МОЛЕКУЛЯРНЫЕ СВОЙСТВА ПРОТОНИРОВАННЫХ ДИАЛЛИЛАММОНИЕВЫХ ПОЛИМЕРОВ, СИНТЕЗИРОВАННЫХ ПОЛИМЕРИЗАЦИЕЙ С ОБРАТИМОЙ ПЕРЕДАЧЕЙ ЦЕПИ
- Авторы: Евлампиева Н.П.1, Везо О.С.1, Слюсаренко М.А.1, Губарев А.С.1, Симонова Ю.А.2, Еременко И.В.2, Топчий М.А.2, Тимофеева Л.М.2
-
Учреждения:
- Санкт-Петербургский государственный университет
- Институт нефтехимического синтеза им. А.В. Топчиева Российской академии наук
- Выпуск: Том 65, № 4 (2023)
- Страницы: 239-248
- Раздел: РАСТВОРЫ
- URL: https://journals.rcsi.science/2308-1120/article/view/135309
- DOI: https://doi.org/10.31857/S2308112023700554
- EDN: https://elibrary.ru/PYRPZN
- ID: 135309
Цитировать
Полный текст
Аннотация
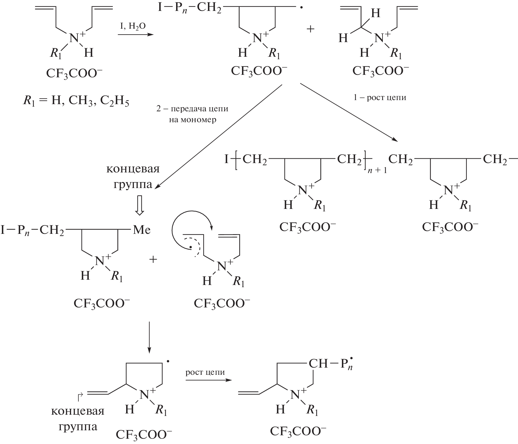
Протонированные диаллиламмониевые полимеры занимают особое место среди катионных полиэлектролитов благодаря ряду свойств, в том числе таких, как высокая антимикробная активность, включающая активность против микобактерий туберкулеза. Для их практического применения требуются хорошо охарактеризованные образцы полимеров. В данной работе протонированные вторичные полидиаллиламины на основе диаллиламмоний трифторацетата синтезированы радикальной полимеризацией с обратимой передачей цепи по механизму присоединения–фрагментации в присутствии 2-[(этоксикарбонотиоил)сульфанил]уксусной кислоты. Методом ЯМР-спектроскопии установлено, что макромолекулы содержат дитиокарбонильную концевую группу, которая улучшает растворимость полимера в неводных средах, в частности в метаноле. Полученные полимеры исследованы методами гидродинамики и динамического светорассеяния, определены молекулярная масса и гидродинамические параметры макромолекул. Их сравнение с полимерами того же ряда, синтезированными классической радикальной полимеризацией и несущими винильную концевую группу, показало независимость их гидродинамических свойств в 1.0 моль/л NaCl от метода синтеза и структуры концевых групп при М > 8 × 103, позволяя тем самым применить скейлинговые соотношения для диаллиламмониевых полимеров для определения молекулярной массы независимо от способа их получения.
Об авторах
Н. П. Евлампиева
Санкт-Петербургский государственный университет
Email: n.yevlampieva@spbu.ru
Россия, 199034, Санкт-Петербург, Университетская наб., 7/9
О. С. Везо
Санкт-Петербургский государственный университет
Email: timofeeva@ips.ac.ru
Россия, 199034, Санкт-Петербург, Университетская наб., 7/9
М. А. Слюсаренко
Санкт-Петербургский государственный университет
Email: timofeeva@ips.ac.ru
Россия, 199034, Санкт-Петербург, Университетская наб., 7/9
А. С. Губарев
Санкт-Петербургский государственный университет
Email: timofeeva@ips.ac.ru
Россия, 199034, Санкт-Петербург, Университетская наб., 7/9
Ю. А. Симонова
Институт нефтехимического синтеза им. А.В. Топчиева Российской академии наук
Email: timofeeva@ips.ac.ru
Россия, 119991, Москва, Ленинский пр., 29
И. В. Еременко
Институт нефтехимического синтеза им. А.В. Топчиева Российской академии наук
Email: timofeeva@ips.ac.ru
Россия, 119991, Москва, Ленинский пр., 29
М. А. Топчий
Институт нефтехимического синтеза им. А.В. Топчиева Российской академии наук
Email: timofeeva@ips.ac.ru
Россия, 119991, Москва, Ленинский пр., 29
Л. М. Тимофеева
Институт нефтехимического синтеза им. А.В. Топчиева Российской академии наук
Автор, ответственный за переписку.
Email: timofeeva@ips.ac.ru
Россия, 119991, Москва, Ленинский пр., 29
Список литературы
- Timofeeva L.M., Vasilieva Yu.A., Klescheva N.A., Gromova G.L., Timofeeva G.I., Rebrov A.I., Topchiev D.A. // Macromol. Chem. Phys. 2002. V. 203. P. 2296.
- Timofeeva L.M., Klescheva N.A., Vasilieva Yu.A., Gromova G.L., Timofeeva G.I., Filatova M.P. // Polymer Science A. 2005. V. 47. № 6. P. 551.
- Simonova Y.A., Filatova M.P., Timofeeva L.M. // Polymer Science B. 2018. V. 60. № 4. P. 445.
- Timofeeva L.M., Klescheva N.A., Moroz A.F., Didenko L.V. // Biomacromolecules. 2009. V. 10. P. 2976.
- Timofeeva L.M., Klescheva N.A., Shleeva M.O., Filatova M.P., Simonova Yu.A., Ermakov Yu.A., Kapre-lyants A.S. // Appl. Microbiol. Biotechnol. 2015. V. 99. P. 2557.
- Chiefari J., Chong Y.K., Ercole F., Krstina J., Jeffery J., Le T.P.T., Mayadunne R.T.A., Meijs G.F., Moad C.L., Moad G., Rizzard E., Thang S.H. // Macromolecules. 1998. V. 31. P. 5559.
- Handbook of RAFT Polymerization / Ed. by C. Barner-Kowollik. Weinheim: Wiley, 2008.
- Destarac M., Bzducha W., Taton D., Gauthier-Gillaizeau I., Zard S.Z. // Macromol. Rapid. Commun. 2002. V. 23. P. 1049.
- Moad G., Chong Y.K., Postma A., Rizzardo E., Thang S.H. // Polymer. 2005. V. 46. P. 8458.
- Chernikova E.V., Sivtsov E.V. // Polymer Science B. 2017. V. 59. № 2. P. 117.
- Simonova Yu.A., Topchiy M.A., Filatova M.P., Yevlam-pieva N.P., Slyusarenko M.A., Bondarenko G.N., Asachenko A.F., Nechaev M.S., Timofeeva L.M. // Eur. Polym. J. 2020. V. 122. P. 109363.
- Michl T.D., Locock K.E.S., Stevens N.E., Hayball J.D., Vasilev K., Postma A., Qu Y., Traven A., Haeussler M., Meagher L., Griesser H.J. // Polym. Chem. 2014. V. 5. P. 5813.
- Willcock H., O’Reilly R.K. // Polym. Chem. 2010. V. 1. P. 149.
- Timofeeva L., Bondarenko G., Nikitushkin V., Simonova Yu., Topchiy M., Eremenko I., Shleeva M., Mulyukin A., Kaprelyants A. // Eur. Polym. J. 2022. V. 171C. P. 111214.
- Ito H., England W.P., Lundmark S.B. // Proc. SPIE. 1992. P. 1672.
- Bencherif S.A., Srinivasan A., Sheehan J.A., Walker L.M., Gayathri Ch., Gil R., Hollinger J.O., Matyjaszewski K., Washburn N.R. // Acta Biomater. 2009. V. 5. P. 1872.
- Wandrey C., Hernández-Barajas J., Hunkeler D. // Adv. Polym. Sci. 1999. V. 145. P. 123.
- Lezov A.V., Polushina G.E., Lezov A.A., Vlasov P.S., Domnina N.S. // Polymer Science A. 2011. V. 53. № 11. P. 93.
- Yevlampieva N., Vezo O., Simonova Yu., Timofeeva L. // Int. J. Polym. Analysis Character. 2018. V. 23. P. 403.
- Powell C.R., Foster J.C., Okyere B., Theus M.H., Matson J.B. // J. Am. Chem. Soc. 2016. V. 138. P. 13477.
- Tsvetkov V.N. Rigid-Chain Polymers. New York: Plenum Press, 1989.
- Schuck P., Gillis R.B., Besong T.M.D. // Analyst. 2014. V. 139. P. 79.
- Berne B.J., Pecora R. Dynamic Light Scattering: with Applications to Chemistry, Biology, and Physics. New York: Dover Publ., 2000.
- Dynals Software: https://www.photocor.ru/dynals
- Kulicke W.-M., Clasen C. Viscosimetry of Polymers and Polyelectrolytes. Berlin; Heidelberg: Springer, 2004.
- Chu B. Laser Light Scattering. Basic Principles and Practice. New York: Acad. Press, 1991.
- Yamakawa H., Fujii M. // Macromolecules. 1973. V. 6. P. 407.
- Tsvetkov V.N., Lavrenko P.N., Bushin S.V. // J. Polym. Sci., Polym. Chem. 1984. V. 22. P. 3447.
- Pavlov G., Frenkel S. // Analytical Ultracentrifugation. Dresden: Steinkopff-Verlag Darmstadt, 1995. V. 90. P. 101.
- Grube M., Cinar G., Schubert U.S., Nischang I. // Polymers (Basel). 2020. V. 12. P. 277.
Дополнительные файлы










