационного воздействия от высокодисперсной изотропной до фибриллярной. При высоких напряжениях сдвига, реализуемых при получении растворов в экструдере, все эмульсии характеризуются однотипной микрогетерогенной морфологией, которая при деформировании трансформируется в фибриллярную. ИК-спектроскопическими исследованиями установлено, что в процессе получения между функциональными группами макромолекул сокомпонентов протекают специфические взаимодействия, приводящие к формированию ассоциатов ПАН/целлюлоза, претерпевающих гидрофобное отталкивание по границам раздела. Именно этот процесс инициирует фибрилляцию фазы целлюлозного раствора в присутствии раствора ПАН при деформировании. Характер реологического поведения смесевых растворов во всем интервале концентраций в непрерывном и динамическом режимах при температурах 110–130°С является прямым следствием фазового состава и морфологических превращений, протекающих в процессе деформирования. Выбраны составы эмульсий, характеризуемые вязкоупругими свойствами, позволяющими успешно формовать композитные волокна.
Об авторах
М. И. Виноградов
Институт нефтехимического синтеза им. А.В. Топчиева Российской академии наук
Email: makarov@ips.ac.ru
Россия, 119991, Москва, Ленинский пр., 29
И. С. Макаров
Институт нефтехимического синтеза им. А.В. Топчиева Российской академии наук
Email: makarov@ips.ac.ru
Россия, 119991, Москва, Ленинский пр., 29
Л. К. Голова
Институт нефтехимического синтеза им. А.В. Топчиева Российской академии наук
Email: makarov@ips.ac.ru
Россия, 119991, Москва, Ленинский пр., 29
Г. Н. Бондаренко
Институт нефтехимического синтеза им. А.В. Топчиева Российской академии наук
Email: makarov@ips.ac.ru
Россия, 119991, Москва, Ленинский пр., 29
В. Г. Куличихин
Институт нефтехимического синтеза им. А.В. Топчиева Российской академии наук
Автор, ответственный за переписку.
Email: makarov@ips.ac.ru
Россия, 119991, Москва, Ленинский пр., 29
Список литературы
- Mikhailov N.V., Ukhanova Z.V., Karetina T.I. // Fibre Chem. 1959. № 1. P. 18.
- Mikhailov N.V., Smirnova B.N., Nessonova G.D. // Fibre Chem. 1971. V. 2. № 4. P. 314.
- Iovleva M.M., Smirnova V.N., Budnitskii G.A. // Fibre Chem. 2001. V. 33. P. 262.
- Hattori M., Yamazaki H., Saito M., Hisatani K., Okajima K. // Polym. J. 1996. № 28. P. 594.
- Zhang J., Yamagishi N., Gotoh Y. // Cellulose. 2019. V. 26. P. 889.
- Byrne N., Leblaisa A., Fox B. // J. Mater. Chem. A. 2014. V. 2. P. 3424.
- Golova L.K. // Fibre Chemisty. 1996. V. 28. № 1. P. 5.
- Куличихин В.Г., Голова Л.К. Растворы целлюлозы в оксидах третичных аминов: межмолекулярные взаимодействия, структура, реология. Научные основы химической технологии углеводов. М.: Изд-во ЛКИ, 2008.
- Makarov I.S., Golova L.K., Kuznetsova L.K., Rebrov A.V., Berkovich A.K., Skvortsov I.Yu., Kulichikhin V.G. // Russ. J. Gen. Chem. 2017. V. 87. P. 1351.
- Golova L.K., Makarov I.S., Vinogradov M.I., Kuznetsova L.K., Kulichikhin V.G. // Polymer Science A. 2018. V. 60. № 6. P. 756.
- Golova L.K., Bondarenko G.N., Makarov I.S., Kuznetsova L.K., Vinogradov M.I., Kulichikhin V.G. // Polymer Science A. 2020. V. 62. № 6. P. 597.
- Пат. 1645308 Россия. 1992.
- Пат. 2541473 Россия. 2014.
- Zhang W., Okubayashi S., Bechtold T. // Cellulose. 2005. V. 12. P. 267.
- Fink H.P., Weigel P., Purz H.J., Ganster J. // Prog. Polym. Sci. 2001. V. 26. P. 1473.
- Kulichikhin V., Golova L., Makarov I., Bondarenko G., Makarova V., Ilyin S., Skvortsov I., Berkovich A. // Eur. Polym. J. 2017. V. 92. P. 326.
- Тарасевич Б.Н. ИК-спектры основных классов органических соединений. Справочные материалы. М.: МГУ, 2012. С. 26.
- Feldstein M.M., Kiseleva T.I., Bondarenko G.N., Kostina J.V., Singh P., Cleary G.W. // J. App. Polym. Sci., 2009. V. 112. P. 1142.
- Nelson M.L., O’Connor R.T. // J. Appl. Polym. Sci. 1964. V. 8. P. 1325.
Дополнительные файлы

















