Methacrylate Single-Ion Conducting Block Copolymers: Effect of the Chemical Structure on Conductivity and Morphological Organization
- Autores: Lozinskaya E.I.1, Ponkratov D.O.1, Shaplov A.S.2, Malyshkina I.A.3, Streltsov D.R.4, Bakirov A.V.4
-
Afiliações:
- A.N. Nesmeyanov Institute of Organoelement Compounds, Russian Academy of Sciences (INEOS RAS)
- Luxembourg Institute of Science and Technology
- Department of Physics, Moscow State University (MSU)
- Enikolopov Institute of Synthetic Polymer Materials, Russian Academy of Sciences
- Edição: Volume 65, Nº 1 (2023)
- Páginas: 32-49
- Seção: ФУНКЦИОНАЛЬНЫЕ ПОЛИМЕРЫ
- URL: https://journals.rcsi.science/2308-1120/article/view/135333
- DOI: https://doi.org/10.31857/S2308112023700359
- EDN: https://elibrary.ru/UZTUHZ
- ID: 135333
Citar
Texto integral
Resumo
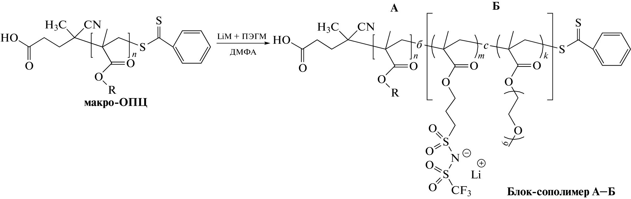
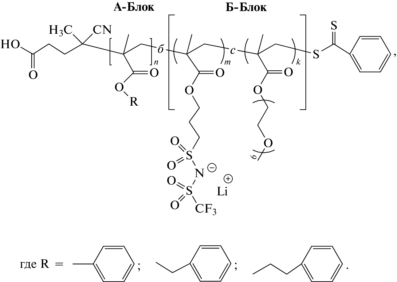
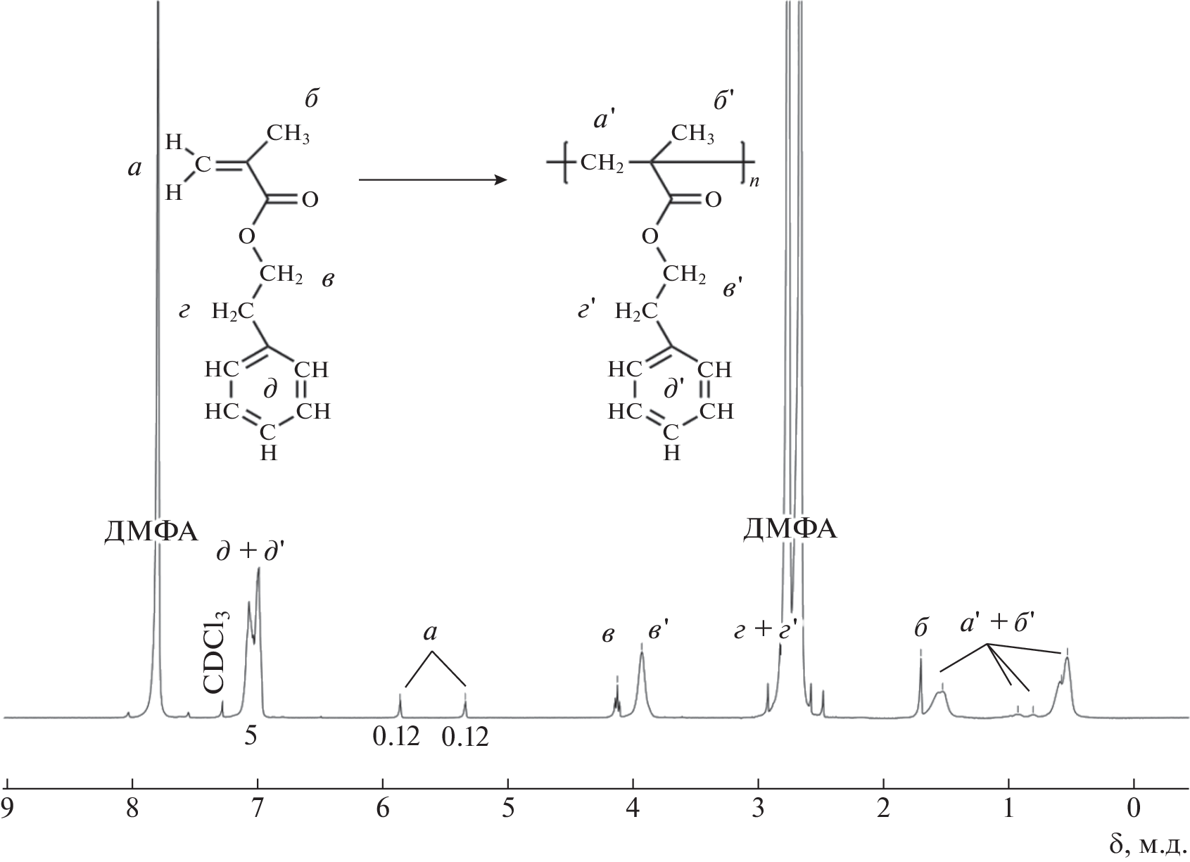
A series of novel anionic block copolymers, in which the neutral block is formed by 2-phenylethyl methacrylate (PEM) and the ionic block is prepared via statistical copolymerization of lithium 1-[3-(methacryloyloxy)-propylsulfonyl]-1-(trifluoromethanesulfonyl)imide (LiM) and methyl ether of poly(ethylene glycol) methacrylate (PEGM) have been synthesized. The effects of chemical structure, composition, and molecular mass of the blocks on ionic conductivity and thermal properties of the poly[PEM–block–(LiM–stat–PEGM)] block copolymers have been investigated. It has been found by means of small-angle X-ray scattering that the introduction of a small fraction of the lithium-containing units (~7 mol %) in the structure of neutral poly[PEM–block–PEGM] copolymer leads to microphase separation and ordering of the system. Combined small-angle X-ray scattering and atomic force microscopy data have evidenced the formation of lamellar structure with the interplanar distance of d ~ 28 nm.
Sobre autores
E. Lozinskaya
A.N. Nesmeyanov Institute of Organoelement Compounds, Russian Academy of Sciences (INEOS RAS)
Email: helloz@ineos.ac.ru
119334, Moscow, Russia
D. Ponkratov
A.N. Nesmeyanov Institute of Organoelement Compounds, Russian Academy of Sciences (INEOS RAS)
Email: helloz@ineos.ac.ru
119334, Moscow, Russia
A. Shaplov
Luxembourg Institute of Science and Technology
Email: helloz@ineos.ac.ru
L-4362, Esch-sur-Alzette, Luxembourg
I. Malyshkina
Department of Physics, Moscow State University (MSU)
Email: helloz@ineos.ac.ru
119991, Moscow, Russia
D. Streltsov
Enikolopov Institute of Synthetic Polymer Materials, Russian Academy of Sciences
Email: helloz@ineos.ac.ru
117393, Moscow, Russia
A. Bakirov
Enikolopov Institute of Synthetic Polymer Materials, Russian Academy of Sciences
Autor responsável pela correspondência
Email: helloz@ineos.ac.ru
117393, Moscow, Russia
Bibliografia
- Armand M., Axmann P., Bresser D., Copley M., Edström K., Ekberg Ch., Guyomard D., Lestriez B., Nov’ak P., Petranikova M., Porche W., Trabesinger S., Wohlfahrt-Mehrens M., Zhang H. // J. Power Sources. 2020. V. 479. P. 228708.
- Manthiram A. // Nat. Commun. 2020. V. 11. P. 1550.
- Zhang H., Li Ch., Piszcz M., Coya E., Rojo T., Rodriguez-Martinez L.M., Armand M., Zhou Z. // Chem. Soc. Rev. 2017. V. 46. № 3. P. 797
- Ibrahim H., Ilinca A., Perron J. // Renew. Sustain. Energy Rev. 2008. V. 12. № 5. P. 1221.
- Xu K. // Chem. Rev. 2004. V. 104. № 10. P. 4303.
- Hammami A., Raymond N., Armand M. // Nature. 2003. V. 424. № 6949. P. 635.
- Voropaeva D.Yu., Novikova S.A., Yaroslavtsev A.B. // Russ. Chem. Rev. 2020. V. 89. № 10. P. 1132.
- Jiang Y., Yan X., Ma Zh., Mei P., Xiao W., You Q., Zhang Y. // Polymers. 2018. V. 10. № 11. P. 1237.
- Forsyth M., Porcarelli L., Wang X., Goujon N., Mecerreyes D. // Acc. Chem. Res. 2019. V. 52. № 3. P. 686.
- Fergus J.W. // J. Power Sources. 2010. V. 195. № 15. P. 4554.
- Sua T.-T., Le J.-B., Ren W.-F., Zhang Sh.-J., Yuan J.-M., Wang K., Shao Ch.-Y., Li J.-T., Sun Sh.-G., Sun R.-C. // J. Power Sources. 2022. V. 521. P. 230949.
- Mauger A., Julien C.M., Goodenough J.B., Zaghib K. // J. Electrochem. Soc. 2020. V. 167. № 7. P. 070507.
- Chen G., Niu Ch., Chen Y., Shang W., Qu Y., Du Zh., Zhao L., Liao X., Du J., Chen Y. // Solid State Ionics. 2019. V. 341. P. 115048.
- Bouchet R., Maria S., Meziane R., Aboulaich A., Lienafa L., Bonnet J.-P., Phan T.N.T., Bertin D., Gigmes D., Devaux D., Denoyel R., Armand M. // Nat. Mater. 2013. V. 12. P. 452.
- Zhang Y., Lim C.A., Cai W., Rohan R., Xu G., Sun Y., Cheng H. // RSC Adv. 2014. V. 4. № 83. P. 43857.
- Jangu C., Savage A.M., Zhang Z., Schultz A.R., Madsen L.A., Beyer F.L., Long T.E. // Macromolecules. 2015. V. 48. № 13. P. 4520.
- Long L., Wang Sh., Xiao M., Meng Y. // J. Mater. Chem. A. 2016. V. 4. № 26. P. 10038.
- Ma Q., Zhang H., Zhou C., Zheng L., Cheng P., Nie J., Feng W., Hu Y.-S., Li H., Huang X., Chen L., Armand M., Zhou Z. // Angew. Chem. Int. Ed. 2016. V. 55. № 7. P. 2521.
- Elmore C.T., Seidler M.E., Ford H.O., Merrill L.C., Upadhyay S.P., Schneider W.F., Schaefer J.L. // Batteries. 2018. V. 4. № 2. P. 28.
- Zhang M., Yu S., Mai Y., Zhang Sh., Zhou Y. // Chem. Commun. 2019. V. 55. P. 6715.
- Zhang B., Zheng C., Sims M.B., Bates F.S., Lodge T.P. // ACS Macro Lett. 2021. V. 10. P. 1035.
- Shim J., Bates F.S., Lodge T.P. // Nat. Commun. 2019. V. 10. P. 2108.
- Pantazidis C., Andreou S., Nikolakakou G., Glynos E., Sakellariou G. // Polym. Chem. 2022. V. 13. № 14. P. 1997.
- Lingua G., Grysan P., Vlasov P.S., Verge P., Shaplov A.S., Gerbaldi C. // Macromolecules. 2021. V. 54. P. 6911.
- Lozinskaya E.I., Ponkratov D.O., Malyshkina I.A., Grysan P., Lingua G., Gerbaldi C., Shaplov A.S., Vygodskii Y.S. // Electrochim. Acta. 2022. V. 413. P. 140126.
- Porcarelli L., Shaplov A.S., Bella F., Nair J.R., Mecerreyes D., Gerbaldi C. // ACS Energy Lett. 2016. V. 1. № 4. P 678.
- Porcarelli L., Shaplov A.S., Salsamendi M., Nair J.R., Vygodskii Y.S., Mecerreyes D., Gerbaldi C. // ACS Appl. Mater. Interfaces. 2016. V. 8. № 16. P 10350.
- Porcarelli L., Aboudzadeh M.A., Rubatat L., Nair J.R., Shaplov A.S., Gerbaldi C., Mecerreyes D. // J. Power Sources. 2017. V. 364. P. 191.
- Sadoway D.R. // J. Power Sources. 2004. V. 129. P. 1.
- Chen T.-L., Sun R., Willis C., Morgan B.F., Beyer F.L., Elabd Y.A. // Polymer. 2019. V. 161. P. 128.
- Bouchet R., Phan T.N.T., Beaudoin E., Devaux D., Davidson P., Bertin D., Denoyel R. // Macromolecules. 2014. V. 47. № 8. P. 2659.
- Singh M., Odusanya O., Wilmes G.M., Eitouni H.B., Gomez E.D., Patel A.J., Chen V.L., Park M.J., Fragouli P., Iatrou H., Hadjichristidis N., Cookson D., Balsara N.P. // Macromolecules. 2007. V. 40. № 13. P. 4578.
- Chen T.-L., Lathrop P.M., Sun R., Elabd Y.A. // Macromolecules. 2021. V. 54. № 18. P. 8780.
- Abetz V., Goldacker T. // Macromol. Rapid Commun. 2000. V. 21. № 1. P. 16.
- Matsen M.W., Thompson R.B. // J. Chem. Phys. 1999. V. 111. № 15. P. 7139.
- Ye Y., Choi J.-H., Winey K.I., Elabd Y.A. // Macromolecules. 2012. V. 45. № 17. P. 7027.
- Weber R.L., Ye Y., Schmitt A.L., Banik S.M., Elabd Y.A., Mahanthappa M.K // Macromolecules. 2011. V. 44. № 14, 5727.
- Moad G., Rizzardo E., Thang S.H. // Aust. J. Chem. 2012. V. 65. № 8. P. 985.
- Moad G., Rizzardo E., Thang S.H. // Mater. Matters. 2010. V. 5. № 1. P. 2.
- Perrier S. // Macromolecules. 2017. V. 50. № 19. P. 7433.
- Keddie D.J. // Chem. Soc. Rev. 2014. V. 43. № 2. P. 496.
- Chernikova E.V., Sivtsov E.V. // Polymer Science B. 2017. V. 59. № 2. P. 117.
- Osada I., deVries H., Scrosati B., Passerini S. // Angew. Chem. Int. Ed. 2016. V. 55. № 2. P. 500.
- Sinha K., Wang W., Winey K.I., Maranas J.K. // Macromolecules. 2012. V. 45. № 10. P. 4354.
- Ярмоленко О.В., Хатмуллина К.Г. // Альтернативная энергетика и экология. 2010. Т. 3. № 83. С. 59.
- Nečas D., Klapetek P. // Cent. Eur. J. Phys. 2012. V. 10. № 1. P. 181.
- Lowe A.B. // Polymer. 2016. V. 106. P. 161.
- Pei Y., Lowe A.B. // Polym. Chem. 2014. V. 5. № 7. P. 2342.
- Lee H., Tae G., Kim Y.H. // Macromol. Res. 2008. V. 16. № 7. P. 614.
- Bates F.S. // Science. 1991. V. 251. № 4996. P. 898.
- Sing C., Zwanikken J., Olvera de la Cruz M. // Nature Mater. 2014. V. 13. P. 694.
- Meek K.M., Elabd. Y.A. // J. Mater. Chem. A. 2015. V. 3. № 48. P. 24187.
- Meek K.M., Sharick S., Ye Y., Winey K.I., Elabd Y.A. // Macromolecules. 2015. V. 48. № 14. P. 4850.
Arquivos suplementares




















