Активация молекулярных путей ERK1/2 и ее связь с патогенностью злокачественных опухолей человека
- Авторы: Емельянова A.Г.1,2, Золотовская М.А.1,2, Поддубская Е.В.2, Модестов А.А.1,2, Прасолов В.С.3, Кузьмин Д.В.1, Буздин A.A.1,2,4,5
-
Учреждения:
- Московский физико-технический институт
- Первый Московский государственный медицинский университет имени И.М. Сеченова
- Институт молекулярной биологии имени В.А. Энгельгардта РАН
- Институт биоорганической химии имени академиков М.М. Шемякина и Ю.А. Овчинникова РАН
- PathoBiology Group, European Organization for Research and Treatment of Cancer (EORTC)
- Выпуск: Том 17, № 1 (2025)
- Страницы: 36-51
- Раздел: Экспериментальные статьи
- URL: https://journals.rcsi.science/2075-8251/article/view/293598
- DOI: https://doi.org/10.32607/actanaturae.27497
- ID: 293598
Цитировать
Аннотация
Митоген-активируемые протеинкиназы ERK1/2 (MAPK3/1) играют ключевую роль в регуляции клеточного роста, дифференцировки и апоптоза. Ранее мы представили данные, свидетельствующие о том, что активация путей ERK1/2 в опухолевых клетках, связанная с применением терапевтических препаратов, приводит к избыточной экспрессии рецепторов факторов роста и развитию лекарственной резистентности. Недавно нами была предложена новая биоинформатическая методика, которая позволяет конструировать молекулярные пути на основе интерактомных сетей интересующих генных продуктов, а также количественно оценивать уровни их активации, используя данные генной экспрессии. В представленной работе впервые алгоритмически сконструированы молекулярные пути ERK1/2 и на основании транскриптомных данных рассмотрена связь уровней их активации с выживаемостью и ответом на таргетные препараты на уровне панопухолей. С целью оценки выживаемости и клинического ответа пациентов на 29 схем химио- и таргетной терапии изучены профили 11287 образцов 31 типа опухолей человека и 53 набора данных, ранее опубликованных нами или взятых из других источников. Обнаружено, что активация путей ERK1/2 имеет различную прогностическую значимость в зависимости от типа опухоли. При глиобластоме, саркоме, раке легкого, почки, мочевого пузыря, желудка, толстой кишки и некоторых других типах опухолей активация путей ERK ассоциировалась с низким уровнем выживаемости. При этом она была связана с лучшей выживаемостью при раке молочной железы (типы HER2+, люминальный А и люминальный В) и тела матки. Полученные данные согласуются с результатами анализа ответа на терапию. В то же время обнаружены существенно более слабые связи с экспрессией отдельных генов – MAPK1 и MAPK3. Таким образом, уровни активации путей ERK1/2 могут рассматриваться в качестве потенциальных биомаркеров для прогнозирования клинических исходов и подбора новых персонализированных стратегий лечения, таких как применение ингибиторов МАПК.
Полный текст
СПИСОК СОКРАЩЕНИЙ
ЗНО – злокачественное новообразование; МАПК – митоген-активируемая протеинкиназа; УАМП – уровень активации молекулярного пути; ОСН – отношение «случай/норма»; РАР – роль в качестве активатора или репрессора; ОВ – общая выживаемость; ВБП – выживаемость без прогрессирования; ОР – отношение рисков.
ВВЕДЕНИЕ
Злокачественные новообразования (ЗНО) – вторая по частоте причина смертности на глобальном уровне после сердечно-сосудистых заболеваний. По данным ВОЗ, в 2020 г. зарегистрировано 19.3 млн новых случаев ЗНО и 10 млн смертей от них, что составило приблизительно 16% от общей смертности в мировом масштабе [1]. Статистика демонстрирует непрерывный рост заболеваемости ЗНО на протяжении последних двух десятилетий. Согласно прогнозам, к 2040 г. количество заболевших достигнет 28.4 млн человек, что на 47% превышает уровень 2020 г. [2]. Эти тенденции подчеркивают необходимость усиления профилактики, ранней диагностики и эффективных стратегий лечения ЗНО.
Несмотря на достижения медицины в области диагностики и лечения ЗНО, включая повышение доступности таргетной терапии, ее эффективность остается ограниченной. В ряде случаев прогрессирующие опухоли или целые виды ЗНО плохо отвечают на клинически одобренные химиотерапевтические и таргетные препараты [3]. В то же время иногда, напротив, наблюдаются случаи успешного индивидуального ответа на препараты или их комбинации, не включенные в стандартные схемы [3]. Одной из причин этого является сложность молекулярных механизмов, активных в ЗНО, что затрудняет разработку эффективных универсальных стратегий лечения. Поэтому особое внимание привлекают ключевые молекулярные пути, регулирующие основные клеточные процессы в онкогенезе. В частности, такие сигнальные каскады, как EGFR, PI3K/AKT/mTOR, RAS/RAF/MEK/ERK и JAK/STAT, играют ключевую роль в регуляции клеточного роста и деления. Однако их сложное взаимодействие и наличие параллельных сигнальных путей затрудняют разработку эффективных стратегий таргетной терапии. Кроме того, аномальная регуляция данных путей часто связана с развитием резистентности к терапии и с прогрессированием опухолевого роста [4–6].
Особый интерес представляют митоген-активируемые протеинкиназы (МАПК) ERK1 и ERK2 (кодируемые генами MAPK3 и MAPK1 соответственно), которые активируются в ответ на стимуляцию сигнального каскада RAS-RAF-MEK-ERK, играющего ключевую роль в росте и пролиферации опухолевых клеток. Этот путь тесно связан с прогрессированием и метастазированием разных типов ЗНО человека. Активирующие мутации в генах вышележащих рецепторных тирозинкиназ или в генах, кодирующих белки RAS, RAF, MEK и ERK, могут приводить к аберрантной активации ERK1/2 и в совокупности составляют наиболее частую группу мутаций в опухолевых клетках человека. Считается, что от 30 до 96% всех опухолей характеризуются гиперактивацией этого сигнального каскада [7]. Являясь нижестоящим компонентом этой сигнальной оси, ERK1/2 может гиперактивироваться из-за неконтролируемой активации генов рецепторных тирозинкиназ или приводящих к бесконтрольной активации мутаций RAS, RAF и MEK [8]. Специфические ингибиторы белков EGFR, BRAF, KRAS и MEK включены в многочисленные стандарты противоопухолевой терапии и показали свою эффективность при лечении ЗНО с онкогенными мутациями в данном каскаде. Однако опухолевые клетки часто становятся устойчивыми к таким ингибиторам, и одной из причин резистентности считается реактивация ERK под действием параллельных регуляторных процессов [8, 9].
Онкогенная активность белков ERK1/2 осуществляется посредством аномального фосфорилирования многочисленных субстратов, что приводит к нарушению регуляции различных биологических процессов, связанных с развитием опухоли. Эти процессы включают клеточную пролиферацию, дифференцировку, миграцию и ангиогенез [10]. Киназы ERK1/2 вовлечены во множество сигнальных путей, они действуют как ключевой узел активации механизмов выживания опухолевых клеток после воздействия блокаторов рецепторных тирозинкиназ и стандартной химиотерапии [9].
Таким образом, киназы ERK1/2 представляют собой потенциально перспективные мишени для повышения эффективности противоопухолевых препаратов. В этой связи перспективным может быть применение специфических ингибиторов MAПK в группах пациентов с гиперактивацией соответствующих сигнальных путей в опухолях. Одним из подходов к выявлению таких пациентов является определение уровня экспрессии этих генов. Действительно, вариабельность экспрессии генов в опухолях разных больных уже давно позволяет применять индивидуальный подход к лечению [11]. Однако с появлением омиксных технологий стало возможным определять экспрессию сразу тысяч генов и других биомаркеров [12], а ряд инструментов для анализа результатов позволяет на основании опубликованных данных обобщать их и определять сигнальные или биохимические пути, в которых участвуют продукты этих генов (функциональное обогащение). Однако инструменты функционального обогащения (такие, как анализ перепредставленности, оценка функциональных классов (FCS), наиболее часто применяемые в анализе дифференциальной экспрессии генов) не учитывают тот факт, что гены действуют в составе сложных молекулярных сетей и изменения их экспрессии при раке могут нарушать регуляцию сразу большого количества путей. Разные компоненты молекулярного пути могут выполнять разные функции, например, повышенная экспрессия ингибирующего компонента будет действовать в пользу подавления пути, и наоборот. Кроме того, пути могут регулироваться системами положительных и отрицательных обратных связей, которые также оказывают большое влияние на биологический результат, к которому приводит активация или ингибирование пути [13, 14]. В связи с этим предложен подход, основанный на количественной оценке уровня активации всего молекулярного пути, а не отдельных генов, учитывающий архитектуру этого пути и роли отдельных продуктов, входящих в его состав, в его активации или деактивации, а также создан алгоритм его автоматического подсчета [14]. Классический алгоритм подсчета уровня активации молекулярного пути (УАМП) заключается в рекурсивной аннотации роли активатора/репрессора каждого узла в данном пути в зависимости от его молекулярной архитектуры и природы каждого взаимодействия [14]. УАМП позволяет эффективно преодолевать искажения в данных, полученных на разных платформах, и нивелировать батч-эффекты [15]; на основании значения УАМП можно было отличить нормальную ткань от опухолевой [16], а также предсказать ответ на терапию при раке толстой кишки, раке почки, раке желудка [17–20]. Помимо классического способа подсчета УАМП, недавно предложили другой подход, который заключается в построении архитектуры молекулярного пути как сети взаимодействующих молекул вокруг центрального узла – центрального гена. Такие пути названы геноцентрическими, они построены на основании модели интерактома человека и включают максимальное количество взаимодействий, начинающихся в центральном узле и ведущих к каждому узлу пути. УАМП геноцентрических путей показали свою прогностическую и диагностическую ценность, а потому могут использоваться в качестве скрининговых, прогностических и предиктивных биомаркеров [21, 22].
В данном исследовании впервые алгоритмически сконструированы геноцентрические молекулярные пути белков ERK1 и ERK2 на основе интерактомной модели, ранее разработанной в нашей исследовательской группе [21]. Также проведен анализ взаимосвязи УАМП, выживаемости и ответа на таргетные препараты для широкого спектра онкопатологий.
Обнаружено, что прогностическая значимость активации путей ERK1/2 зависит от типа опухоли. При глиобластоме, саркоме, раке легкого, почки, мочевого пузыря, желудка, толстой кишки и некоторых других типах рака активация путей ERK ассоциируется с низким уровнем выживаемости. При этом она связана с лучшей выживаемостью при раке молочной железы (типы HER2+, люминальный А и люминальный В) и тела матки. Полученные данные согласуются с результатами анализа ответа на терапию. В то же время обнаружены существенно более слабые связи с экспрессией отдельных генов MAPK1 и MAPK3. Таким образом, уровни активации путей ERK1/2 могут рассматриваться в качестве потенциальных биомаркеров для прогнозирования клинических исходов и подбора новых персонализированных стратегий лечения с использованием ингибиторов МАПК.
ЭКСПЕРИМЕНТАЛЬНАЯ ЧАСТЬ
Наборы транскриптомных данных
Набор данных проекта The Cancer Genome Atlas (TCGA). С портала NCI Genomic Data Commons [23, 24] были загружены данные РНК-секвенирования солидных опухолей (прочтения из программы STAR) и соответствующих нормальных тканей из проекта TCGA, а также связанные с ними метаданные с информацией о выживаемости, прогрессировании, применяемой терапии и ответе на терапию; оценивали только первичные образцы опухолей тех типов ЗНО, где количество доступных образцов составляло 100 и более. Кроме того, данные из проектов TCGA READ (аденокарцинома прямой кишки) и COAD (аденокарцинома толстой кишки) были объединены в группу колоректального рака; аналогично, данные из проектов KIRC (светлоклеточный почечно-клеточный рак) и KIRP (папиллярноклеточный рак почки) были объединены в группу почечно-клеточных карцином. Кроме того, глиомы и глиобластомы из проектов TCGA-GBM и TCGA-LGG были объединены и переклассифицированы в соответствии с обновленной классификацией ВОЗ согласно отредактированной базе Захаровой и соавт. [25]. Набор данных TCGA-BRCA по раку молочной железы был разделен на подгруппы в соответствии с подписью PAM50 [26] из-за высокой гетерогенности опухолей данной локализации. Выделено пять молекулярных подтипов: базальный, HER2+, люминальный А, люминальный В и нормоподобные опухоли молочной железы. Таким образом, в исследование включено 24 типа ЗНО, охватывающих в общей сложности 8427 образцов (табл. 1).
Таблица 1. Общее количество образцов по данным РНК-секвенирования из базы данных TCGA, включенных в анализ
Тип опухоли | Идентификатор проекта TCGA | Количество образцов | Количество образцов с данными о выживаемости (ОВ/ВБП) | Количество образцов с данными по ответу на терапию |
Астроцитома, мутации в генах IDH. Степень злокачественности 2 | Часть LGG + GBM (Astrocytoma, IDH-mutant. Grade 2) | 110 | 110/110 | 22 |
Базальный тип рака молочной железы | Часть BRCA (Basal breast cancer) | 198 | 198/198 | 0 |
Колоректальный рак | COAD + READ (Colorectal cancer) | 624 | 619/624 | 120 |
Глиобластома, IDH-дикий тип | Часть LGG + GBM (Glioblastoma, IDH-wildtype) | 206 | 204/206 | 24 |
HER2+ тип рака молочной железы | Часть BRCA (HER2+ breast cancer) | 124 | 124/124 | 0 |
Люминальный А тип рака молочной железы | Часть BRCA (Luminal A breast cancer) | 230 | 229/230 | 0 |
Люминальный B тип рака молочной железы | Часть BRCA (Luminal B breast cancer) | 515 | 514/515 | 0 |
Почечно-клеточная карцинома | KIRP + KIRC (Renal cell carcinoma) | 823 | 822/823 | 15 |
Уротелиальная карцинома мочевого пузыря | BLCA (Urothelial Bladder Carcinoma) | 406 | 403/406 | 92 |
Плоскоклеточная карцинома шейки матки и эндоцервикальная аденокарцинома | CESC (Cervical Squamous Cell Carcinoma and Endocervical Adenocarcinoma) | 304 | 304/304 | 77 |
Карцинома пищевода | ESCA (Esophageal carcinoma) | 184 | 184/184 | 32 |
Плоскоклеточная карцинома головы и шеи | HNSC (Head-Neck Squamous Cell Carcinoma) | 520 | 518/520 | 77 |
Гепатоцеллюлярная карцинома | LIHC (Hepatocellular carcinoma) | 368 | 367/368 | 24 |
Аденокарцинома легкого | LUAD (Lung Adenocarcinoma) | 516 | 507/516 | 98 |
Плоскоклеточная карцинома легкого | LUSC (Lung Squamous Cell Carcinoma) | 501 | 495/501 | 61 |
Аденокарцинома поджелудочной железы | PAAD (Pancreatic Adenocarcinoma) | 178 | 178/178 | 74 |
Феохромоцитома и параганглиома | PCPG (Pheochromocytoma and paraganglioma) | 179 | 179/179 | 4 |
Аденокарцинома предстательной железы | PRAD (Prostate Adenocarcinoma) | 497 | 495/497 | 40 |
Саркома | SARC (Sarcoma) | 259 | 259/259 | 58 |
Меланома кожи | SKCM (Skin Cutaneous Melanoma) | 103 | 103/105 | 14 |
Аденокарцинома желудка | STAD (Stomach Adenocarcinoma) | 412 | 403/412 | 115 |
Рак щитовидной железы | THCA (Thyroid cancer) | 505 | 505/505 | 12 |
Тимома | THYM (Thymoma) | 120 | 119/120 | 3 |
Эндометриоидная карцинома тела матки | UCEC (Uterine Corpus Endometrial Carcinoma) | 545 | 544/545 | 60 |
Параллельно оценивали данные общей выживаемости (ОВ) и выживаемости без прогрессирования (ВБП). При возможности для изучения ответа на терапию в соответствии с критериями RECIST [27] также использовали данные из проекта TCGA (табл. 1). В целях обеспечения единообразия и совместимости применяли следующие критерии отбора данных из проекта TCGA. Во-первых, в анализ включали группы пациентов, получавших одинаковый тип терапии, и не менее 20 пациентов с каждым типом ЗНО. Во-вторых, если один и тот же пациент получал несколько линий одной и той же терапии, то для дальнейшего анализа отбирали наилучший ответ по критериям RECIST. Некоторые пациенты проходили до восьми линий терапии, однако в анализ включали только ответы на первые 1–3 линии, поскольку к моменту назначения поздних линий терапии молекулярный профиль опухоли мог значительно измениться, что делает использование ранее полученных транскриптомных данных сомнительным. Наконец, для статистической значимости рассматривали только группы ответа по критериям RECIST, состоящие как минимум из трех пациентов. В результате в анализ вошли данные об ответе на терапию пациентов с 10 типами ЗНО (табл. 2).
Таблица 2. Группы злокачественных опухолей из базы данных TCGA с доступной информацией о результатах терапии по шкале RECIST
Тип опухоли | Химиотерапия1 | Количество пациентов |
Астроцитома, мутации в генах IDH. Степень злокачественности 2 | Темозоломид | SD (n=12); R (n=3) |
Колоректальный рак | 5-фторурацил, лейковорин, | NR (n=6); R (n=39) |
Глиобластома, IDH-дикий тип | Темозоломид | SD (n=12); R (n=4) |
Уротелиальная карцинома мочевого пузыря | Цисплатин, гемцитабин | SD (n=4); R (n=33); NR (n=12) |
Плоскоклеточная карцинома шейки матки и эндоцервикальная аденокарцинома | Цисплатин | R (n=49); NR (n=6) |
Плоскоклеточная карцинома головы и шеи | Цисплатин | R (n=35); NR (n=3) |
Рак щитовидной железы | Гемцитабин | SD (n=4); R (n=23); NR (n=25) |
Саркома | Доцетаксел, гемцитабин | R (n=12); NR (n=9) |
Аденокарцинома желудка | 5-фторурацил | R (n=17); NR (n=16) |
Эндометриоидная карцинома тела матки | Паклитаксел, карбоплатин | R (n=35); NR (n=5) |
1Тип химиотерапии, применяемой в когорте пациентов.
2R – «ответчики» (общее количество пациентов с полным и частичным ответом на терапию по RECIST v1.1);
NR – «неответчики» (количество пациентов с прогрессирующим заболеванием по RECIST v1.1);
SD – пациенты со стабилизацией заболевания по классификации RECIST v1.1.
Наборы данных GEO (Gene Expression Omnibus) и TARGET (Tumor Alterations Relevant for GEnomics-driven Therapy). Включенные в исследование наборы данных были отобраны из предыдущей коллекции клинически аннотированных данных по экспрессии генов, обладающих подтвержденным качеством профилей экспрессии [28]. Данные РНК-секвенирования солидных опухолей (прочтения из программы STAR) из проекта TARGET были загружены с портала NCI Genomic Data Commons [29]. Наборы данных по экспрессии генов на микрочипах взяты с портала GEO [30, 31]. Набор данных TARGET-AML (острый миелоидный лейкоз) был разделен на две части в зависимости от наличия бусульфана и циклофосфамида в терапии. Кроме того, в анализ были включены данные из проекта TCGA для LGG и UCEC и объединенный набор данных для опухоли легкого (LUSC + LUAD), где информация была извлечена из коллекции Борисова и соавт. [28]. Всего 26 дополнительных наборов данных по 9 типам ЗНО с общим количеством 2736 образцов опухолей (табл. 3).
Таблица 3. Наборы данных, добавленные из коллекции клинически аннотированных профилей экспрессии опухолей
Тип опухоли | Идентификатор набора данных | Терапия1 | Количество образцов | Количество пациентов, ответивших и не ответивших на терапию, согласно [28]2 |
Рак молочной железы с различными гормональными и HER2-статусами | GSE18728 | Доцетаксел, капецитабин | 61 | 23R, 38NR |
Рак молочной железы с различными гормональными и HER2-статусами | GSE20181 | Летрозол | 52 | 37R, 15NR |
Рак молочной железы с различными гормональными и HER2-статусами | GSE20194 | Паклитаксел, 5-фторурацил, циклофосфамид, доксорубицин | 52 | 11R, 41NR |
Рак молочной железы с различными гормональными и HER2-статусами | GSE20271 | Паклитаксел, 5-фторурацил, адриамицин, циклофосфамид | 84 | 18R, 66NR |
Рак молочной железы | GSE22358 | Доцетаксел, капецитабин | 122 | 116R, 6NR |
Рак молочной железы | GSE23988 | Доцетаксел, капецитабин | 61 | 20R, 41NR |
Рак молочной железы с различными гормональными и HER2-статусами | GSE25066 | Неоадъювантная терапия таксанами и антрациклинами | 508 | 118R, 389NR |
Рак молочной железы | GSE32646 | Паклитаксел, 5-фторурацил, эпирубицин, циклофосфамид | 115 | 27R, 88NR |
Рак молочной железы | GSE37946 | Трастузумаб | 50 | 27R, 23NR |
Множественная миелома | GSE39754 | Винкристин, адриамицин, дексаметазон с последующей аутологичной трансплантацией стволовых клеток | 136 | 74R, 62NR |
Рак молочной железы с различными гормональными и HER2-статусами | GSE41998 | Неоадъювантная терапия доксорубицином, циклофосфамидом, паклитакселом | 124 | 90R, 34NR |
Рак молочной железы | GSE42822 | Доцетаксел, 5-фторурацил, эпирубицин, циклофосфамид, капецитабин | 91 | 38R, 53NR |
Рак молочной железы с различными гормональными и HER2-статусами | GSE50948 | Паклитаксел, доксорубицин, циклофосфамид, метотрексат, трастузумаб | 156 | 53R, 103NR |
Острый миелоидный лейкоз | GSE5122 | Типифарниб | 57 | 13R, 44NR |
Рак молочной железы | GSE59515 | Летрозол | 75 | 51R, 24NR |
Множественная миелома | GSE68871 | Бортезомиб, талидомид, дексаметазон | 118 | 69R, 49NR |
Рак молочной железы | GSE76360 | Трастузумаб | 48 | 42R, 6NR |
Множественная миелома | GSE9782 | Бортезомиб | 169 | 85R, 84NR |
Немелкоклеточный рак легкого (аденокарцинома легкого + плоскоклеточная карцинома легкого + другие типы) | GSE207422* | Анти-PD-1 иммунотерапия | 24 (8 + 12 + 4) | 9R, 15NR |
В-клеточный острый лимфобластный лейкоз | TARGET10 | Винкристина сульфат, карбоплатин, циклофосфамид, доксорубицин | 98 | 30R, 68NR |
Детский острый миелоидный лейкоз | TARGET20 _Busulfan | Полихимиотерапия** + бусульфан, циклофосфамид | 54 | 31R, 23NR |
Детский острый миелоидный лейкоз | TARGET20_NoBusulfan | Полихимиотерапия** | 142 | 62R, 80NR |
Рак Вильямса (нефробластома) | TARGET50 | Винкристина сульфат, циклоспорин, цитарабин, даунорубицин | 122 | 36R, 86NR |
Рак легкого | TCGA_LC | Паклитаксел, опционально: цисплатин/карбоплатин, реолизин | 35 | 22R, 13NR |
Глиома низкой степени злокачественности | TCGA_LGG | Темозоломид, опционально: мибефрадил | 131 | 100R, 31NR |
Эндометриоидная аденокарцинома | TCGA_UCEC | Паклитаксел, опционально: цисплатин/цисплатин, доксорубицин | 52 | 45R, 7NR |
1Тип химиотерапии, таргетной терапии, иммунотерапии или гормональной терапии, применяемой в когорте пациентов.
2R означает ответивших на лечение, NR – не ответивших.
* Данный набор данных не был аннотирован в [28]. Он включает информацию об ответе пациентов на иммунотерапию в соответствии с критериями RECIST, поэтому был добавлен в анализ.
** Схема полихимиотерапии включала: аспарагиназу, цитарабин, даунорубицина гидрохлорид, этопозид, гемтузумаб озогамицин, митоксантрона гидрохлорид.
Экспериментальные наборы данных. В исследование были также включены клинически аннотированные наборы данных РНК-секвенирования, ранее полученные в нашей лаборатории и опубликованные в других источниках. Результаты лечения, когда это было возможно, классифицированы в соответствии с критериями RECIST [27]. Включены следующие экспериментальные данные:
1) пациенты с глиобластомой, проходившие терапию темозоломидом, с аннотированными данными о выживаемости без прогрессирования (n = 49) [32, 33];
2) пациенты с опухолью желудка из ранее опубликованного клинического исследования [18], получавшие рамуцирумаб в качестве монотерапии (n = 7), в комбинации с паклитакселом (n = 6) или схемой FOLFIRI (n = 2). Оценивали ответ на терапию, а также выживаемость без прогрессирования;
3) пациенты с множественной миеломой (n = 60), получавшие комплексную химиотерапию по нескольким схемам, каждая из которых включала бортезомиб. Регистрировали ответ на терапию [34].
Построение молекулярных путей ERK1/2 и оценка уровня активации молекулярных путей (УАМП)
Молекулярные пути ERK1 (MAPK3) и ERK2 (MAPK1) были алгоритмически реконструированы как представлено ранее [21]. Модель интерактома человека построена с использованием коллекции опубликованных молекулярных путей OncoboxPD [35] в качестве базы молекулярных взаимодействий: суммарно при построении модели интерактома использована архитектура 50178 различных молекулярных путей. Все графы путей были объединены на основе перекрывающихся генных продуктов. Все включенные гены формируют единую сеть, то есть между каждой парой генных продуктов существует хотя бы одна неориентированная связь. В результате получен направленный граф, в котором в качестве узлов представлены гены или метаболиты, а ребер – известные парные молекулярные взаимодействия, представленные в коллекции OncoboxPD. Модель интерактома визуализирована с помощью программы Gephi и алгоритма ForceAtlas2.
Для каждого из белков, ERK1 и ERK2, алгоритмически построены геноцентрические молекулярные пути, включающие центральные узлы (ERK1 и ERK2 соответственно) и генные продукты с взаимодействиями первого порядка с соответствующими центральными узлами. Рассматривали следующие типы взаимодействий: «активация», «сопряжение», «ингибирование», «фосфорилирование», «диссоциация», «репрессия», «дефосфорилирование», «связывание» и «убиквитинирование».
Уровень активации молекулярного пути (УАМП) – это совокупная количественная и качественная характеристика изменений в уровне экспрессии генов, участвующих в молекулярном пути [36]. Значения УАМП рассчитывали следующим образом:
УАМПp = 100 × ∑n(РАРn,p × lg(ОСНn))/∑n|РАРn,p|,
где УАМПp – уровень активации пути p, ОСНn – отношение экспрессии гена n в исследуемом образце к его среднему уровню в контрольной группе, РАР – роль (активатора или репрессора), которую данный генный продукт играет в пути p; РАР может принимать следующие значения:
-1, когда продукт гена n является репрессором пути p;
-0.5, когда продукт гена n является скорее репрессором пути p;
0, когда роль продукта гена n в пути p нейтральна, неопределенна или неоднозначна;
0.5, когда продукт гена n является скорее активатором пути p;
1, когда продукт гена n является активатором.
Значения РАР устанавливались алгоритмически на основе архитектуры путей и положения центрального узла [14], а значения УАМП рассчитывали с помощью библиотеки Python «oncoboxlib» [14].
Если данные были загружены в ненормализованном виде, то нормализацию экспрессии генов проводили с использованием метода DeSeq2 [37]. В качестве референсного (контрольного) профиля экспрессии генов для каждого набора данных использовали искусственный профиль, полученный путем усреднения всех данных об экспрессии генов в исследуемой когорте.
Статистические тесты
Статистический анализ проводили в R, версия 3.4.2 [38]. Уровни экспрессии центрального гена или УАМП были разделены на группы с высоким и низким уровнем УАМП/экспрессии гена в зависимости от того, превышает ли данное значение оптимальный уровень, соответствующий минимальному p-значению log-rank-теста, рассчитанному с использованием функций «surv_cutpoint» пакета R «surviminer» [39].
Связь с выживаемостью оценивали с использованием метода Каплана–Мейера и log-rank-теста для определения статистической значимости различий между двумя группами. Отношение рисков (ОР) с 95% доверительным интервалом было рассчитано с помощью модели регрессии Кокса для оценки различий в выживаемости между сравниваемыми группами с использованием пакетов R «survival» [40] и «surviminer» [39]. Общую выживаемость (ОВ) рассчитывали до даты смерти или до даты последнего наблюдения; пациентов, которые были живы на момент последнего наблюдения, считали цензурированными. Выживаемость без прогрессирования (ВБП) рассчитывали до даты прогрессирования, смерти или последнего наблюдения. Выживших пациентов, а также пациентов без прогрессирования на дату последнего наблюдения считали цензурированными. Отношения рисков с p <0.05 и 95% доверительным интервалом, не включающим 1, считали статистически значимыми.
В анализе ответа на терапию, когда в наборе данных отсутствовали отметки «ответчик» и «неответчик», пациенты с полным ответом и частичным ответом по RECIST считались ответчиками, пациенты с прогрессирующим заболеванием – неответчиками, а пациенты со стабильным заболеванием рассматривались отдельно.
Нормальность распределения оценивали с помощью теста Шапиро–Уилка, однородность дисперсий – тестом Левена. Если число сравниваемых групп превышало 2, то в зависимости от выполнения критериев нормального распределения применяли тест ANOVA или Краскела–Уоллиса с последующим post-hoc сравнением по критериям Стьюдента или Данна, соответственно, и поправкой на множественные сравнения по методам Бенджамини–Хохберга или Холма соответственно. При сравнении двух групп анализ проводили с использованием критериев Стьюдента или Уилкоксона в зависимости от нормальности распределения. Сравнения между группами осуществляли с использованием пакетов R «FSA» [41] и «car» [42].
Визуализацию данных выполняли с помощью пакетов R «ggplot2» [43] и «ComplexHeatmap» [44]. Различия считали статистически значимыми при p <0.05.
РЕЗУЛЬТАТЫ
Алгоритмическая реконструкция геноцентрических молекулярных путей ERK1 и ERK2
Оба пути были реконструированы на основе ранее построенной модели интерактома человека, представленной в виде графа, включающего 361654 взаимодействия между 64095 молекулярными участниками. Пути включали элементы, которые напрямую взаимодействуют с центральным узлом (ERK1/MAPK3 или ERK2/MAPK1 соответственно). Аннотация функциональных ролей компонентов путей выполнена алгоритмически согласно [14]. Полученные пути (рис. 1) содержали 447 и 443 молекулярных участника соответственно. Функционально аннотированный список участников путей приведен в дополнительной табл. 1. 428 участников данных путей (95.7 и 96.6% соответственно) были общими, что свидетельствует о высоком уровне их структурного сходства.
Рис. 1. Схема состава алгоритмически сконструированных молекулярных путей, сосредоточенных вокруг белков ERK1 (А) и ERK2 (Б). Генные продукты, участвующие в молекулярных путях ERK1 и ERK2, выделены на основе модели интерактома человека, включающей 361654 взаимодействия между 64095 молекулярными участниками [35]. Красными точками обозначены центральные узлы путей (ERK1 или ERK2), проекции участников пути показаны голубым и зеленым цветом для молекулярных путей ERK1 и ERK2 соответственно. Другие узлы показаны серым цветом, остальная часть интерактомного графа показана как фон. Визуализировано с помощью программы Gephi и алгоритма ForceAtlas2 [35]
Прогностическая значимость активации путей ERK1/2 и экспрессии генов для выживаемости пациентов на основе наборов данных проекта TCGA
Чтобы определить связь выживаемости пациентов с экспрессией генов MAPK3 и MAPK1, а также с УАМП новых реконструированных путей ERK1 и ERK2 были проанализированы данные РНК-секвенирования, полученные из репозитория TCGA. Нами показано в целом сходное распределение значений УАМП для путей ERK1 и ERK2 в разных типах опухолей. На данном этапе, учитывая ключевую роль продуктов генов семейства RAS в активации каскада RAS-RAF-MEK-ERK, в анализ дополнительно включили также геноцентрический путь KRAS (дополнительный рис. 1А). Оказалось, что путь KRAS в большинстве случаев имеет более широкое распределение и более низкие значения УАМП (за исключением феохромоцитомы и параганглиомы, где его медианное значение выше), чем пути ERK1/2, однако, в целом тренды по вариабельности УАМП по данным молекулярным путям совпадают (дополнительный рис. 1Б). Активация пути KRAS напрямую связана с активацией ERK1/2, поэтому позволяет оценить взаимодействие этих сигнальных путей и выявить различия в их активности в различных типах опухолей. В данном случае при сходных тенденциях в значениях УАМП всех трех путей внутри различных типов опухолей более низкие УАМП пути KRAS могут свидетельствовать о том, что активация ERK-путей в этих опухолях может происходить посредством альтернативных механизмов, не связанных напрямую с активностью KRAS.
На следующем этапе пациенты с каждым типом ЗНО и каждым предполагаемым биомаркером были разделены на две группы в зависимости от того, превышает ли значение УАМП или экспрессии гена оптимальную точку отсечения или находится ниже ее. Выживаемость оценивали с использованием метода Каплана–Мейера, а статистическую значимость различий между двумя группами определяли с помощью log-rank-теста. Кроме того, вычисляли коэффициент отношения рисков (ОР) и его 95% доверительный интервал. Данные были сгруппированы в соответствии со значением ОР и его статистической значимостью, а результаты представлены в виде тепловой карты с иерархической кластеризацией (рис. 2).
Рис. 2. Тепловая карта значений отношения рисков, рассчитанных для активации молекулярных путей ERK1 и ERK2 на основе данных TCGA по общей выживаемости (ОВ) (А) и выживаемости без прогрессирования (ВБП) (Б). ОР – отношение рисков, * – p < 0.05; ** – p < 0.01; *** – p < 0.001
В данных по общей выживаемости (ОВ) для путей ERK1/2 различные типы ЗНО кластеризовались по-разному на основе значений ОР (рис. 2А). Оба пути демонстрировали общие тенденции. В частности, в глиобластомах, опухолях почки, поджелудочной железы, желудка, мочевого пузыря, в аденокарциноме легкого и плоскоклеточной карциноме легкого активация обоих молекулярных путей ERK1/2 была связана со значительным снижением общей выживаемости. В противоположность этому, в группе пол-специфичных опухолей (подтипы рака молочной железы и эндометриоидная карцинома тела матки) активация обоих путей была положительным прогностическим биомаркером ОВ (рис. 2А). Интересно отметить противоположные тенденции прогностической значимости активации путей ERK1 и ERK2 при саркоме и раке щитовидной железы. Поскольку данные пути обладают высоким сходством, различия в прогнозе могут быть обусловлены разными значениями показателя РАР, который также учитывается при расчете УАМП и обозначает функциональную роль продукта данного гена в изучаемом пути (дополнительный рис. 2, дополнительная табл. 1).
Данные по выживаемости без прогрессирования (ВБП) в целом подтвердили наблюдения, полученные для общей выживаемости (рис. 2Б). Активация пути ERK1/2 вновь оказалась отрицательным биомаркером ВБП пациентов с глиобластомой, аденокарциномой почки, поджелудочной железы, желудка, мочевого пузыря, аденокарциномой легкого и плоскоклеточной карциномой легкого. Кроме того, она также была отрицательным биомаркером ВБП (но не ОВ) при саркоме, раке щитовидной железы и колоректальном раке. Как и в случае ОВ, активация путей ERK1/2 была положительным биомаркером для нескольких подтипов рака молочной железы и эндометриоидной карциномы тела матки. Кроме того (в отличие от ОВ), она также оказалась положительным биомаркером для рака головы и шеи, печени и предстательной железы (рис. 2Б).
Параллельно был проведен аналогичный анализ уровней экспрессии соответствующих центральных генов исследуемых путей – MAPK3 и MAPK1 (рис. 3). На уровне отдельных генов оба гена продемонстрировали общую тенденцию только в случае карциномы мочевого пузыря (были отрицательными биомаркерами) как для ОВ, так и ВБП.
Рис. 3. Тепловая карта значений отношения рисков, рассчитанных для уровней экспрессии отдельных генов ERK1 и ERK2 на основе данных TCGA по общей выживаемости (ОВ) (А) и выживаемости без прогрессирования (ВБП) (Б). ОР – отношение рисков, * – p < 0.05; ** – p < 0.01; *** – p < 0.001
Затем были усреднены значения ОР данных ОВ и ВБП для анализа УАМП и экспрессии отдельных генов (рис. 4). При усреднении ОР по УАМП наблюдалось четкое разделение типов ЗНО на два кластера (рис. 4А), в то время как анализ уровней экспрессии отдельных генов не выявил четкой кластеризации (рис. 4Б). Таким образом, анализ активации путей ERK1/2 привел к получению более последовательных и устойчивых результатов, чем оценка уровней экспрессии отдельных генов. Наблюдаемое явление, вероятно, связано с большей стабильностью агрегированных данных экспрессии генов на основе путей, что теоретически и экспериментально подтверждено в предыдущих исследованиях [3, 15, 22].
Рис. 4. Тепловая карта усредненных значений отношения рисков для общей выживаемости (ОВ) и выживаемости без прогрессирования (ВБП), рассчитанных для уровней активации молекулярных путей ERK1 и ERK2 (А) и экспрессии отдельных генов ERK1 и ERK2 (Б) по данным TCGA. ОР – отношение рисков, * – p <0.05; ** – p < 0.01; *** – p < 0.001. Если порядки уровней значимости p-значений различались для данных ОВ и ВБП, указывался более низкий уровень значимости
Также был рассчитан процент типов ЗНО, при которых отдельные гены (MAPK3 и MAPK1) и соответствующие геноцентрические молекулярные пути могли служить статистически значимыми потенциальными прогностическими биомаркерами по наборам данных из проекта TCGA (табл. 4). Таким образом, активация молекулярных путей являлась потенциальным прогностическим биомаркером чаще, чем экспрессия центральных генов соответствующих путей.
Таблица 4. Доля типов ЗНО, при которых гены ERK1/2 и соответствующие им геноцентрические молекулярные пути могут служить потенциальными прогностическими биомаркерами на основе данных TCGA
Тип анализа | Тип биомаркера | ERK1, % | ERK2, % |
Молекулярный путь | Отрицательный | 42 | 42 |
Положительный | 12.5 | 8 | |
Отдельный ген | Отрицательный | 8 | 21 |
Положительный | 4 | 21 |
Затем была построена дендрограмма, иллюстрирующая структуру полученных кластеров типов ЗНО в зависимости от значений ОР, рассчитанных для данных активации молекулярных путей (рис. 5).
Рис. 5. Дендрограмма с кластеризацией опухолей по значениям отношения рисков, рассчитанных на основе данных об активации ERK1- и ERK2-центрических путей с использованием профилей экспрессии генов из базы данных TCGA
Дендрограмма демонстрирует два кластера, включающих 10 и 12 типов ЗНО, соответственно, в пределах которых активация молекулярных путей ERK1 и ERK2 имеет схожее прогностическое значение. В первый кластер из 10 типов ЗНО входят рак желудка, поджелудочной железы, легких, почек, мочевого пузыря, щитовидной железы, шейки матки, саркома и глиобластома, где активация путей ERK1/2 является скорее отрицательным прогностическим биомаркером (для 90–100% типов ЗНО из кластера 1). Во второй кластер включены 12 других типов рака, для которых активация данных путей либо является положительным прогностическим биомаркером (HER2+, люминальный А и люминальный В типы рака молочной железы, рак тела матки; всего 17–25% типов ЗНО из кластера 2), либо не обладает прогностической значимостью (базальный тип рака молочной железы, гепатоцеллюлярная карцинома, меланома и др.; всего ~75% типов ЗНО из кластера 2).
Прогностическая значимость активации путей ERK1/2 по транскриптомным данным из литературных источников
В данном исследовании была изучена прогностическая значимость уровней активации путей ERK1/2 и отдельных генов, используя дополнительный набор ранее опубликованных клинически аннотированных профилей экспрессии генов, собранных Борисовым и соавт. [28]. На основании опубликованных данных ответ пациентов на терапию оценивали в соответствии с критериями RECIST [27].
Наш анализ выявил статистически значимые различия в значениях УАМП между группами ответа для пациентов со следующими видами ЗНО: колоректальный рак, саркома, опухоль молочной железы, аденокарцинома легкого и множественная миелома.
Примечательно, что результаты изучения ответа на терапию для пациентов с колоректальным раком (рис. 6А) и саркомой (рис. 6Б) из проекта TCGA согласуются с результатами анализа ОР и прогностической значимостью изучаемых молекулярных путей для выживаемости пациентов из тех же наборов данных TCGA в более крупной выборке. В обоих типах ЗНО пациенты с более низкой активацией одного или обоих анализируемых молекулярных путей продемонстрировали лучший ответ на терапию.
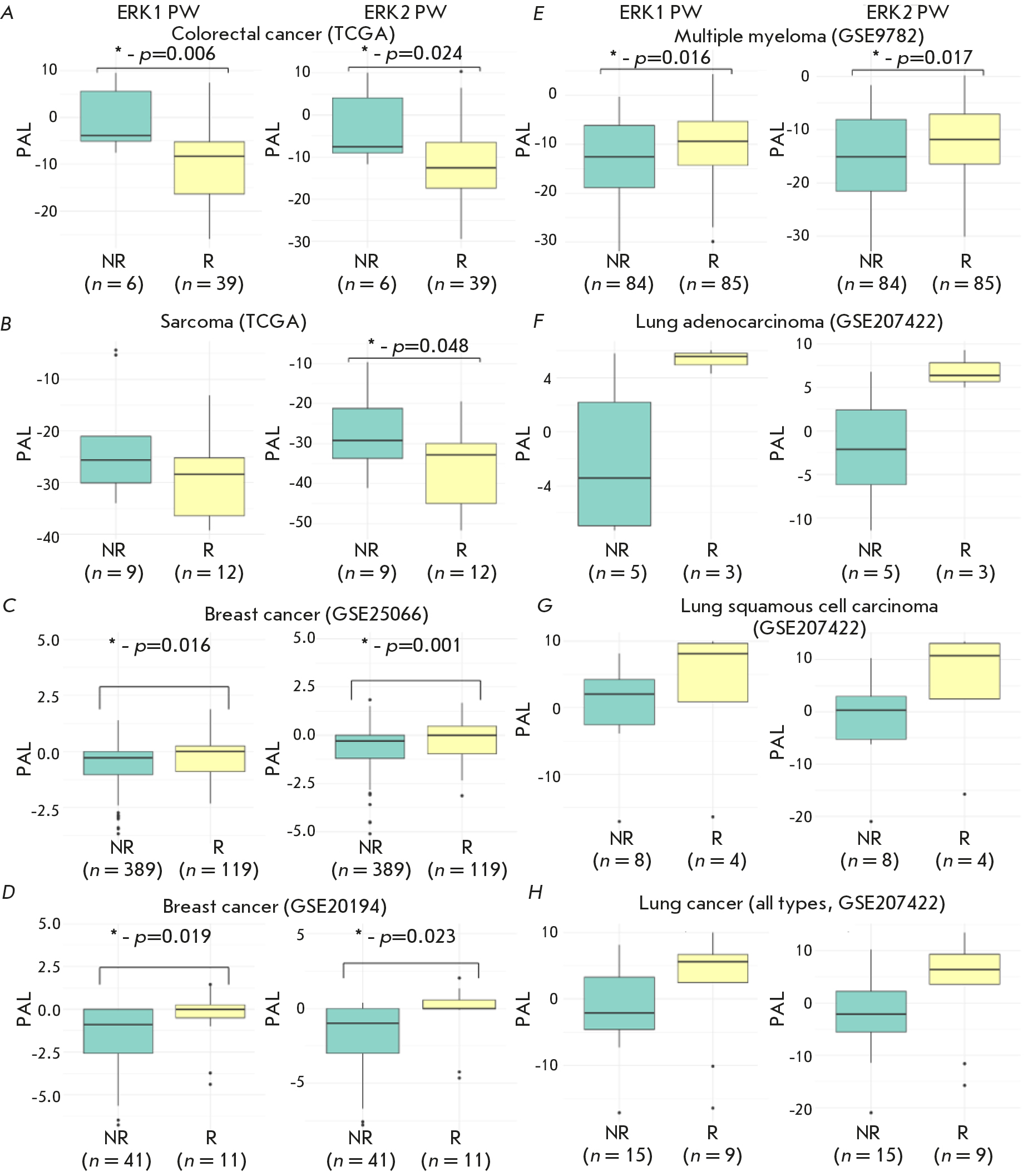
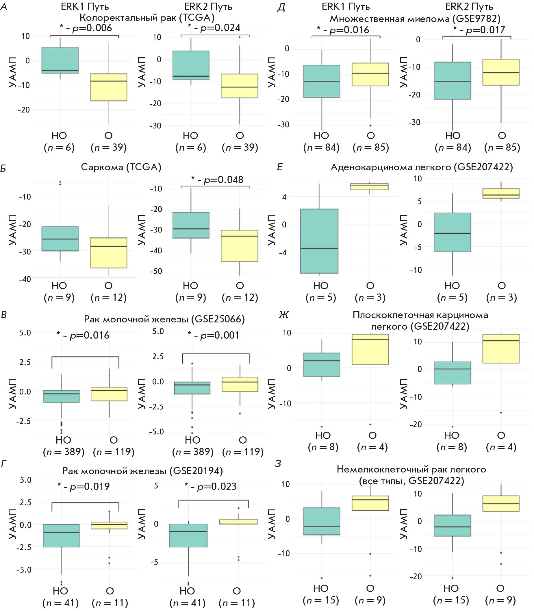
Рис. 6. Различия в УАМП исследуемых молекулярных путей в зависимости от ответа на терапию: А – комбинацией 5-фторурацила, лейковорина и оксалиплатина у пациентов с колоректальным раком из проекта TCGA; Б – комбинацией доцетаксела и гемцитабина у пациентов с саркомой из проекта TCGA; В – таксанами и антрациклином у пациентов с раком молочной железы из набора данных GSE25066; Г – с таксанами и антрациклином у пациентов с раком молочной железы из набора данных GSE20194; Д – с бортезомибом у пациентов с множественной миеломой из набора данных GSE9782; Е – с иммунотерапией у пациентов с аденокарциномой легкого из набора данных GSE207422; Ж – с иммунотерапией у пациентов с плоскоклеточной карциномой легкого из набора данных GSE207422; З – с иммунотерапией у пациентов с раком легкого (все гистологические типы) из набора данных GSE207422. Результаты анализа ответа по RECIST представлены в виде диаграмм размаха, где горизонтальная линия представляет медиану, первый и третий квартили – нижнюю и верхнюю границы прямоугольника, минимальные и максимальные наблюдаемые значения обозначены концами вертикальных линий, а возможные выбросы показаны отдельными точками. Статистически значимые различия отмечены * с указанием точного p-значения. «О» означает ответивших на лечение, «НО» – не ответивших
При этом ранее сообщалось о положительной прогностической значимости активации путей ERK1/2 при опухоли молочной железы, что было подтверждено в двух наборах данных экспрессии генов у пациентов, получавших комбинированное лечение таксанами и антрациклинами: GSE25066 (паклитаксел, 5-фторурацил, циклофосфамид, доксорубицин или эпирубицин в адъювантной и неоадъювантной схемах) и GSE20194 (паклитаксел, 5-фторурацил, циклофосфамид, доксорубицин в комбинации в неоадъювантной схеме) (рис. 6В,Г).
Кроме того, в данном исследовании была рассмотрена связь УАМП с ответом на терапию при ЗНО крови. Статистически значимые связи были обнаружены для набора данных по множественной миеломе у пациентов, получавших монотерапию бортезомибом (GSE9782). Хотя этот тип ЗНО не был включен в предыдущий анализ TCGA, полученные результаты позволяют предположить, что активация путей ERK1/2 может иметь положительный прогностический эффект на выживаемость (рис. 6Д).
Более того, была изучена связь между УАМП путей ERK1/2 и ответом на анти-PD1-иммунотерапию у пациентов с раком легкого с использованием набора данных GSE207422. Этот набор данных включал данные РНК-секвенирования для 24 пациентов с опухолью легкого, из которых у 12 была диагностирована плоскоклеточная карцинома легкого, у 8 – аденокарцинома легкого, а у остальных – другие диагнозы. Как для всей выборки, так и для отдельных групп плоскоклеточной карциномы легкого и аденокарциномы легкого наблюдалась тенденция к тому, что у пациентов, ответивших на иммунотерапию, в опухолевых образцах наблюдались более высокие значения УАМП для путей ERK1/2 (рис. 6Е–З). Однако из-за небольшой выборки и того, что наблюдаемые различия не достигли статистической значимости, данное наблюдение требует повторного анализа на более крупной независимой когорте пациентов.
Таким образом, анализ наборов клинических данных подтвердил, что активация молекулярных путей ERK1/2 может быть существенно связана с ответом на некоторые типы противоопухолевой терапии, например, при опухоли молочной железы, колоректальном раке и саркоме.
Прогностическая значимость активации путей ERK1/2 по транскриптомным данным из экспериментальной базы
Полученные результаты были дополнены данными, полученными с использованием ранее опубликованных нашей исследовательской группой собственных наборов данных экспрессии генов для онкологических пациентов, аннотированных с учетом ответа на терапию. В данном исследовании рассматривались три клинические выборки: глиобластома (n = 49), опухоль желудка (n = 15) и множественная миелома (n = 60), получавшие противоопухолевую терапию. Ответ на терапию оценивался либо только по ВБП (глиобластома), либо только по критериям RECIST (множественная миелома), либо как по ВБП, так и по критериям RECIST (опухоль желудка).
Анализ данных ВБП выявил резко отрицательный прогноз при активации ERK1/2 в ответ на терапию темозоломидом при глиобластоме и отсутствие значимой связи при таргетной терапии рамуцирумабом пациентов с раком желудка (рис. 7). Также не было обнаружено статистически значимых различий в активации путей ERK1/2 между пациентами, ответившими на терапию по критериям RECIST и не ответившими на нее.
Рис. 7. Тепловая карта значений отношения рисков, рассчитанных для активации молекулярных путей ERK1 и ERK2 на основе активации молекулярных путей в зависимости от ответа на противоопухолевую химиотерапию по показателю выживаемости без прогрессирования (ВБП). ОР – отношение рисков, *** – p < 0.001
В наборе данных по множественной миеломе также не было обнаружено статистически значимых различий в значениях УАМП путей ERK1/2 между пациентами вне зависимости от ответа на терапию, содержащую бортезомиб.
ОБСУЖДЕНИЕ
В данном исследовании были впервые алгоритмически реконструированы молекулярные пути для регуляторных протеинкиназ ERK1 и ERK2 с помощью модели интерактома. Затем была изучена связь уровней активации данных путей с имеющимися данными о выживаемости пациентов и чувствительности к различным терапевтическим стратегиям для разных типов ЗНО.
Полученные результаты позволяют разделить типы ЗНО на три класса, в которых активация путей ERK1/2 может служить как отрицательным, так и положительным прогностическим биомаркером или не иметь статистической значимости. В частности, к первому классу относятся рак желудка, два различных гистологических типа опухоли легкого, глиобластома, саркома, рак почки и некоторые другие виды ЗНО (рис. 4). Наши результаты также согласуются с литературными данными: например, экспериментальная связь между активацией ERK и отрицательным прогнозом известна для опухоли желудка [45, 46], аденокарциномы почки, мочевого пузыря и легкого [47]. Было продемонстрировано, что для глиобластом ангиогенные факторы и рецепторы играют одну из ключевых ролей в их развитии, в частности, активируя каскад RAS-RAF-MEK-ERK и способствуя пролиферации, миграции и выживанию злокачественных клеток [48]. В данном исследовании активация пути ERK ассоциировалась с более низким показателем ВБП для пациентов с глиобластомой после терапии алкилирующим агентом темозоломидом. Таким образом, активация пути ERK1/2 при глиобластоме потенциально может быть не только прогностическим биомаркером выживаемости, но и биомаркером ответа на данный вид терапии.
Ко второму классу относятся те виды ЗНО, при которых активация ERK1/2 являлась положительным прогностическим биомаркером (HER2+, люминальный A и люминальный B типы рака молочной железы и рак тела матки). Ранее было доказано, что активация ERK1 ассоциируется с лучшим прогнозом для пациентов с раком молочной железы, поскольку приводит к блокаде сигнального пути Hippo и одной из его последующих мишеней – белка YAP1; однако в том же исследовании активация ERK2 была связана с отрицательным прогнозом [49]. При этом недавно было продемонстрировано, что HER2+ тип опухоли молочной железы устойчив к таргетной терапии при низкой активности киназ ERK1/2, а высокая активность киназ является прогностическим биомаркером чувствительности опухоли к терапии [50]. Это соответствует нашим результатам, где также была обнаружена положительная связь между активацией пути ERK1/2 и чувствительностью опухоли молочной железы к таксанам и антрациклинам, тогда как экспрессия отдельных соответствующих центральных генов этих путей являлась гораздо менее точным биомаркером.
Для третьего класса, включающего базальный тип рака молочной железы, гепатоцеллюлярную карциному, меланому и некоторые другие виды ЗНО, не удалось выявить статистически значимой связи с активацией пути ERK1/2 в качестве прогностического биомаркера. Мы считаем, что в совокупности полученные результаты могут быть полезны для учета клинически значимых изменений внутриклеточной сигнализации в ЗНО и для разработки комбинированных методов терапии опухолей, которые могут включать таргетные ингибиторы ERK1/2. Также целесообразно разработать адекватные модели для тестирования различных комбинаций препаратов, поскольку активация путей ERK1/2 может оказывать разнонаправленное влияние на результат терапии различных типов ЗНО человека.
ЗАКЛЮЧЕНИЕ
В данном исследовании мы показали, что уровень активации алгоритмически реконструированных сигнальных путей ERK1/2 может быть эффективным прогностическим биомаркером ЗНО, при этом его прогностическая значимость сильно зависит от типа ЗНО и вида терапии.
Построение геноцентрических молекулярных путей выполнено при финансовой поддержке проекта «Digital technologies for quantitative medicine solutions» FSMG-2021-0006 (соглашение № 075-03-2024-117 от 17.01.2024 г.).
Дифференциальный анализ молекулярных путей и данных об экспрессии генов, а также их связи с клиническими исходами у онкологических пациентов поддержаны Российским научным фондом (грант № 22-14-00074).
Приложения доступны на сайте https://doi.org/10.32607/actanaturae.27497.
Об авторах
A. Г. Емельянова
Московский физико-технический институт; Первый Московский государственный медицинский университет имени И.М. Сеченова
Автор, ответственный за переписку.
Email: emelyanova_a_g@staff.sechenov.ru
Россия, 141701, Долгопрудный; 119991, Москва
М. А. Золотовская
Московский физико-технический институт; Первый Московский государственный медицинский университет имени И.М. Сеченова
Email: emelyanova_a_g@staff.sechenov.ru
Россия, 141701, Долгопрудный; 119991, Москва
Е. В. Поддубская
Первый Московский государственный медицинский университет имени И.М. Сеченова
Email: emelyanova_a_g@staff.sechenov.ru
Россия, 119991, Москва
А. А. Модестов
Московский физико-технический институт; Первый Московский государственный медицинский университет имени И.М. Сеченова
Email: emelyanova_a_g@staff.sechenov.ru
Россия, 141701, Долгопрудный; 119991, Москва
В. С. Прасолов
Институт молекулярной биологии имени В.А. Энгельгардта РАН
Email: prassolov45@mail.ru
Россия, 119991, Москва
Д. В. Кузьмин
Московский физико-технический институт
Email: emelyanova_a_g@staff.sechenov.ru
Россия, 141701, Долгопрудный
A. A. Буздин
Московский физико-технический институт; Первый Московский государственный медицинский университет имени И.М. Сеченова; Институт биоорганической химии имени академиков М.М. Шемякина и Ю.А. Овчинникова РАН; PathoBiology Group, European Organization for Research and Treatment of Cancer (EORTC)
Email: emelyanova_a_g@staff.sechenov.ru
Государственный научный центр Российской Федерации
Россия, 141701, Долгопрудный; 119991, Москва; 117997, Москва; 1200 Brussels, BelgiumСписок литературы
- https://www.iarc.who.int/faq/latest-global-cancer-data-2020-qa. (Accessed June 13, 2024)
- Wild C.P., Weiderpass E., Stewart B.W. World Cancer Report: Cancer Research for Cancer Prevention. // 2020 (Accessed June 15, 2024). https://publications.iarc.fr/Non-Series-Publications/World-Cancer-Reports/World-Cancer-Report-Cancer-Research-For-Cancer-Prevention-2020. (Accessed June 15, 2024)
- Buzdin A., Sorokin M., Garazha A., Sekacheva M., Kim E., Zhukov N., Wang Y., Li X., Kar S., Hartmann C., et al. // Semin Cancer Biol. 2018. V. 53. P. 110–124.
- Chappell W.H., Steelman L.S., Long J.M., Kempf R.C., Abrams S.L., Franklin R.A., Bäsecke J., Stivala F., Donia M., Fagone P., et al. // Oncotarget. 2011. V. 2. № 3. P. 135–164.
- Steelman L.S., Chappell W.H., Abrams S.L., Kempf C.R., Long J., Laidler P., Mijatovic S., Maksimovic-Ivanic D., Stivala F., Mazzarino M.C., et al. // Aging (Albany NY). 2011. V. 3. № 3. P. 192–222.
- Stefani C., Miricescu D., Stanescu-Spinu I.-I., Nica R.I., Greabu M., Totan A.R., Jinga M. // Int. J. Mol. Sci. 2021. V. 22. № 19. P. 10260.
- Sanchez-Vega F., Mina M., Armenia J., Chatila W.K., Luna A., La K.C., Dimitriadoy S., Liu D.L., Kantheti H.S., Saghafinia S., et al. // Cell. 2018. V. 173. № 2. P. 321–337.e10.
- Liu F., Yang X., Geng M., Huang M. // Acta Pharmaceutica Sinica B. 2018. V. 8. № 4. P. 552–562.
- Lebedev T., Buzdin A., Khabusheva E., Spirin P., Suntsova M., Sorokin M., Popenko V., Rubtsov P., Prassolov V. // Int. J. Mol. Sci. 2022. V. 23. № 14. P. 7724.
- Fu L., Chen S., He G., Chen Y., Liu B. // J. Med. Chem. 2022. V. 65. № 20. P. 13561–13573.
- Mass R.D., Press M.F., Anderson S., Cobleigh M.A., Vogel C.L., Dybdal N., Leiberman G., Slamon D.J. // Clinical Breast Cancer. 2005. V. 6. № 3. P. 240–246.
- Kamel H.F.M., Al-Amodi H.S.A.B. // Genomics. Proteomics & Bioinformatics. 2017. V. 15. № 4. P. 220–235.
- Ozerov I.V., Lezhnina K.V., Izumchenko E., Artemov A.V., Medintsev S., Vanhaelen Q., Aliper A., Vijg J., Osipov A.N., Labat I., et al. // Nat. Commun. 2016. V. 7. P. 13427.
- Sorokin M., Borisov N., Kuzmin D., Gudkov A., Zolotovskaia M., Garazha A., Buzdin A. // Front Genet. 2021. V. 12. P. 617059.
- Borisov N., Suntsova M., Sorokin M., Garazha A., Kovalchuk O., Aliper A., Ilnitskaya E., Lezhnina K., Korzinkin M., Tkachev V., et al. // Cell Cycle. 2017. V. 16. № 19. P. 1810–1823.
- Lezhnina K., Kovalchuk O., Zhavoronkov A.A., Korzinkin M.B., Zabolotneva A.A., Shegay P.V., Sokov D.G., Gaifullin N.M., Rusakov I.G., Aliper A.M., et al. // Oncotarget. 2014. V. 5. № 19. P. 9022–9032.
- Gudkov A., Shirokorad V., Kashintsev K., Sokov D., Nikitin D., Anisenko A., Borisov N., Sekacheva M., Gaifullin N., Garazha A., et al. // Front Mol. Biosci. 2022. V. 9. P. 753318.
- Sorokin M., Poddubskaya E., Baranova M., Glusker A., Kogoniya L., Markarova E., Allina D., Suntsova M., Tkachev V., Garazha A., et al. // Cold Spring Harb. Mol. Case Stud. 2020. V. 6. № 2. P. a004945.
- Sorokin M., Zolotovskaia M., Nikitin D., Suntsova M., Poddubskaya E., Glusker A., Garazha A., Moisseev A., Li X., Sekacheva M., et al. // BMC Cancer. 2022. V. 22. P. 1113.
- Zhu Q., Izumchenko E., Aliper A.M., Makarev E., Paz K., Buzdin A.A., Zhavoronkov A.A., Sidransky D. // Hum. Genome Var. 2015. V. 2. P. 15009.
- Zolotovskaia M., Tkachev V., Sorokin M., Garazha A., Kim E., Kantelhardt S.R., Bikar S.-E., Zottel A., Šamec N., Kuzmin D., et al. // Cancers (Basel). 2021. V. 13. № 16. P. 4117.
- Zolotovskaia M., Kovalenko M., Pugacheva P., Tkachev V., Simonov A., Sorokin M., Seryakov A., Garazha A., Gaifullin N., Sekacheva M., et al. // Proteomes. 2023. V. 11. № 3. P. 26.
- https://portal.gdc.cancer.gov/. (Accessed June 4, 2024)
- Tomczak K., Czerwińska P., Wiznerowicz M. // Contemp Oncol (Pozn.). 2015. V. 19. № 1A. P. A68–77.
- Zakharova G., Efimov V., Raevskiy M., Rumiantsev P., Gudkov A., Belogurova-Ovchinnikova O., Sorokin M., Buzdin A. // Int. J. Mol. Sci. 2022. V. 24. № 1. P. 157.
- Netanely D., Avraham A., Ben-Baruch A., Evron E., Shamir R. // Breast Cancer Research. 2016. V. 18. № 1. P. 74.
- Eisenhauer E.A., Therasse P., Bogaerts J., Schwartz L.H., Sargent D., Ford R., Dancey J., Arbuck S., Gwyther S., Mooney M., et al. // European Journal of Cancer. 2009. V. 45. № 2. P. 228–247.
- Borisov N., Sorokin M., Tkachev V., Garazha A., Buzdin A. // BMC Med Genomics. 2020. V. 13. № Suppl 8. P. 111.
- Goldman M., Craft B., Swatloski T., Cline M., Morozova O., Diekhans M., Haussler D., Zhu J. // Nucleic Acids Res. 2015. V. 43. № Database issue. P. D812–D817.
- https://www.ncbi.nlm.nih.gov/geo/. (Accessed June 5, 2024)
- Edgar R., Domrachev M., Lash A.E. // Nucleic Acids Res. 2002. V. 30. № 1. P. 207–210.
- Kim E.L., Sorokin M., Kantelhardt S.R., Kalasauskas D., Sprang B., Fauss J., Ringel F., Garazha A., Albert E., Gaifullin N., et al. // Cancers (Basel). 2020. V. 12. № 2. P. 520.
- Sorokin M., Raevskiy M., Zottel A., Šamec N., Skoblar Vidmar M., Matjašič A., Zupan A., Mlakar J., Suntsova M., Kuzmin D.V., et al. // Cancers (Basel). 2021. V. 13. № 14. P. 3419.
- Borisov N., Sergeeva A., Suntsova M., Raevskiy M., Gaifullin N., Mendeleeva L., Gudkov A., Nareiko M., Garazha A., Tkachev V., et al. // Front Oncol. 2021. V. 11. P. 652063.
- Zolotovskaia M.A., Tkachev V.S., Guryanova A.A., Simonov A.M., Raevskiy M.M., Efimov V.V., Wang Y., Sekacheva M.I., Garazha A.V., Borisov N.M., et al. // Comput Struct Biotechnol J. 2022. V. 20. P. 2280–2291.
- Buzdin A., Tkachev V., Zolotovskaia M., Garazha A., Moshkovskii S., Borisov N., Gaifullin N., Sorokin M., Suntsova M. // Adv. Protein Chem. Struct. Biol. 2021. V. 127. P. 1–53.
- Love M.I., Huber W., Anders S. // Genome Biology. 2014. V. 15. № 12. P. 550.
- https://www.r-project.org/. (Accessed June 6, 2024)
- Kassambara A., Kosinski M., Biecek P., Fabian S. 2021. https://cran.r-project.org/web/packages/survminer/index.html. (Accessed June 6, 2024)
- Therneau T.M., Lumley T., Elizabeth A., Cynthia C. 2024. https://cran.r-project.org/web/packages/survival/index.html. (Accessed June 6, 2024)
- Ogle D.H., Doll J.C., Wheeler A.P., Dinno A. 2023. https://cran.r-project.org/web/packages/FSA/citation.html. (Accessed June 6, 2024)
- Fox J, Weisberg S. 2019. https://cran.r-project.org/web/packages/car/citation.html. (Accessed June 6, 2024)
- Wickham H. 2016. https://link.springer.com/book/10.1007/978-0-387-98141-3. (Accessed June 6, 2024)
- Gu Z., Eils R., Schlesner M. // Bioinformatics. 2016. V. 32. № 18. P. 2847–2849.
- Gao J., Pan H., Zhu Z., Yu T., Huang B., Zhou Y. // ABBS. 2020. V. 52. № 9. P. 975–987.
- Tseng P.-C., Chen C.-L., Shan Y.-S., Chang W.-T., Liu H.-S., Hong T.-M., Hsieh C.-Y., Lin S.-H., Lin C.-F. // Cell Communication and Signaling. 2014. V. 12. № 1. P. 69.
- Kawano T., Inokuchi J., Eto M., Murata M., Kang J.-H. // Cancers. 2022. V. 14. № 21. P. 5425.
- Ahir B.K., Engelhard H.H., Lakka S.S. // Mol. Neurobiol. 2020. V. 57. № 5. P. 2461–2478.
- Yu S., Zhang M., Huang L., Ma Z., Gong X., Liu W., Zhang J., Chen L., Yu Z., Zhao W., et al. // Aging (Albany NY). 2019. V. 11. № 24. P. 12295–12314.
- Debets D.O., Graaf E.L. de, Liefaard M.C., Sonke G.S., Lips E.H., Ressa A., Altelaar M. // iScience. 2024. V. 27. № 6. https://www.cell.com/iscience/abstract/S2589-0042(24)01080-0. (Accessed June 11, 2024)
Дополнительные файлы









