Polymer Electrolytes Based on Polybenzimidazole, Poly(Vinylidene Fluoride-co-Hexafluoropropylene), and Ionic Liquids
- Authors: Safonova L.P.1, Shmukler L.E.1
-
Affiliations:
- Krestov Institute of Solutions Chemistry, Russian Academy of Sciences
- Issue: Vol 65, No 4 (2023)
- Pages: 249-274
- Section: ПОЛИЭЛЕКТРОЛИТЫ
- URL: https://journals.rcsi.science/2308-1120/article/view/135311
- DOI: https://doi.org/10.31857/S2308112023700566
- EDN: https://elibrary.ru/VDZUKH
- ID: 135311
Cite item
Full Text
Abstract
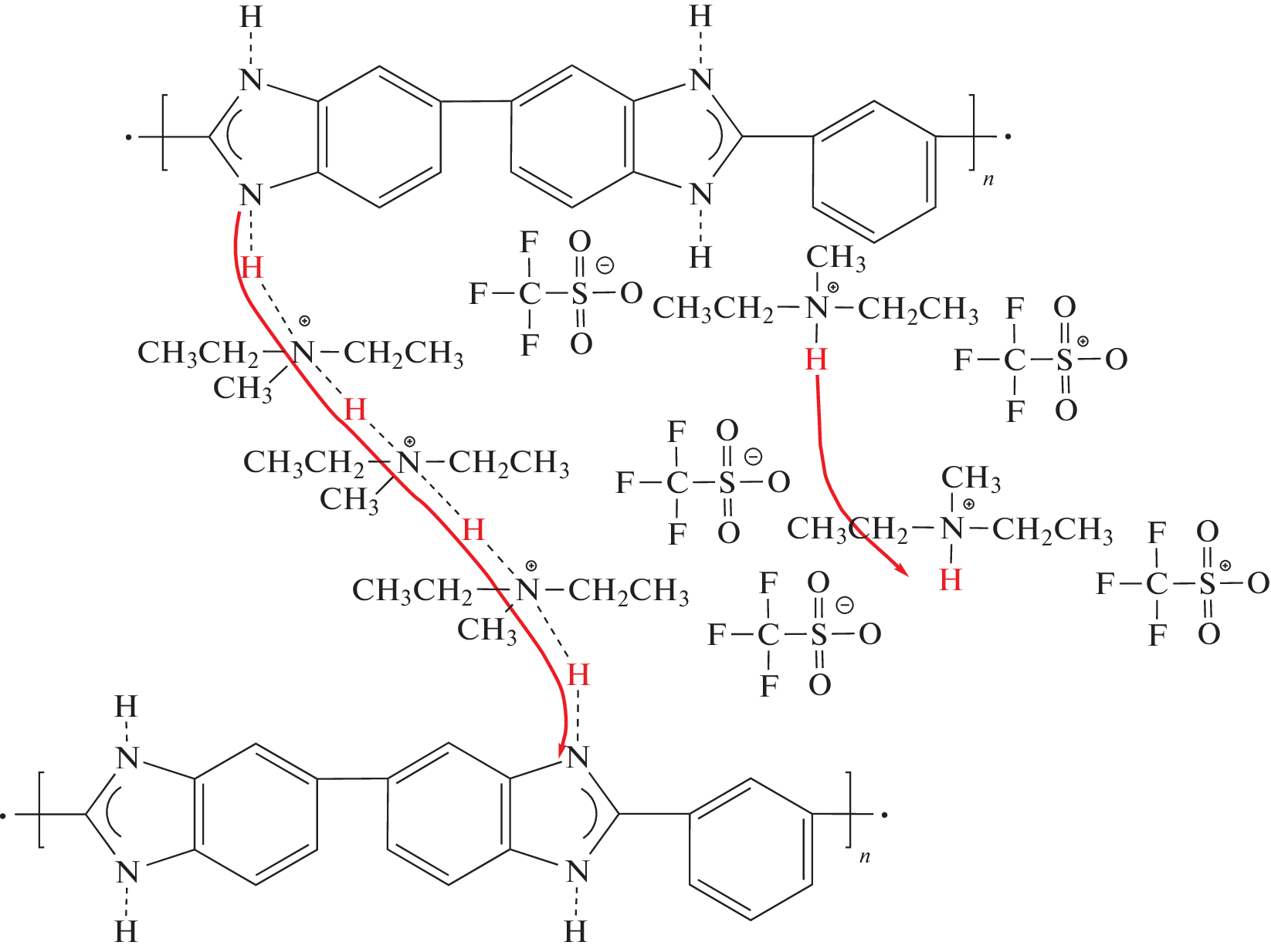
Ionic liquids, salts with melting temperature below 100°C, have continuously attracted research interest. Introduction of ionic liquids in a polymer matrix affords polymer electrolytes exhibiting extremely high electroconductivity and electrochemical stability, membranes on their basis possessing good mechanical properties. Diversity of the polymers/copolymers suitable as the matrix as well as practically unlimited variety of ionic liquids (obtained via variation of the anion-cation composition and additional modification of the ions chemical structure) have afforded the polymer electrolytes with a wide range of the physico-chemical properties. In this study, the attention has been primarily focused on the results published over the recent decades and related to investigation of electrolytes for electrochemical devices, in which the membranes based on polybenzimidazole (meta-PBI), the poly(vinylidene fluoride-со-hexafluoropropylene) (PVdF-HFP) copolymer, and ammonium or imidazolium ionic liquids have been used. Various types of polymer electrolytes differing in the composition and the application range have been considered in this study: polymer + ionic liquid, polymer + ionic liquid + acid, and polymer + ionic liquid + lithium/sodium salt. Moreover, the influence of the fillers, introduced in the above-said polymer electrolytes to improve the properties and resolve the issue of the ionic liquid retention in the membrane, has been discussed. This report presents vast data sets (tables) on the electroconductivity and thermal stability of more than 100 polymer electrolytes, which are demanded by the broad journal audience.
About the authors
L. P. Safonova
Krestov Institute of Solutions Chemistry, Russian Academy of Sciences
Email: les@isc-ras.ru
153045, Ivanovo, Russia
L. E. Shmukler
Krestov Institute of Solutions Chemistry, Russian Academy of Sciences
Author for correspondence.
Email: les@isc-ras.ru
153045, Ivanovo, Russia
References
- Terasawa N., Asaka K. // Mater. Today: Proc. 2020. V. 20. P. 265.
- Natha A.K., Talukdar R. // Int. J. Polym. Anal. Charact. 2020. V. 25. № 8. P. 597.
- Lan J., Li Y., Yan B., Yin C., Ran R., Shi L.-Y. // ACS Appl. Mater. Interfaces. 2020. V. 12. P. 37597.
- Ullah Z., Khan A.S., Muhammad N., Ullah R., Alqahtani A.S., Sha S.N., Ghanem O.B., Bustam M.A., Man Z. // J. Mol. Liq. 2018. V. 266. P. 673.
- Singhal S., Agarwal S., Singh M., Rana S., Arora S., Singhal N. // J. Mol. Liq. 2019. V. 285. P. 299.
- Черникова Е.А., Глухов Л.М., Красовский В.Г., Кустов Л.М., Воробьева М.Г., Коротеев А.А. // Успехи химии. 2015. Т. 84. С. 875.
- Fabre E., Murshed S.M.S. // J. Mater. Chem. A. 2021. V. 9. P. 15861.
- Alashkar A., Al-Othman A., Tawalbeh M., Qasim M. // Membranes. 2022. V. 12. № 2. P. 178.
- Liu C., Chen B., Shi W., Huang W., Qian H. // Mol. Pharmaceutics. 2022. V. 19. № 4. P. 1033.
- Sun L., Zhuo K., Chen Y., Du Q., Zhang S., Wang J. // Adv. Funct. Mater. 2022. V. 32. № 27. P. 2203611.
- Zhuang W., Hachem K., Bokov D., Ansari M.J., Nakhjiri A.T. // J. Mol. Liq. 2022. V. 349. P. 118145.
- Kaur G., Kumar H., Singla M. // J. Mol. Liq. 2022. V. 351. P. 118556.
- Jiang W., Li X., Gao G., Wu F., Luo C., Zhang L. // Chem. Eng. J. 2022. V. 445. P. 136767.
- Yudaev P.A., Chistyakov E.M. // Chem. Eng. 2022. V. 6. № 1. P. 6.
- Singh S.K., Savoy A.W. // J. Mol. Liq. 2020. V. 297. P. 112038.
- Lebedeva O., Kultin D., Kustov L. // Nanomaterials. 2021. V. 11. № 12. P. 3270.
- Dhameliya T.M., Nagar P.R., Bhakhar K.A., Jivani H.R., Shah B.J., Patel K.M., Patel V.S., Soni A.H., Joshi L.P., Gajjar N.D. // J. Mol.
- Karimi B., Tavakolian M., Akbari M., Mansouri F. // ChemCatChem. 2018. V. 10. № 15. P. 3173.
- Richter J., Ruck M. // Molecules. 2020. V. 25. № 1. P. 78.
- Noroozi-Shad N., Gholizadeh M., Sabet-Sarvestani H. // J. Mol. Struct. 2022. V. 1257. P. 132628.
- Ponkratov D.O., Shaplov A.S., Vygodskii Y.S. // Polymer Science C. 2019. V. 61. № 1. P. 2.
- Asrami M.R., Tran N.N., Nigam K.D.P., Hessel V. // Sep. Purif. Technol. 2021. V. 262. P. 118289.
- Yan W.-W., Wei X.-Y., Wang M.-X., Zong Z.-M. // Ind. Eng. Chem. Res. 2022. V. 61. № 13. P. 4481.
- Quijada-Maldonado E., Romero J. // Curr. Opin. Green Sustainable Chem. 2021. V. 27. P. 100428.
- Kazmi B., Taqvi S.A.A., Ali S.I. // ChemBioEng Rev. 2022. V. 9. № 2. P. 190.
- Guo J., Tucker Z.D., Wang Y., Ashfeld B.L., Luo T. // Nat. Commun. 2021. V. 12. P. 437.
- Xu C., Yang G., Wu D., Yao M., Xing C., Zhang J., Zhang H., Li F., Feng Y., Qi S., Zhuo M., Ma J. // Chem. Asian. J. 2021. V. 16. P. 549.
- Osada I., de Vries H., Scrosati B., Passerini S. // Angew. Chem. Int. Ed. 2016. V. 55. P. 500.
- Sultana S., Ahmed K., Jiwanti P.K., Wardhana B.Y., Shiblee MD N.I. // Gels. 2022. V. 8. № 1. P. 2.
- Elwan H.A., Thimmappa R., Mamlouk M., Scott K. // J. Power Sources. 2021. V. 510. P. 230371.
- Yin L., Li S., Liu X., Yan T. // Sci. China Mater. 2019. V. 62. № 11. P. 1537.
- Eshetu G.G., Mecerreyes D., Forsyth M., Zhang H. Armand M. // Mol. Syst. Des. Eng. 2019. V. 4. P. 294.
- Ray A., Saruhan B. // Materials. 2021. V. 14. P. 2942.
- Shaplov A.S., Ponkratov D.O., Vlasov P.S., Lozin-skaya E.I., Malyshkina I.A., Vidal F., Aubert P.-H., Armand M., Vygodskii Y.S. // Polymer Science B. 2014. V. 56. № 2. P. 164.
- Egorova K.S., Ananikov V.P. // J. Mol. Liq. 2018. V. 272. P. 271.
- Dinis T.B.V., e Silva F.A., Sousa F., Freire M.G. // Materials. 2021. V. 14. № 21. P. 6231.
- Gandhewar N., Shende P. // Ionics. 2021. V. 27. P. 3715.
- Curreri A.M., Mitragotri S., Tanner E.E.L. // Adv. Sci. 2021. V. 8. P. 2004819.
- Hayes R., Warr G.G., Atkin R. // Chem. Rev. 2015. V. 115. P. 6357.
- Hunt P.A., Ashworth C.R., Matthews R.P. // Chem. Soc. Rev. 2015. V. 44. P. 1257.
- Abe H. // J. Mol. Liq. 2021. V. 332. P. 115189.
- Nordness O., Brennecke J.F. // Chem. Rev. 2020. V. 120. P. 12873.
- Shmukler L.E., Fedorova I.V., Fadeeva Yu.A., Safo-nova L.P. // J. Mol. Liq. 2021. V. 321. P. 114350.
- Fabre E., Murshed S.M.S. // J. Mater. Chem. A. 2021. V. 9. P. 15861.
- Buettner C.S., Cognigni A., Schröder C., Bica-Schröder K. // J. Mol. Liq. 2022. V. 347. P. 118160.
- Shaplov A.S., Ponkratov D.O., Vygodskii Y.S. // Polymer Science B. 2016. V. 58. № 2. P. 73.
- Kazakov A., Magee J.W., Chirico R.D., Paulechka E., Diky V., Muzny C.D., Kroenlein K., Frenkel M. “NIST Standard Reference Database 147: NIST Ionic Liquids Database – (ILThermo)”, Version 2.0, National Institute of Standards and Technology, Gaithersburg MD, 20899.
- Zhang S., Lu X., Zhou Q., Li X., Zhang X., Li S. // Ionic Liquids: Physicochemical Properties. Elsevier, 2009.
- Bocharova V., Sokolov A.P. // Macromolecules. 2020. V. 53. № 11. P. 4141.
- Yue K., Zhai C., Gu S., Yeo J., Zhou G. // Electrochim. Acta. 2022. V. 401. P. 139527.
- Atik J., Thienenkamp J.H., Brunklaus G., Winter M., Paillard E. // Electrochim. Acta. 2021. V. 398. P. 139333.
- Yang Y., Wu Q., Wang D., Ma C., Chen Z., Su Q., Zhu C., Li C. // J. Membr. Sci. 2020. V. 612. P. 118424.
- Musa M.T., Shaari N., Kamarudin S.K. // Int. J. Energy Res. 2021. V. 45. P. 1309.
- Khatmullina K.G., Baimuratova G.R., Lesnichaya V.A., Shuvalova N.I., Yarmolenko O.V. // Polymer Science A. 2018. V. 60. № 2. P. 222.
- Ahmad S., Nawaz T., Ali A., Orhan M.F., Samreen A., Kannan A.M. // Int. J. Hydrogen Energy. 2022. V. 47. P. 19086.
- Guo Z., Chen J., Byun J.J., Perez-Page M., Ji Z., Zhao Z., Holmes S.M. // J. Membr. Sci. 2022. V. 641. P. 119868.
- Kim J., Kim K, Ko T., Han J., Lee J.-C. // Int. J. Hydrogen Energy. 2021. V. 46. P. 12254.
- Kumar S., Manikandan V.S., Palai A.K., Mohanty S., Nayak S.K. // Solid State Ionics. 2019. V. 332. P. 10.
- Vinoth S., Kanimozhi G., Hari Prasad K., Harish Kumar, Srinadhu E.S., Satyanarayana N. // Polym. Compos. 2019. V. 40. P. 1585.
- Jamil R., Silvester D.S. // Curr. Opin. Electrochem. 2022. V. 35. P. 101046.
- Shalu, Singh R.K., Dhar R. // Int. J. Energy Res. 2021. V. 45. P. 15646.
- Ebrahimi M., Kujawski W., Fatyeyeva K., Kujawa J. // Int. J. Mol. Sci. 2021. V. 22. P. 5430.
- Shaari N., Ahmad N.N.R., Bahru R., Leo C.P. // Int. J. Energy Res. 2022. V. 46. P. 2166.
- Rathnayake R.M.L.L., Perera K.S., Vidanapathirana K.P. // AIMS Energy. 2020. V. 8. № 2. P. 231.
- Sharma J.P., Bharti V. // IOP Conf. Ser.: Mater. Sci. Eng. 2020. V. 961. P. 012005.
- Yang G., Song Y., Wang Q., Zhang L., Deng L. // Mater. Des. 2020. V. 190. P. 108563.
- Khoo K.S., Chia W.Y., Wang K., Chang C.-K., Leong H.Y., Maaris M.N.B., Show P.L. // Sci. Total Environ. 2021. V. 793. P. 148705.
- Escorihuela J., Olvera-Mancilla J., Alexandrova L., del Castillo L.F., Vicente Compañ V. // Polymers. 2020. V. 12. P. 1861.
- Wong C.Y., Wong W.Y., Loh K.S., Lim K.L. // React. Funct. Polym. 2022. V. 171. P. 105160.
- Seng L.K., Masdar M.S., Shyuan L.K. // Membranes. 2021. V. 11. P. 728.
- Elwan H.A., Mamlouk M., Scott K. // J. Power Sources. 2021. V. 484. P. 229197.
- Bakonyi P., Koók L., Rózsenberszki T., Tóth G., Bélafi-Bakó K., Nemestóthy N. // Membranes. 2020. V. 10. P. 16.
- Vázquez-Fernández I., Raghibi M., Bouzina A., Timperman L., Bigarré J., Anouti M. // J. Energy Chem. 2021. V. 53. P. 197.
- Vázquez-Fernández I., Bouzina A., Raghibi M., Timperman L., Bigarré J., Anouti M. // J. Mater. Sci. 2020. V. 55. P. 16697.
- Mondal S., Papiya F., Ash S.N., Kundu P.P. // J. Environ. Chem. Eng. 2021. V. 9. P. 104945.
- Kumar S.R., Wang J.-J., Wu Y.-S., Yang C.-C., Lue S.J. // J. Power Sources. 2020. V. 445. P. 227293.
- Hou C., Zhang X., Li Y., Zhou G., Wang J. // J. Membr. Sci. 2018. V. 550. P. 136.
- Kumar P., Bharti R.P. // J. Electrochem. Soc. 2019. V. 166. № 15. P. F1190.
- Karuppasamy K, Theerthagiri J., Vikraman D, Yim C.-J., Hussain S., Sharma R., Maiyalagan T., Qin J., Kim H.-S. // Polymers. 2020. V. 12. P. 918.
- Josef E., Yan Y., Stan M.C., Wellmann J., Vizintin A., Winter M., Johansson P., Dominko R., Guterman R. // Isr. J. Chem. 2019. V. 59. P. 832.
- Tang X., Lv S., Jiang K., Zhou G., Liu X. // J. Power Sources. 2022. V. 542. P. 231792.
- Park M.J., Choi I., Hong J., Kim O. // J. Appl. Polym. Sci. 2013. V. 129. P. 2363.
- Ye W., Wang H., Ning J., Zhong Y., Hu Y. // J. Energy Chem. 2021. V. 57. P. 219.
- Ye Y.-S., Rick J., Hwang B. // J. Mater. Chem. A. 2013. V. 1. P. 2719.
- Lin J., Willbold S., Zinkevich T., Indris S., Korte C. // J. Mol. Liq. 2021. V. 342. P. 116964.
- Niu B., Luo S., Lu C., Yi W., Liang J., Guo S., Wang D., Zeng F., Duan S., Liu Y., Zhang L., Xu B. // Solid State Ionics. 2021. V. 361. P. 115569.
- Liu S., Zhou L., Wang P., Zhang F., Yu S., Shao Z., Yi B. // ACS Appl. Mater. Interfaces. 2014. V. 6. P. 3195.
- Skorikova G., Rauber D., Aili D., Martin S., Li Q., Henkensmeier D., Hempelmann R. // J. Membr. Sci. 2020. V. 608. P. 118188.
- Mamlouk M., Ocon P., Scott K. // J. Power Sources. 2014. V. 245. P. 915.
- Lin J., Korte C. // Fuel Cells. 2020. V. 20. № 4. P. 461.
- Fadeeva Yu.A., Kuzmin S.M., Shmukler L.E., Safonova L.P. // Russ. Chem. Bull. 2021. V. 70. № 1. P. 56.
- Compañ V., Escorihuela J., Olvera J., García-Bernabe A., Andrio A. // Electrochim. Acta. 2020. V. 354. P. 136666.
- Wang J.T.-W., Hsu S.L.-C. // Electrochim. Acta. 2011. V. 56. P. 2842.
- Van de Ven E., Chairuna A., Merle G., Benito S.P., Borneman Z., Nijmeijer K. // J. Power Sources. 2013. V. 222. P. 202.
- Eguizabal A., Lemus J., Roda V., Urbiztondo M., Barreras F., Pina M.P. // Int. J. Hydrog. Energy. 2012. V. 37. P. 7221.
- Trindade L.G., Zanchet L., Martins P.C., Borba K.M.N., Santos R.D.M., Paiva R.S., Vermeersch L.A.F., Ticianelli E.A., Souza M.O., Martini E.M.A. // Polymer. 2019. V. 179. P. 121723.
- Schauer J., Sikora A., Plíšková M., Mališ J., Mazúrb P., Paidar M., Bouzek K. // J. Membr. Sci. 2011. V. 367. P. 332.
- Rajabi Z., Javanbakht M., Hooshyari K., Badieid A., Adibi M. // New J. Chem. 2020. V. 44. P. 5001.
- Mao T., Wang S., Wang X., Liu F., Li J., Chen H., Wang D., Liu G., Xu J., Wang Z. // ACS Appl. Mater. Interfaces 2019. V. 11. P. 17742.
- Escorihuela J., García-Bernabé A., Montero Á., Sahuquillo Ó., Giménez E., Compañ V. // Polymers. 2019. V. 11. P. 732.
- Wang X., Wang S., Liu C., Li J., Liu F., Tian X., Chen H., Mao T., Xu J., Wang Z. // Electrochim. Acta. 2018. V. 283. P. 691.
- Xu C., Liu X., Cheng J., Scott K. // J. Power Sources. 2015. V. 274. P. 922.
- Eguizábal A., Lemus J., Pina M.P. // J. Power Sources. 2013. V. 222. P. 483.
- Xiao T., Wang R., Chang Z., Fang Z., Zhu Z., Xu C. // Prog. Nat. Sci.: Mater. Int. 2020. V. 30. P. 743.
- Aili D., Henkensmeier D., Martin S., Singh B., Hu Y., Jensen J.O., Cleemann L.N., Li Q. // Electrochem. Energy Rev. 2020. V. 3. P. 793.
- Araya S.S., Zhou F., Liso V., Sahlin S.L., Vang J.R., Thomas S., Gao X., Jeppesen C., Kær S.K. // Int. J. Hydrogen Energy. 2016. V. 41. P. 21310.
- Quartarone E., Mustarelli P. // Energy Environ. Sci. 2012. V. 5. P. 6436.
- Li J., Li X., Yu S., Hao J., Lu W., Shao Z., Yi B. // Energy Convers. Manage. 2014. V. 85. P. 323.
- Perry K.A., More K.L., Payzant E.A., Meisner R.A., Sumpter B.G., Benicewicz B.C. // J. Polym. Sci., Polym. Phys. 2014. V. 52. P. 26.
- Maiti T.K., Singh J., Majhi J., Ahuja A., Maiti S., Dixit P., Bhushan S., Bandyopadhyay A., Chattopadhyay S. // Polymer. 2022. V. 255. P. 125151.
- Qu E., Hao X., Xiao M., Han D., Huang S., Huang Z., Wang S., Meng Y. // J. Power Sources. 2022. V. 533. P. 231386.
- Haque M.A., Sulong A.B., Loh K.S., Majlan E.H., Husaini T., Rosli R.E. // Int. J. Hydrogen Energy. 2017. V. 42. P. 9156.
- Subianto S. // Polym. Int. 2014. V. 63. P. 1134.
- Leikin A.Y., Bulycheva E.G., Rusanov A.L., Likhachev D.Yu. // Polymer Science B. 2006. V. 48. № 5–6. P. 144.
- Yang J.S., Cleemann L.N., Steenberg T., Terkelsen C., Li Q.F., Jensen J.O., Hjuler H.A., Bjerrum N.J., He R.H. // Fuel Cells. 2014. V. 14. P. 7.
- Hooshyari K., Javanbakht M., Adibi M. // Int. J. Hydrogen Energy. 2016. V. 42. P. 10870.
- Hooshyari K., Javanbakht M., Adibi M. // Electrochim. Acta. 2016. V. 205. P. 142.
- Dobrovolsky Y.A., Chikin A.I., Sanginov E.A., Chub A.V. // Altern. Energy Ecol. (ISJAEE). 2015. V. 168. P. 22.
- Das S., Ghosh A. // J. Appl. Polym. Sci. 2020. V. 137. № 22. P. 48757.
- Shi M., Yang C., Yan C., Jiang J., Liu Y., Sun Z., Shi W., Jian G., Guo Z., Ahn J.-H. // NPG Asia Mater. 2019. V. 11. P. 61.
- Zhou F., Huang H., Xiao C., Zheng S., Shi X., Qin J., Fu Q., Bao X., Feng X., Müllen K., Wu Z.-S. // J. Am. Chem. Soc. 2018. V. 140. P. 8198.
- Pandey G.P., Liu T., Hancock C., Li Y., Sun X.S., Li J. // J. Power Sources. 2016. V. 328. P. 510.
- Hor A.A., Yadav N., Hashmi S.A. // J. Energy Storage. 2022. V. 47. P. 103608.
- Zhang X., Kar M., Mendes T.C., Wu Y., MacFarlane D.R. // Adv. Energy Mater. 2018. V. 8. P. 1702702.
- Redda H.G., Nikodimos Y., Su W.-N., Chen R.-S., Jiang S.-K., Abrha L.H., Hagosb T.M., Bezabh H.K., Weldeyohannes H.H., Hwang B.J. // Mater. Today Commun. 2021. V. 26. P. 102102.
- Yang X., Zhang F., Zhang L., Zhang T., Huang Y., Chen Y. // Adv. Funct. Mater. 2013. V. 23. P. 3353.
- Guan J., Li Y., Li J. // Ind. Eng. Chem. Res. 2017. V. 56. P. 12456.
- Shi M.-J., Kou S.-Z., Shen B.-S., Lang J.-W., Yang Z., Yan X.-B. // Chin. Chem. Lett. 2014. V. 25. P. 859.
- Kumar S., Singh P.K., Agarwal D., Dhapola P.S., Sharma T., Savilov S.V., Arkhipova E.A., Singh M.K., Singh A. // Phys. Status Solidi A. 2022. V. 219. № 7. P. 2100711.
- Kumar D., Kanchan D.K. // J. Energy Storage. 2019. V. 22. P. 44.
- Mališ J., Mazúr P., Schauer J., Paidar M., Bouzek K. // Int. J. Hydrogen Energy. 2013. V. 38. P. 4697.
- Pandey G.P., Hashmi S.A. // J. Mater. Chem. A. 2013. V. 1. P. 3372.
- Shalu, Singh V.K., Singh R.K. // J. Mater. Chem. C. 2015. V. 3. P. 7305.
- Fan L.-Q., Tu Q.-M., Geng C.-L., Wang Y.-L., Sun S.-J., Huang Y.-F., Wu J.-H. // Int. J. Hydrogen Energy. 2020. V. 45. P. 17131.
- Serra J.P., Pinto R.S., Barbosa J.C., Correia D.M., Gonçalves R., Silva M.M., Lanceros-Mendez S., Costa C.M. // Sustainable Mater. Technol. 2020. V. 25. P. e00176.
- Tripathi M., Bobade S.M., Gupta M., Kumar Y. // Macromol. Symp. 2019. V. 388. P. 1900029.
- Mishra K., Hashmi S.A., Rai D.K. // J. Solid State Electrochem. 2014. V. 18. P. 2255.
- Tripathi M., Tripathi S.K. // Ionics. 2017. V. 23. P. 2735.
- Shalu, Chaurasia S.K., Singh R.K., Chandra S. // J. Phys. Chem. B. 2013. V. 117. P. 897.
- Gupta A., Jain A., Tripathi S.K. // J. Energy Storage. 2020. V. 32. P. 101723.
- Siyahjani S., Oner S., Diker H., Gultekin B., Varlikli C. // J. Power Sources. 2020. V. 467. P. 228353.
- Shmukler L.E., Glushenkova E.V., Fadeeva Yu.A., Gruzdev M.S., Kudryakova N.O., Safonova L.P. // J. Mol. Liq. 2019. V. 283. P. 338.
- Terasawa N. // Diamond Relat. Mater. 2019. V. 95. P. 77.
- Nair M.G., Mohapatra S.R., Garda M.-R., Patanair B., Saiter-Fourcin A., Thomas S. // Mater. Res. Express. 2020. V. 7. P. 064005.
- Nair M.G., Mohapatra S.R. // Mater. Lett. 2019. V. 251. P. 148.
- Harshlata, Mishra K., Rai D.K. // Mater. Sci. Eng. B. 2021. V. 267. P. 115098.
- Vo D.T., Do H.N., Nguyen T.T., Nguyen T.T.H., Tran V.M., Okada S., Le M.L.P. // Mater. Sci. Eng., B. 2019. V. 241. P. 27.
- Mishra R., Singh S.K., Gupta H., Tiwari R.K., Meghnani D., Patel A., Tiwari A., Tiwari V.K., Singh R.K. // Energy Fuels. 2021. V. 35. P. 15153.
- Syali M.S., Mishra K., Kanchan D.K., Kumar D. // J. Mol. Liq. 2021. V. 341. P. 116922.
- Manfo A.T., Singh P.K., Mehra R.M., Singh R.C., Gupta M. // Recent Innovations Chem. Eng. 2021. V. 14. P. 21.
- Xu P., Chen H., Zhou X., Xiang H. // J. Membr. Sci. 2021. V. 617. P. 118660.
- Chen T., Kong W., Zhang Z., Wanga L., Hu Y., Zhu G., Chen R., Ma L., Yan W., Wang Y., Liu J., Jin Z. // Nano Energy. 2018. V. 54. P. 17.
- Guo Q., Han Y., Wang H., Xiong S., Liu S., Zheng C., Xie K. // Solid State Ionics 2018. V. 321. P. 48.
- Singh S.K., Gupta H., Balo L., Shalu, Singh V.K., Tripathi A.K., Verma Y.L., Singh R.K. // Ionics. 2018. V. 24. P. 1895.
- Shalu-Kataria, Balo L., Gupta H., Singh V.K., Singh S.K., Tripathi A.K., Verma Y.L., Singh R.K. // ECS Trans. 2016. V. 73. № 1. P. 183.
- Shalu, Balo L., Gupta H., Singh V.K., Singh R.K. // RSC Adv. 2016. V. 6. P. 73028.
- Hofmann A., Schulz M., Hanemann T. // Electrochim. Acta. 2013. V. 89. P. 823.
- Bai J., Lu H., Cao Y., Li X., Wang J. // RSC Adv. 2017. V. 7. P. 30603.
- Yang P.X., Cui W.Y., Li L.B., Liu L., An M.Z. // Solid State Sci. 2012. V. 14. P. 598.
- Kataria S., Verma Y.L., Gupta H., Singh S.K., Srivastava N., Dhar R., Singh R.K. // Polym.-Plast. Technol. Mater. 2020. V. 59. № 9. P. 952.
- Yao M., Liu A., Xing C., Li B., Pan S., Zhang J., Su P., Zhang H. // Chem. Eng. J. 2020. V. 394. P. 124883.
- Huang T., Long M.-C., Wu G., Wang Y.-Z., Wang X.-L. // ChemElectroChem. 2019. V. 6. P. 3674.
- Huang T., Long M.-C., Wang X.-L., Wu G., Wang Y.-Z. // Chem. Eng. J. 2019. V. 375. P. 122062.
- Zalewska A., Dumińska J., Langwald N., Syzdek J., Zawadzki M. // Electrochim. Acta. 2014. V. 121. P. 337.
- Huang K., Wang Y., Mi H., Ma D., Yong B., Zhang P. // J. Mater. Chem. A. 2020. V. 8. P. 20593.
- Hu Z., Chen J., Guo Y., Zhu J., Qu X., Niu W., Liu X. // J. Membr. Sci. 2020. V. 599. P. 117827.
- Guo Q., Han Y., Wang H., Hong X., Zheng C., Liu S., Xie K. // RSC Adv. 2016. V. 6. P. 101638.
- Tang J., Muchakayala R., Song S., Wang M., Kumar K.N. // Polym. Test. 2016. V. 50. P. 247.
- Shalu, Chaurasia S.K., Singh R.K., Chandra S. // J. Appl. Polym. Sci. 2015. V. 132. P. 41456.
- Khurana S., Chandra A. // Solid State Ionics. 2019. V. 340. P. 115027.
- Kumar Y., Pandey G.P., Hashmi S.A. // J. Phys. Chem. C. 2012. V. 116. P. 26118.
- Karuppasamy K., Anil Reddy P., Srinivas G., Sharma R., Tewari A., Kumar G.H., Gupta D. // J. Solid State Electrochem. 2017. V. 21. P. 1145.
- Karuppasamy K., Reddy P.A., Srinivas G., Tewari A., Sharma R., Shajan X.S., Gupta D. // J. Membr. Sci. 2016. V. 514. P. 350.
- Li Q., Ardebili H. // J. Power Sources. 2016. V. 303. P. 17.
- Liu L., Wang X., Yang C., Han P., Zhang L., Gao L., Wu Z, Liu B., Liu R. // Acta Metall. Sin. (Engl. Lett.) 2021. V. 34. P. 417.
- Baskakova Yu.V., Yarmolenko O.V., Efimov O.N. // Russ. Chem. Rev. 2012. V. 81. № 4. P. 367.
Supplementary files












