ВЛИЯНИЕ ТЕМПЕРАТУРЫ ОКИСЛЕНИЯ НА КРИСТАЛЛИЧЕСКУЮ ФАЗУ ПОЛИПРОПИЛЕНА В КОМПОЗИЦИЯХ С ОДНОСТЕННЫМИ УГЛЕРОДНЫМИ НАНОТРУБКАМИ
- Авторы: Палазник О.М.1, Недорезова П.М.1, Крашенинников В.Г.1
-
Учреждения:
- Федеральный исследовательский центр химической физики им. Н.Н. Семенова Российской академии наук
- Выпуск: Том 65, № 4 (2023)
- Страницы: 296-305
- Раздел: КОМПОЗИТЫ
- URL: https://journals.rcsi.science/2308-1120/article/view/135316
- DOI: https://doi.org/10.31857/S2308112023700591
- EDN: https://elibrary.ru/VEFJEZ
- ID: 135316
Цитировать
Полный текст
Аннотация
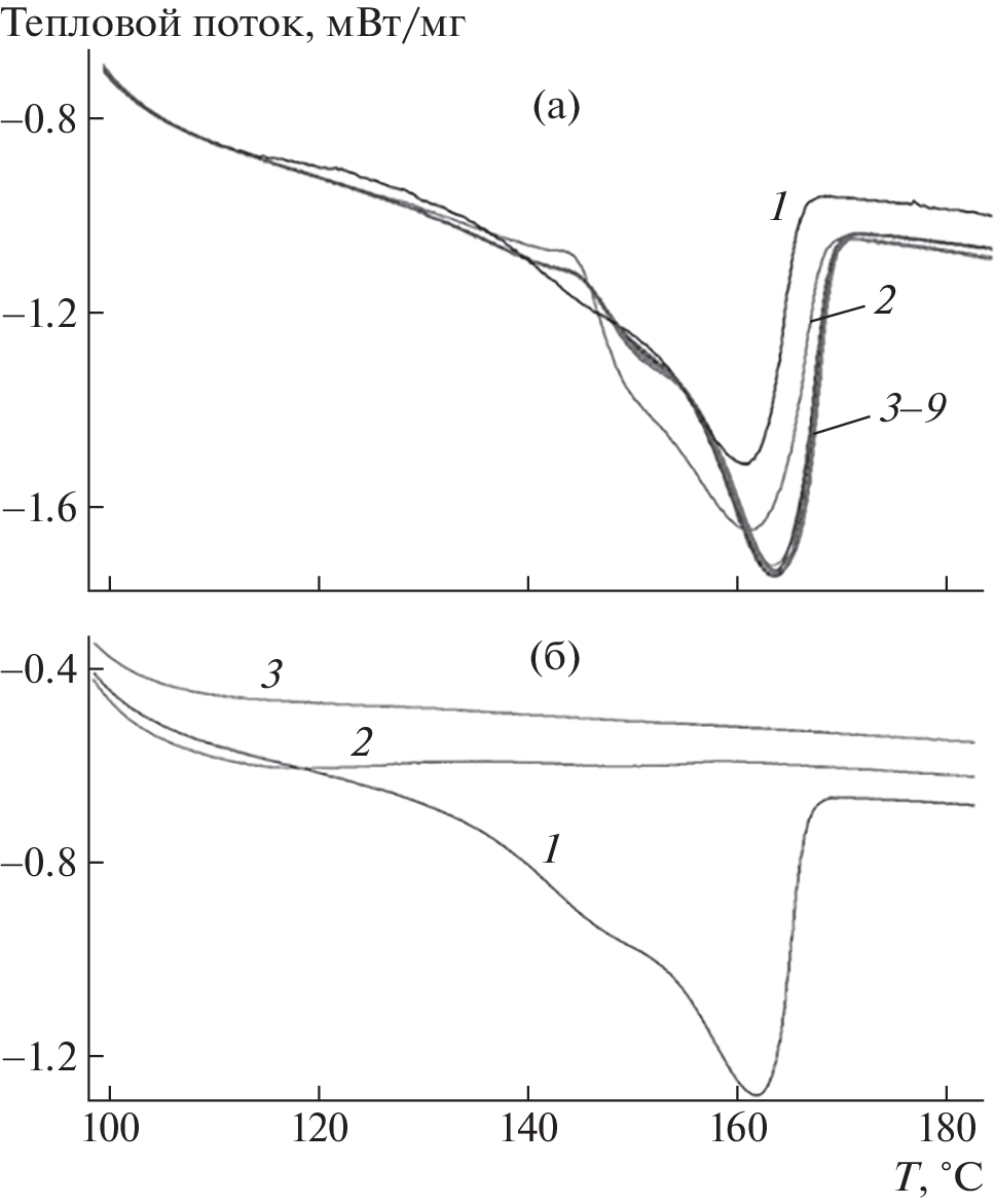
Исследовано влияние термоокисления на кристаллическую фазу полипропилена в композициях с одностенными углеродными нанотрубками. Синтез композиций осуществляли в массе пропилена с использованием гомогенной каталитической системы рац-Me2Si(2-Me-4PhInd)2ZrCl2, активированной метилалюмоксаном. Изучено влияние термоокисления на ряд теплофизических характеристик (теплоту и температуру плавления), полученных с помощью ДСК, а также на происходящие в полимере изменения, определяемые с помощью ИК-спектроскопии. Закономерности изменения структуры ПП в процессе термоокислительного разложения исследованы методом ДСК при 140 и 170°С, т.е. до и после плавления образцов. Показано, что окисленный ПП в композициях имеет более высокие значения кристалличности и более совершенную структуру, чем чистый ПП. При 170°С эффект стабилизации термоокисления наблюдается только при невысоких степенях наполнения (до 3 мас. %), что соотносится с данными ТГА. На основании анализа ИК-спектров установлено, что в процессе окисления присутствие нанотрубок в композициях с ПП приводит к уменьшению скорости образования кислородсодержащих групп в полимере. Сделан вывод, что углеродные нанотрубки ингибируют процесс термоокисления полипропилена в композициях.
Об авторах
О. М. Палазник
Федеральный исследовательский центр химической физики им. Н.Н. Семенова Российской академии наук
Email: polned@mail.ru
Россия, 119991, Москва, ул. Косыгина, 4
П. М. Недорезова
Федеральный исследовательский центр химической физики им. Н.Н. Семенова Российской академии наук
Email: polned@mail.ru
Россия, 119991, Москва, ул. Косыгина, 4
В. Г. Крашенинников
Федеральный исследовательский центр химической физики им. Н.Н. Семенова Российской академии наук
Автор, ответственный за переписку.
Email: polned@mail.ru
Россия, 119991, Москва, ул. Косыгина, 4
Список литературы
- Fang Z., Song P., Tong L., Guo Z. // Thermochim. Acta. 2008. V. 473. № 1–2. P. 106.
- Junlong Yang, Yajiang Huang, Yadong Lv, Pengfei Zhao, Qi Yang, Guangxian Li // J. Mater. Chem. A. 2013. V. 1. P. 11184.
- Gopakumar T.G., Page D.J.Y.S. // Polym. Eng Sci. 2004. V. 44. P. 1162.
- Jun Y.-S., Um J.G., Jiang G., Yu A. // Polym. Lett. 2018. V. 12. № 10. P. 885.
- Капачаускене Я.П., Юревичене Р.П., Шляпников Ю.А. // Кинетика и катализ. 1967. Т. 8. № 1. С. 212.
- Verdejo R., Bernal M.M., Romasanta L.J., Lopez’Man’chado M.A. // J. Mater. Chem. 2011. V. 21. P. 3301.
- Шляпников Ю.А., Кирюшкин С.Г., Марьин А.П. Антиокислительная стабилизация полимеров. М.: Химия, 1988.
- He Y., Fan D., Chen J., Zhao J., Lv Y., Huang Y., Li G., Kong M. // Polym. Adv. Technol. 2022. V. 33. № 2. P. 503.
- Галимов И., Газеева Д.Р., Булгаков Р.Г. // Изв. РАН. Сер. хим. 2011. № 10. С. 2070.
- Watts P., Fearon P., Hsu W., Billingham N., Kroto H., Walton D. // J. Mater. Chem. 2003. V. 13. P. 491.
- Zeinalov E.B., Kosmehl G. // Polym. Degrad. Stab. 2001. V. 71. P. 197.
- Yang J., Huang Y., Lu Y., Li S., Yang Q., Li G. // Carbon. 2015. V. 89. P. 340.
- Nedorezova P.M., Shevchenko V.G., Shchegolikhin A.N., Tsvetkova V.I., Korolev Yu.M. // Polymer Science A. 2004. V. 46. № 3. P. 242.
- Koval’chuk A.A., Shchegolikhin A.N., Shevchenko V.G., Nedorezova P.M., Klyamkina A.N., Aladyshev A.M. // Macromolecules. 2008. V. 41. № 9. P. 3149.
- Kostandov L.A., Enikolopov N.S., Dyachkovsky F.S. // Pat. 4241112 USA. 1980.
- Дьячковский Ф.С., Новокшонова Л.А. // Успехи химии. 1984. Т. 53. № 2. С. 200.
- Монахова Т.В., Недорезова П.М., Богаевская Т.А., Цветкова В.И., Шляпников Ю.А. // Высокомолек. соед. А. 1988. Т. 30. № 11. С. 2415.
- Pol’shchikov S.V., Nedorezova P.M., Klyamkina A.N., Krashenninikov V.G., Aladyshev A.M., Shchegolikhin A.N., Shevchenko V.G., Sinevich E.A., Monakhova T.V., Muradyan V.E. // Nanotechnol. Russia. 2013. V. 8. № 1–2. P. 8027.
- Polschikov S.V., Nedorezova P.M., Monakhova T.V., Klyamkina A.N., Shchegolikhin A.N., Krasheninnikov V.G., Muradyan V.E., Popov A.A., Margolin A.L. // Polymer Science B. 2013. V. 55. № 5–6. P. 286.
- Monakhova T.V., Nedorezova P.M., Pol’shchikov S.V., Popov A.A., Margolin A.L. // Russ. J. Phys. Chem. B. 2014. V. 8. № 6. P. 874.
- Achaby M.E., Arrakhiz F.-E., Vaudreuil S., Qaiss A.K., Bousmina M., Fassi-Fehri O. // Polym. Compos. 2012. P. 733.
- Margolin A.L., Monakhova T.V., Nedorezova P.M., Klyamkina A.N., Polschikov S.V. // Polym. Degradat. Stab. 2018. V. 156. P. 59.
- Spaleck W., Kuber F., Winter A., Rohrmann J., Bochmann B., Antberg M., Dolle V., Paulus E.F. // Organometallics. 1994. V. 13. P. 954.
- Kaminsky W., Funck A. // Macromolecules. 2007. № 260. P. 1.
- Alexandre M., Martin E., Dubois P., Mart M.G., Jerome R. // Chem. Mater. 2001. V. 13. № 2. P. 236.
- Kaminsky W. // Front. Chem. Sci. Eng. 2018. V. 12. № 3. P. 555.
- Palaznik O.M., Nedorezova P.M., Shevchenko V.G., Krasheninnikov V.G., Monakhova T.V., Arbuzov A.A. // Polymer Science B. 2021. V. 63. № 2. P. 161.
- Мартынов М.А., Валегжанина К.А. // Высокомолек. соед. 1966. Т. 8. № 3. С. 376.
- Shibryaeva L.S., Shatalova O.V., Krivandin A.V., Petrov O.B., Korzh N.N., Popov A.A.// Polymer Science A. 2003. V. 45. № 3. P. 244.
- Emanuel N.M., Buchachenko A.L. Chemical Physics of Polymer Degradation and Stabilization. Utrecht, The Netherland: VNU Science Press, 1987.
- Shibryaeva L.S., Rishina L.A., Shatalova O.V., Krivandin A.V. // Polymer Science B. 2011. V. 53. № 11–12. P. 618.
Дополнительные файлы












