Дигидрокверцетин, инкапсулированный в липосомах, изменяет распределение фиброзной ткани в модели блеомицин-индуцированного фиброза
- Авторы: Иванов Е.В.1, Ахметшина М.Р.1, Гизатулина А.Р.1, Гуляев М.В.1, Павлова О.С.1, Пирогов Ю.А.1, Гаврилова С.А.1
-
Учреждения:
- Московский государственный университет имени М.В. Ломоносова
- Выпуск: Том 16, № 2 (2024)
- Страницы: 40-49
- Раздел: Экспериментальные статьи
- URL: https://journals.rcsi.science/2075-8251/article/view/263372
- DOI: https://doi.org/10.32607/actanaturae.27440
- ID: 263372
Цитировать
Аннотация
В модели легочного фиброза изучены эффекты антиоксиданта дигидрокверцетина, проникновение которого в очаг поражения было облегчено заключением в липосомы. Легочный фиброз моделировали у крыс введением блеомицина интратрахеально. Крысам одной экспериментальной группы в течение 7 дней вводили дигидрокверцетин в липосомах, в другой экспериментальной группе – соответствующее количество физиологического раствора. В третьей, контрольной группе интактные крысы не получали никакого воздействия. Через 30 суток исследовали размеры поражения и дыхательные объемы легких с помощью 7Т 1Н МРТ, легкие забирали для гистологического исследования. При окрашивании трихромом по Массону подсчитывали долю фиброзной ткани. Обе экспериментальные группы характеризовались значительным снижением функции легких, при низкой смертности и некрупном участке поражения. У крыс, получавших препарат, существенно изменилось распределение фиброзной ткани: значимо больше в центре очага поражения, значимо меньше в интерстициальном пространстве альвеол на фоне меньшей плотности легкого. Заключенный в липосомы дигидрокверцетин влияет на механизмы развития блеомицинового легочного фиброза у крыс. В то время как ускоренное фиброзирование очага поражения локализует воспаление, замедленное фиброзирование интерстиция может в дальнейшем улучшить функциональное состояние легких.
Ключевые слова
Полный текст
СПИСОК СОКРАЩЕНИЙ
АФК – активные формы кислорода; ДГК – дигидрокверцетин; ИП – импульсная последовательность; МРТ – магнитно-резонансная томография; FID – free induction decline, спад свободной индукции; FoV – field of view, поле зрения; HSV – hue-saturation-value; TE – echo time, время эхо; TR – repetition time, время повторения; UTE – ultra-short echo time, ультракороткое время эхо.
ВВЕДЕНИЕ
Распространенность легочного фиброза существенно возросла после пандемии COVID-19. Во многих исследованиях показано, что тяжелые случаи заболевания COVID-19 вызывали развитие легочного фиброза [1]. Выраженный фиброз приводит к развитию дыхательной недостаточности, существенно влияющей на продолжительность и качество жизни человека. Вторичный легочный фиброз возможен в исходе и других легочных инфекций, преимущественно – вирусных [2, 3]. Для лечения наиболее распространенной формы идиопатического легочного фиброза используются глюкокортикостероиды, азотиаприн, циклофосфамид, микофенолата мофетил и некоторые новые антифибротические препараты, такие, как нинтеданиб и пирфенидон [4, 5]. В то время как последние оказались достаточно эффективны для увеличения периода без прогрессирования заболевания на 3–5 лет и снижения ежегодной смертности, современная терапия не предоставляет возможности значительно продлить жизнь пациентов с легочным фиброзом.
Легочные альвеолы состоят из тонкого слоя альвеолоцитов, уязвимых к различным повреждающим факторам. Во время инфекционного процесса лейкоциты выделяют множество веществ, разрушающих патогены, инфицированные и здоровые клетки. К числу повреждающих факторов относятся активные формы кислорода (АФК), вырабатываемые нейтрофилами и макрофагами. Помимо прямого повреждения клеток, вызванного перекисным окислением липидов и окислением ДНК, АФК могут повреждать сурфактант и базальные мембраны, что впоследствии ухудшает репарацию легких [1, 2]. Преимущества применения антиоксидантов – простота, безопасность и доступность. Многие доклинические и большинство клинических исследований применения антиоксидантов при фиброзе легких не показали существенного эффекта. Возможные причины недостаточного действия антиоксидантов включают низкую эффективность отдельных выбранных препаратов или субстанций, неблагоприятный путь введения и доставки, нежелательное нарушение регуляторных путей, связанных с АФК [3, 4]. Существует множество механизмов, с помощью которых антиоксиданты могут улучшить течение легочного фиброза. Например, антиоксидант ресвератрол ослабил проявления фиброза у грызунов за счет ингибирования экспрессии Smad и Smad7, снижения пролиферации и дифференцировки фибробластов легких, уменьшения отложения коллагена [5].
Одна из наиболее перспективных групп антиоксидантов включает кверцетин и его производные, такие, как дигидрокверцетин (ДГК). В нескольких экспериментальных исследованиях кверцетин продемонстрировал способность ослаблять фиброз легких [6, 7]. L. Yuan и соавт. продемонстрировали, что ДГК заметно ослабляет у мышей воспаление легких и фиброз, вызванные SiO2 [8]. D. Impellizzeri и соавт. обнаружили сходные эффекты кверцетина в модели фиброза, индуцированного блеомицином [9]. Одним из основных ограничений использования кверцетина или ДГК в чистом виде при лечении фиброза легких является их низкая растворимость в воде. Неспецифическое введение антиоксидантов также может быть сопряжено с приоритетным захватом препарата нецелевыми тканями организма. Для решения этих проблем необходимы системы доставки. Показано, что липосомы пассивно проникают в очаги воспаления с большей частотой, чем в здоровые ткани, поскольку для таких областей характерно повышение проницаемости микроциркуляторного русла [10]. Различные липосомальные платформы in vivo показали свою эффективность в доставке антифибротических препаратов в очаг фиброза. J. Liu и соавт. обнаружили, что Nrf2-блокаторы в АФК-чувствительных липосомах эффективно проникают в очаг фиброза при ингаляционном пути введения препарата [11]. D. Li и соавт. показали эффективность ингаляционного введения липосом с препаратом в модели легочного фиброза [12]. В других исследованиях эффективность липосомальной доставки подтверждена для препаратов на основе РНК [13]. Хотя антифибротические препараты в липосомах не были исследованы в экспериментах с пероральным приемом препарата, значимая биодоступность при таком пути введения хорошо известна. Через лимфатические капилляры ворсин кишечника липосомы в неизмененном виде могут всасываться в системный кровоток [14–17].
В данном исследовании мы изучали воздействие дигидрокверцетина, эмульгированного в липосомах (эмульсия Фламена, НК «Фламена», Россия), использованного для предотвращения развития легочного фиброза у крыс, поскольку ранее была показана эффективность данной эмульсии при других патологиях, обусловленная противовоспалительными и антиоксидантными свойствами данной субстанции [18–21].
ЭКСПЕРИМЕНТАЛЬНАЯ ЧАСТЬ
Работа с лабораторными животными
При проведении исследований авторы руководствовались положениями Европейской конвенции по защите позвоночных животных, используемых для экспериментов или в иных научных целях, а также правилами проведения работ с использованием экспериментальных животных. Исследование одобрено на заседании биоэтического комитета факультета фундаментальной медицины МГУ имени М.В. Ломоносова (протокол № 2 от 09.02.2023 г.).
Самцы крыс массой 200–250 г (линия Wistar) были получены из питомника конвенционального содержания в Институте медико-биологических проблем РАН (ИМБП РАН, Москва, Россия). Всего в исследование после периода акклиматизации в 2 недели ввели 30 животных (10 в группе контроля, 20 моделировали легочный фиброз). В течение всего времени крыс содержали в конвенциональном виварии факультета фундаментальной медицины МГУ имени М.В. Ломоносова при 12-часовом цикле освещения, со свободным доступом к воде и стандартному комбикорму при рассадке по 3 животных в клетке стандартного размера Т3.
Моделирование легочного фиброза
30 животных разделили на три группы, по 10 крыс в каждой: Лечение, Фиброз, Контроль. Крысам в группе Контроль не проводили никаких вмешательств на протяжении эксперимента. В двух экспериментальных группах (Лечение, Фиброз) животным интратрахеально вводили блеомицин (7.5 мг/кг) под изофлурановой анестезией. Для точности введения и дозировки и равномерного поступления вещества в легкие введение раствора блеомицина проводили инъекционно. Кожу анестезированных крыс дезинфицировали, после чего короткий разрез выполняли над перстневидным хрящем гортани. Мягкие ткани сепарировали пинцетом таким образом, чтобы не вызвать кровотечения и не затронуть щитовидную железу. После визуализации гортани и трахеи головной конец манипуляционного столика поднимали. Необходимое количество препарата вводили медленно с помощью шприца. Доза и способ введения были подобраны по данным литературы [22, 23]. После введения ткани зашивали атравматическим шовным материалом, кожу обрабатывали антисептиком. 30-дневный период эксперимента был выбран для развития устойчивого фиброзирования.
Лечение
24 ч спустя крысам в экспериментальных группах начинали введение ДГК в липосомах (эмульсия Фламена) или стерильного физиологического раствора в равном количестве. В соответствии с патентными документами и данными исследований, Фламена – эмульсия фосфолипидов, содержащая лецитина 30 мг/мл, глицина 35 мг/мл, ДГК 4 мг/мл [20]. В процессе производства по крайней мере один мембранный фосфолипид вортексировали с водой и этанолом для получения липосомальной фазы, содержащей активные ингредиенты (Патент РУ 2369383, 30.10.2007). Комбинированный путь введения был выбран для достижения максимальной экспозиции препаратом. Ранее мы показали эффективность Фламены при пероральном введении в модели ишемии/реперфузии миокарда [19]. Эффективность при ингаляционном введении была ранее показана для липосомальных препаратов в других исследованиях. Результаты опубликованных и неопубликованных работ указывают на безопасность Фламены в широком диапазоне доз и путей введения [21]. Эмульсию комнатной температуры (25 мг/кг или 6.25 мл/кг) вводили per os через желудочный зонд. Далее животные получали препарат ингаляционно в 20-литровой камере через ультразвуковой ингалятор (приблизительно 5 мл препарата на 3 животных). Двойное введение препарата продолжали в течение 5 дней.
Конечная точка
Смертность оценивали вплоть до конечной точки. Массу животных измеряли перед конечной точкой. На 30-й день эксперимента выполняли МРТ для измерения размеров очагов поражения и дыхательных объемов. В процессе эвтаназии под глубокой анестезией в нижнюю полую вену вводили 1% раствор разведенного в фосфатно-солевом буфере нейтрального формалина до остановки сердца. После изъятия легкие взвешивали (весы Sartorius, точность 10 мг). Легкие заполняли 1% раствором разведенного в фосфатно-солевом буфере нейтрального формалина через трахею. Нижние и верхние доли обоих легких иссекали, поперечные участки толщиной до 6 мм вырезали для гистологического исследования и фиксировали в 4% разведенном в фосфатно-солевом буфере нейтральном формалине в течение 36 ч.
МРТ-исследование
МРТ-исследования проводили на МР-томографе Bruker BioSpec 70/30 USR («БиоСпин», Эттлинген, Германия) с постоянным магнитным полем 7 Тл, работающем с программной оболочкой ParaVision® версии 5.1 и оснащенном градиентным устройством с амплитудой градиента 105 мТл/м. МРТ-изображения легких получали с использованием объемной радиочастотной катушки «птичья клетка» с внутренним диаметром 72 мм. Для введения животных в наркоз применяли газовую смесь изофлурана и кислорода: сначала помещали животных в специальную камеру, в которую подавали 4%-ный изофлуран при скорости потока O2 1 л/мин; для поддержания анестезии в МР-томографе в носовую маску подавали 1.5%-ный изофлуран при потоке O2 1 л/мин. Изофлуран подавали с использованием испарителя от Ugo Basile S.R.L. I-21025 (Комерио, Италия), а кислород нарабатывался концентратором кислорода JAY-10 (Лунфиан Сайтех Ко., Лтд, Китай).
МРТ-изображения легких получали с использованием импульсной последовательности (ИП) 3D UTE (ultra-short echo time – ультракороткое время эхо), основанной на радиальном заполнении k-пространства [24]. Параметры сканирования были установлены следующим образом: область сканирования 7 × 7 × 7 см3, матрица сканирования 152 × 152 × 152, полоса пропускания частот 100 кГц, TE (echo time – время эхо) 18 мкс, TR (repetition time – время повторения) 8 мс, угол отклонения 6°, количество накоплений 1, количество радиальных проекций 72231, фактор ускорения путем децимации радиального k-пространства (polar undersampling) 1. Общее время сбора данных составило 9 мин и 38 с.
Постобработка данных МРТ
ИП на основе радиального сканирования, такие, как UTE, меньше подвержены влиянию артефактов движения, что позволяет проводить визуализацию легких без необходимости синхронизации дыхания. В результате МРТ-изображения легких усредняются по всему дыхательному циклу. Такие МРТ-изображения можно «ретроспективно стробировать» и сгенерировать два новых изображения, соответствующих фазам вдоха и выдоха. Такая дополнительная информация расширяет диагностические возможности МРТ для оценки заболеваний в легких.
Полученные МРТ-изображения легких обрабатывали по методике, изложенной в работе [25]. В ИП 3D UTE центр радиального k-пространства подвергается избыточной выборке, а величина первой точки каждой собранной проекции (FID, спад свободной индукции) модулируется дыхательным процессом. Следовательно, первые точки каждой проекции отражают фазу дыхания. Эти данные можно отсортировать для создания двух новых k-пространств с неполным заполнением, полученных из исходного k-пространства: одно представляет фазу вдоха, а другое – фазу выдоха. Последний шаг включает в себя восстановление «стробируемых» данных с использованием итеративной функции компенсации плотности с последующей повторной выборкой на декартовой сетке перед быстрым преобразованием Фурье.
Метод ретроспективного стробирования реализован с использованием языка программирования Python 3.8 и программы Matlab 2019b (MathWorks, Натик, Массачусетс, США), в результате чего были получены два набора МРТ-изображений, соответствующих фазам вдоха и выдоха. Поскольку фаза вдоха длится быстрее, чем фаза выдоха, то всего 8–10% всех проекций соответствуют фазе вдоха, а 55–60% – фазе выдоха. Следовательно, качество изображений (отношение сигнал/шум, четкость и разрешение), полученных на фазе выдоха, заметно выше. Исходя из этого, изображения на фазе выдоха использовали для сегментации масок легких на выдохе и масок патологии, а изображения на фазе вдоха – только для сегментации масок легких на вдохе. Маски легких и патологий сегментировали вручную с использованием программы ImageJ (NIH, Бетесда, Мэриленд, США) [26] с помощью инструмента «freehand selection tool» – «инструмент выделения от руки». На основе полученных бинарных масок путем суммирования ненулевых пикселей и умножения на пространственное разрешение изображений рассчитывали объем легких на вдохе (Vвдох), объем легких на выдохе (Vвыдох) и объем патологии – область воспаления/фиброза (Vпат). Дополнительно рассчитывали дыхательный объем легких (Vдых=Vвдох – Vвыдох), относительный дыхательный объем (Vдых/Vвыдох) и процент поражения легких (Vпат/Vвыдох). Параметр Vвыдох/m (мл/г) использовали для оценки плотности легких.
Гистологическая обработка
После фиксации ткань промывали проточной водой в течение 2 ч, затем дегидратировали в изопропиловом спирте, минеральном масле, парафине, заливали парафином. Стандартные микропрепараты толщиной 5 мкм изготавливали из парафиновых блоков с помощью микротома ThermoFisher 355S. Микропрепараты высушивали, после чего окрашивали гематоксилином и эозином по стандартной методике. Также препараты окрашивали по Массону (наборы для окрашивания по Массону BioVitrum, РФ) для выявления коллагена.
Слайды были проанализированы и оцифрованы с помощью микроскопа Zeiss Axio A2 и программного обеспечения Zeiss Zen. Изображения были дополнительно обработаны с помощью программного обеспечения ImageJ. Для оценки степени патологического поражения была разработана шкала оценки с максимумом в 27 баллов. Были оценены 9 параметров по 4-балльной шкале от 0 (нормальная ткань) до 3 баллов (нефункциональная ткань, общее воспаление, обильный фиброз) в каждом поле зрения (FoV): наличие альвеол, целостность альвеол, целостность бронхов, тяжесть воспаления, тип инфильтрации, некроз в FoV, наличие фиброзной ткани, интерстициальный фиброз, очаговый фиброз. На каждом слайде было усреднено десять случайных изображений поля зрения с 200-кратным увеличением.
Окрашенные по Массону препараты фотографировали в трех областях: участке патологического поражения, области альвеол, ближайшей к очагу поражения, и области, максимально удаленной от очага поражения. Для каждой области были отобраны 5 полей зрения с 200-кратным увеличением. На основе цветовой шкалы HSV выполняли сегментацию по синему и красному цвету. Далее рассчитывали общее количество синих и красных пикселей в областях, соотношение синего и красного окрашивания в каждом поле зрения.
Статистический анализ
Обработку данных и статистический анализ проводили с помощью языка программирования Python 3.8 и открытых библиотек алгоритмов. Статистический анализ выполняли с помощью библиотек Statsmodels и Scipy. В связи с небольшими размерами выборок использовали непараметрические критерии и универсальные статистические модели. Из библиотеки Statsmodels использовали смешанную линейную модель (mixed-effects generalized linear model, GLM) для анализа изменений факторов во времени. Для зависимых переменных использовали критерий Краскела–Уоллеса, затем post-hoc-тест множественных сравнений Dwass-Steel-Critchlow-Fligner (DSCF). Для оценки корреляций использовали R-критерий Спирмена. Значения р менее 0.05 считали статистически значимыми. Данные визуализировали с помощью диаграмм типа «ящик с усами», показывающих медианы, квартили, минимальные и максимальные значения, с помощью алгоритмов библиотек Matplotlib и Seaborn.
РЕЗУЛЬТАТЫ
Смертность и прирост массы
В ходе эксперимента смертность достигла 20% (N=2) в группе, получавшей физиологический раствор, из которых 1 крыса умерла после окончательного введения анестезии. В группе, получавшей Фламену, смертность составила 10% (N=1), при использовании критерия хи-квадрат существенной разницы обнаружено не было. Поскольку уровень смертности был низким, мы не проводили анализ выживаемости с учетом факторов риска смерти.
Прибавка массы тела в обеих группах была значительно снижена по сравнению с интактными крысами. Через 30 дней эксперимента интактные крысы набрали 23.93% (МКР 20.42, 28.33) от исходной массы тела, в то время как крысы, получавшие физиологический раствор, набрали 14.65% (МКР -8.55, 22.08, p = 0.047), а крысы, получавшие Фламену – 11.58% (МКР -1.21, 17.07, p = 0.01). У двух групп с фиброзом не было существенных различий в увеличении массы тела (р = 0.86).
Масса легких
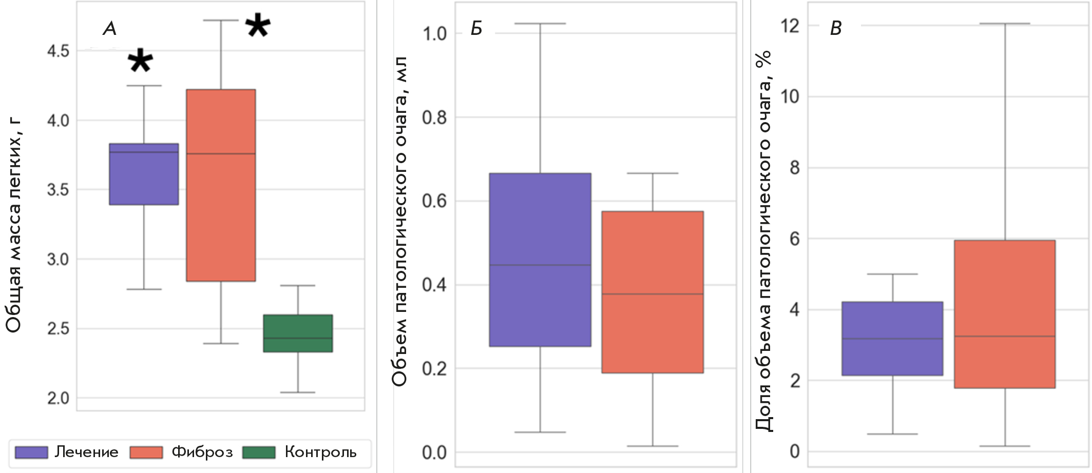
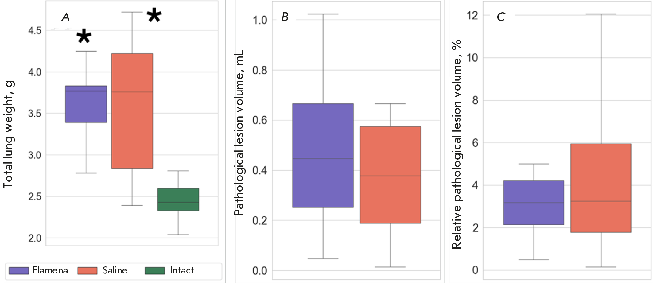
Общая масса легких в группах с фиброзом была в 1.5 раза выше по сравнению с интактными крысами. В группе, получавшей физиологический раствор, она составила 3.76 г (МКР 2.84, 4.22, p = 0.001 по сравнению с интактной группой, рис. 2А), в группе, получавшей Фламену, она достигла 3.77 г (МКР 3.39, 3.83, p < 0.001 по сравнению с интактной группой). В интактной группе средняя масса легких составила 2.43 г (МКР 2.33, 2.60). Показатели массы легких не отличались в двух группах с фиброзом (p = 0.796).
Рис. 2. Структурные изменения при блеомицин-индуцированном фиброзе. А – общая масса легкого, Б – абсолютный объем патологического очага, В – относительный объем патологического очага, %. * p < 0.05 по сравнению с интактной группой
Результаты МРТ
Примеры обработки результатов МРТ показаны на рис. 1.
Рис. 1. МРТ-снимки легких случайно выбранной крысы из группы с физиологическим раствором, а также соответствующие маски для легких и патологии. Данные представлены только для одного среза. A – исходное МРТ-изображение легких, Б – изображение фазы выдоха, В – изображение фазы вдоха, Г – маска патологии, Д – маска выдоха, Е – маска вдоха, Ж – маска патологии, наложенная на исходное МРТ-изображение легких, З – маска выдоха, наложенная на изображение выдоха, И – маска вдоха, наложенная на изображение фазы вдоха
Две группы не имели статистически значимых различий как в абсолютном объеме патологического очага (0.38 мл (МКР 0.18, 0.61) в группе физиологического раствора, 0.45 мл (МКР 0.25, 0.67) в группе Лечение, р = 0.606), так и в относительном объеме очага (3.24% (МКР 1.77, 6.04) в группе Фиброз, 3.18% (МКР 2.14, 4.22), р = 0.96, рис. 2Б и 2В).
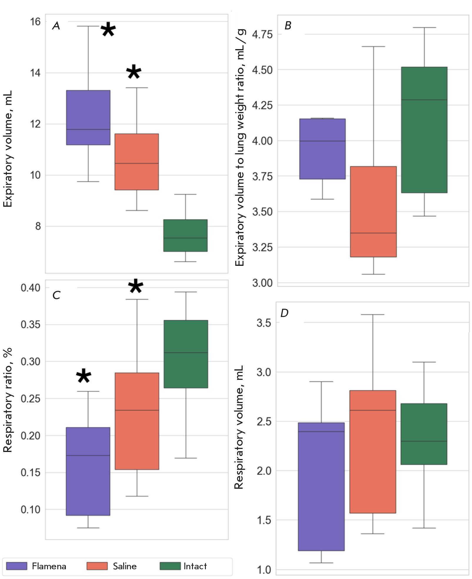
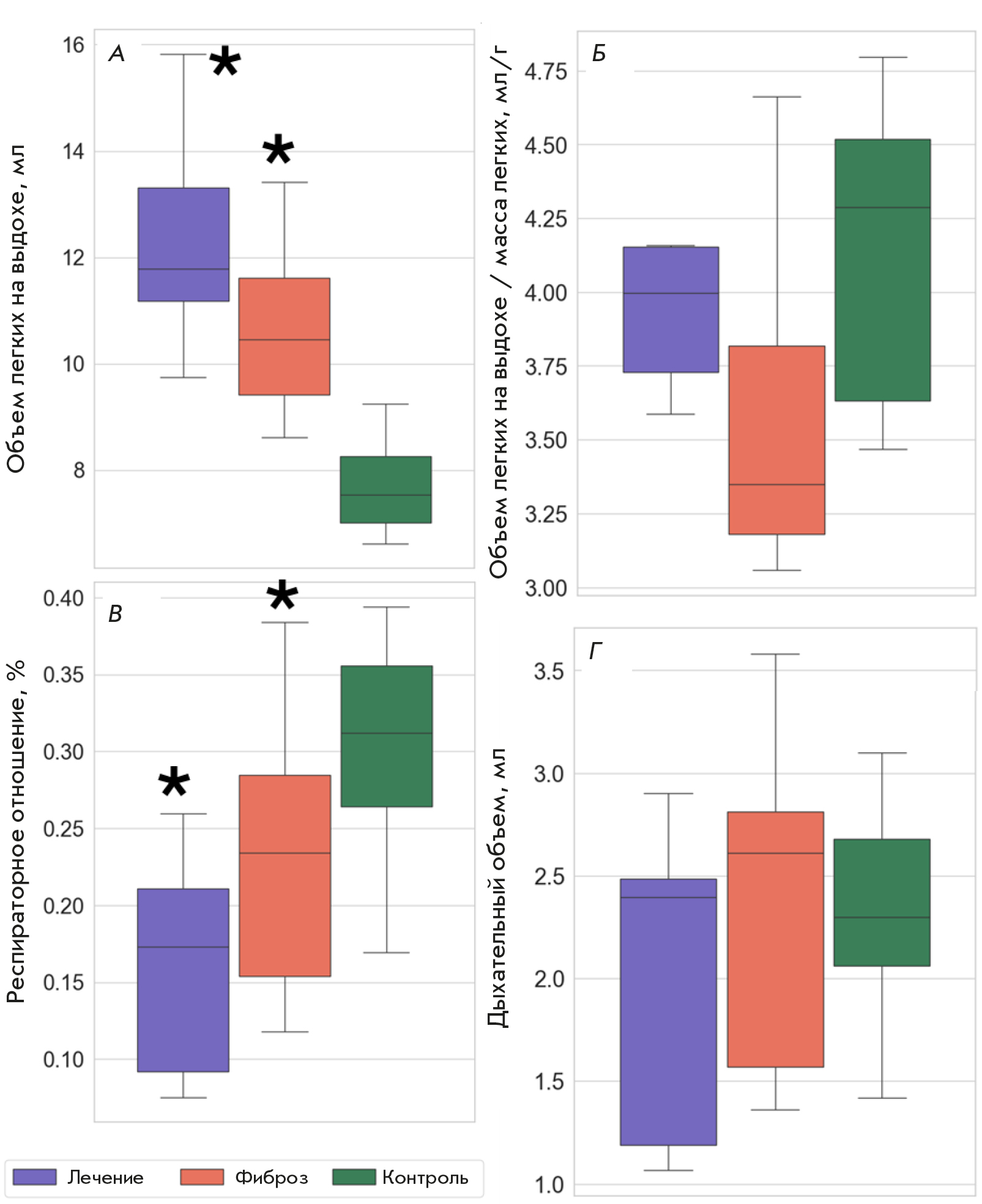
Объемы выдоха (Vвыдох) и вдоха (Vвдох) были выше в экспериментальных группах в сравнении с группой Контроль (табл. 1). В то время как респираторное отношение (Vдых/Vвыдох) было значимо ниже в группах с фиброзом по сравнению с группой Контроль, респираторный объем (Vдых) не отличался, возможно, из-за нерегулируемой частоты и глубины дыхания во время выполнения МРТ, что привело к широкому разбросу измерений (рис. 3). Среди всех характеристик объем на выдохе (Vвыдох) наиболее различался между группами Лечение и Фиброз, p = 0.074 (рис. 3А). Мы также рассчитали отношение объема на выдохе (Vвдох) к массе легких в качестве суррогатного признака плотности легких (рис. 3Б). В то время как в группе Фиброз объем легких на единицу массы был ниже по сравнению с группой Контроль (p = 0.027), что указывает на большую плотность, между группами Лечение и Контроль различий не было (p = 0.387). Медианные значения в группах Лечение и Фиброз показали близкие к статистически значимым различия с p = 0.059.
Таблица 1. Функциональные параметры легких для различных групп животных, используемых в эксперименте
Группа животных | Vвдох, мл | Vвыдох, мл | Vдых/Vвыдох, отн. ед. | Vпат/Vвыдох, % | ||||
ME | МКР | ME | МКР | ME | МКР | ME | МКР | |
Интактная | 9.76 | 9.49–10.20 | 7.54 | 7.04–8.16 | 0.31* | 0.27–0.35* | - | - |
0.9% раствор NaCl | 13.02 | 11.58–14.49 | 10.45 | 9.39–11.75 | 0.23* | 0.15–0.29* | 3.61 | 1.77–6.04 |
Фламена® | 14.27 | 13.59–15.75 | 11.78 | 11.18–13.31 | 0.17* | 0.09–0.21* | 3.52 | 2.11–4.61 |
Примечание. ME – медианные значения, МКР – межквартильный размах. *p < 0.05.
Рис. 3. Функциональные изменения легких при фиброзе, вызванном блеомицином. А – объем выдоха, Б – отношение объема выдоха к массе легких, В – дыхательный коэффициент, Г – дыхательный объем. * р < 0.05 по сравнению с интактной группой
Гистологическое исследование
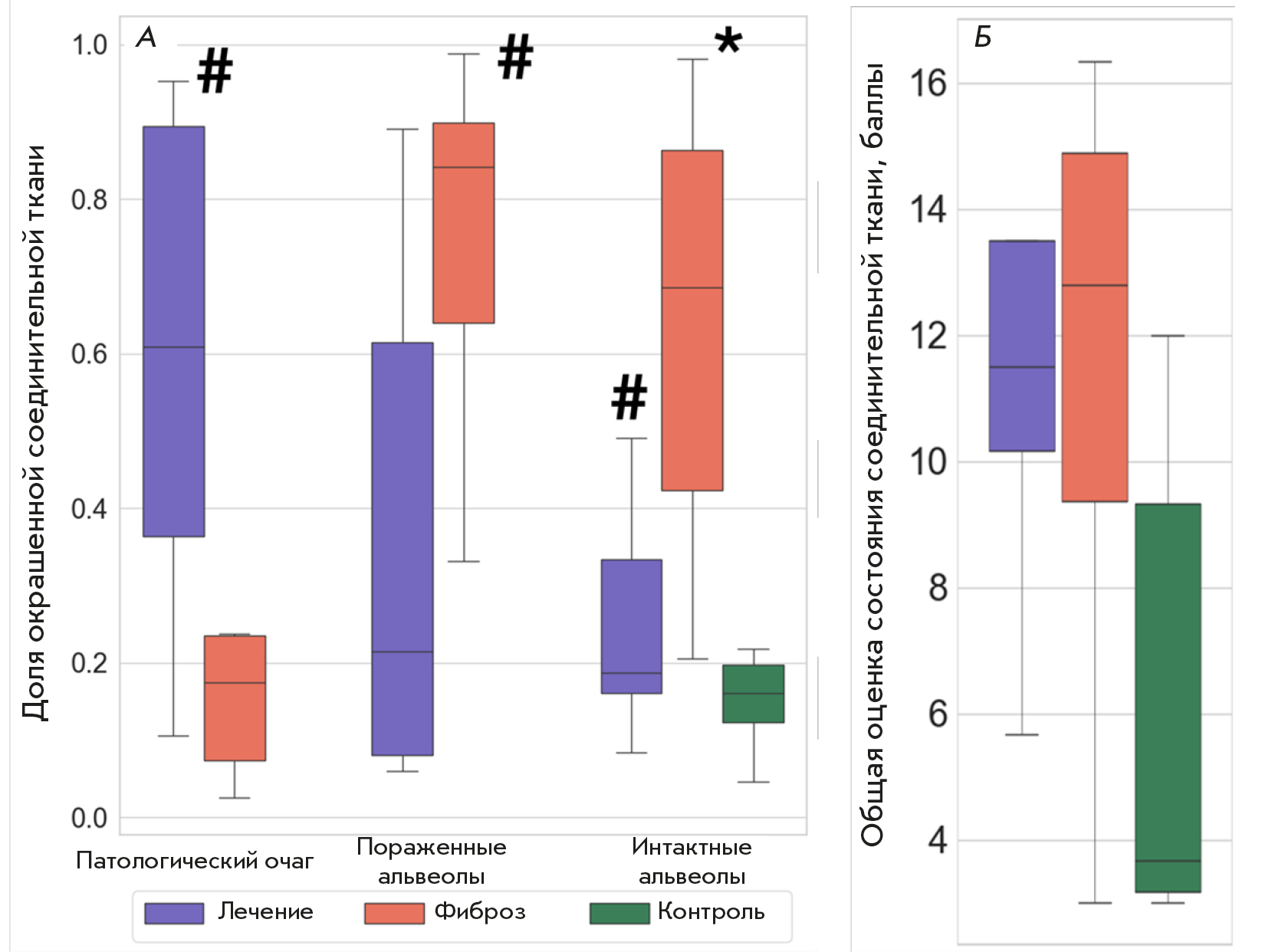
Гистологический анализ проводили на срезах, полученных из основания долей, где были обнаружены более крупные повреждения. Срезы, окрашенные гематоксилином и эозином, оценивали полуколичественным методом с максимальной оценкой в 27 баллов. Анализ проводили с усреднением случайных полей зрения, общий балл не отличался в двух группах: медиана составила 12.8 балла (МКР 9.36, 14.88) в группе Фиброз и 11.5 балла (МКР 10.17, 13.50, p = 0.918) в группе Лечение (рис. 4А).
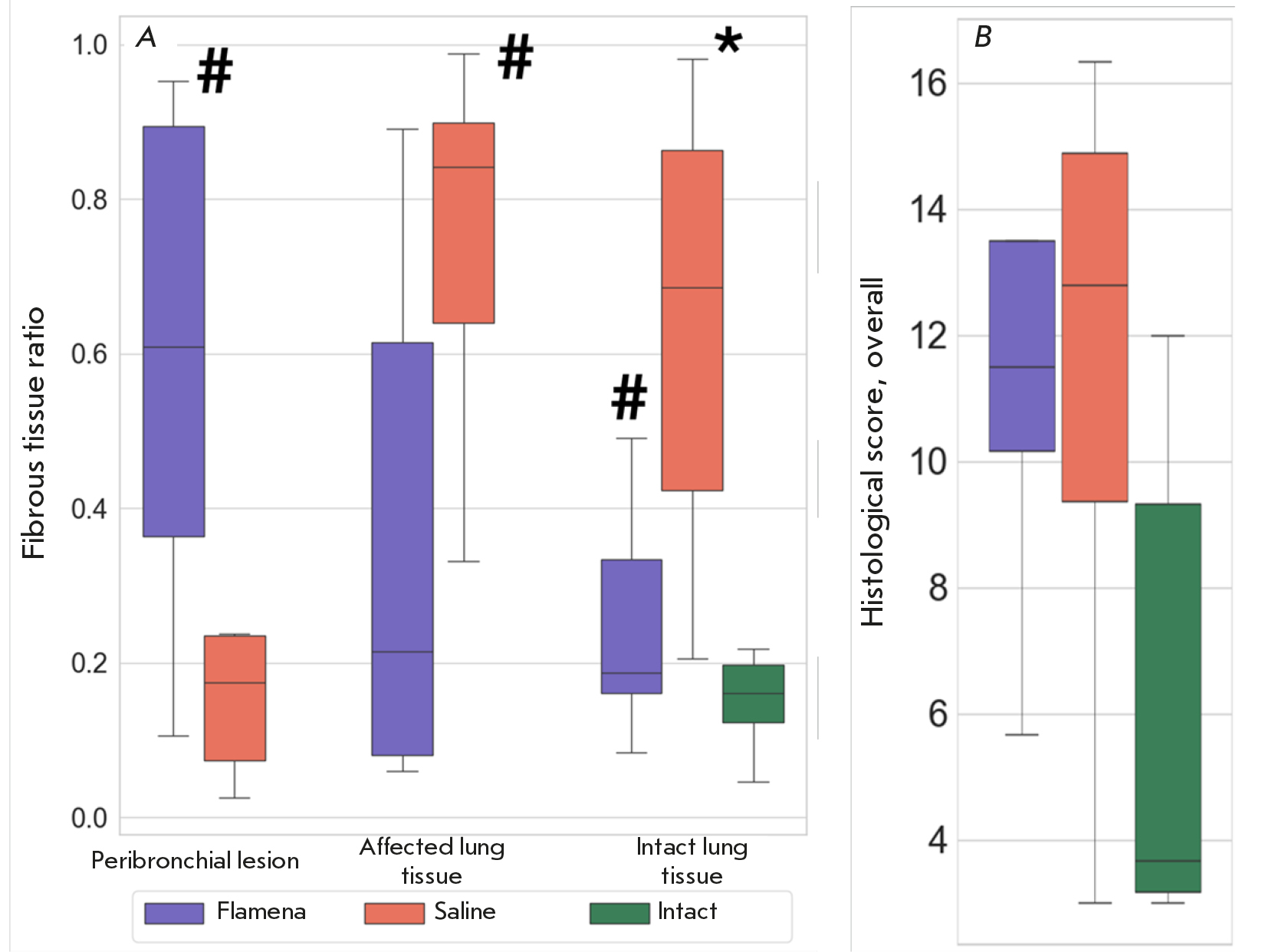
Рис. 4. Оценка гистологической целостности. А – соотношение площадей синих и красных пикселей, Б – общий балл гистологической целостности. *p < 0.05 по сравнению с интактной группой, #p < 0.05 по сравнению с группой, получавшей физиологический раствор
Окрашивание по Массону показало, что коллагеновые пучки распределены по-разному в группах Лечение и Фиброз. Фиброзирование внутри патологического очага представляет собой завершенную фазу воспаления, и в группе Лечение обнаружено более интенсивное окрашивание коллагена. Несмотря на тот же размер поражения, в группе, получавшей физиологический раствор, на большинстве препаратов отложение коллагена было выражено не так сильно, с большим количеством некрозов, воспалений и волокон, не окрашенных по Массону. Соотношение синего и красного окрашивания в патологическом очаге составило 0.61 (МКР 0.35, 0.92) в группе Лечение и 0.16 (МКР 0.07, 0.23) в группе Фиброз (p = 0.006, рис. 4Б). В наиболее пораженной легочной ткани соотношение синего и красного окрашивания было значительно выше в группе, получавшей физиологический раствор, и составило 0.21 (МКР 0.12, 0.62) против 0.72 (МКР 0.64, 0.92), р = 0.01. В наиболее интактной легочной ткани также было выявлено более интенсивное окрашивание интерстициального коллагена в группе, получавшей физиологический раствор, с соотношением 0.71 (МКР 0.42, 0.85) против 0.19 (МКР 0.16, 0.34), р = 0.01. Окрашивание коллагеном интактных тканей было сопоставимо с таковым в группе Лечение (0.17 (МКР 0.12, 0.2), p = 0.27). Как правило, наряду с утолщением интерстициального пространства и интенсивным воспалением присутствовало отложение интерстициальной фиброзной ткани (рис. 5).
Рис. 5. Гистологические срезы легких, иллюстрирующие закономерности отложения коллагена. А, Б – патологическое поражение легких для крыс из групп Лечение и Фиброз соответственно. В, Г – нормальная легочная ткань для крыс из группы Лечение и Фиброз соответственно. Синим окрашен коллаген базальных мембран альвеол. Окраска трихромом по Массону, увеличение в 200 раз
ОБСУЖДЕНИЕ
Антиоксидантная терапия легочного фиброза была изучена во многих исследованиях с обнадеживающими, но все еще не достаточными результатами. В нашем исследовании мы оценивали препарат стабилизованного дигидрокверцетина в липосомах на крысиной модели фиброза, вызванного блеомицином. Последняя является одной из наиболее изученных и широко используемых экспериментальных моделей легочного фиброза, поэтому ее особенности хорошо известны. Липосомальный транспорт улучшает стабильность и эффективность ДГК, поэтому мы ожидали получить заметные терапевтические эффекты. Липосомы также обеспечивают избирательность в отношении очагов воспаления [10]. Длительность приема была произвольной, более высокая суммарная доза или длительный период лечения потенциально могли привести к лучшим результатам. Поскольку ранее мы обнаружили, что Фламена эффективна в модели ишемии/реперфузии миокарда крыс, мы ожидали увеличения экспозиции при комбинированном лечении [19]. Мы решили лечить крыс через 24 ч после инъекции блеомицина, имитируя профилактическое антифиброзное лечение при тяжелой легочной инфекции, такой, как COVID-19.
В нашем исследовании общая смертность была низкой, и какие-либо статистические изменения в отношении выживаемости были невозможны. Мы использовали 7T МРТ как один из лучших методов для изучения размера поражения и экскурсии легких. В большинстве случаев патологические изменения не занимали большую часть легких. Поэтому при любом типе вмешательства было трудно добиться значимых расхождений. Кроме изменения веса и плотности легких, мы наблюдали значительное изменение степени легочной дисфункции. У крыс, получавших Фламену, выявлена тенденция к уменьшению плотности легких, что является важным признаком менее выраженного воспаления и фиброза.
Существует множество разновидностей моделей фиброза, вызванного блеомицином, и они сопровождаются различной степенью патологического поражения. Однократное интратрахеальное введение обычно приводит к сопоставимым с описанными нами результатам. В течение 1 месяца у самцов крыс обычно не наблюдается летального исхода и уровень смертности низок [27]. Хотя в большинстве исследований не проводится количественное измерение объема поражения, в тех, где были проведены необходимые измерения, сообщается о доле фиброзной ткани около 3% от общего объема, как и в нашем исследовании [28, 29]. Обнаруженные нами гистологические изменения в тканях легких были похожи на те, о которых сообщалось в литературе: широко распространенная воспалительная инфильтрация, очаги некроза, пучки коллагеновых волокон. Альвеолы вблизи патологических очагов имели более толстые стенки, обычно были слитыми и дисфункциональными, с поврежденными стенками [30, 31]. Согласно литературным данным [22, 27], легочный фиброз в модели блеомицинового повреждения становится значительным уже через 2 недели после начала лечения и сохраняется в течение нескольких месяцев. В то время как через 3–6 месяцев после инъекции фиброз у грызунов может перейти в стадию разрешения, он проявляется в полной мере через 1 месяц после инъекции [32–35]. Мы обнаружили значительный уровень фиброзирования, характер которого различен у крыс, получавших и не получавших лечение.
В нашем исследовании применение препарата Фламена значительно изменило распространение фиброзной ткани. Интерстициальный фиброз является серьезным осложнением, которое может привести к дальнейшему снижению функции легких, и его признаки были менее заметны в группе, получавшей лечение. Напротив, увеличение количества фиброзной ткани внутри патологического очага является положительным признаком, поскольку указывает на более быстрое разрешение воспалительных реакций. Кверцетин – это препарат, который уменьшает признаки старения. Он взаимодействует со стареющими клетками, усиливает их апоптоз и снижает фиброгенный потенциал. ДГК в стабилизированной форме является более мощным антиоксидантом, и мы ожидали, что он будет по меньшей мере таким же эффективным, как кверцетин. Показана эффективность ДГК при различных заболеваниях, но он не был так подробно изучен при блеомициновом фиброзе. Мы показали, что ДГК при липосомальной доставке может изменять механизмы развития блеомицинового фиброза. Хотя это не вызвало значимых изменений в функциональном состоянии легких, различия могут быть обнаружены на более длительных сроках.
ЗАКЛЮЧЕНИЕ
Наше исследование показало, что стабилизированный ДГК может значительно модифицировать легочный фиброз у крыс и изменить его признаки. Фиброз внутри патологического очага является естественным исходом, препятствующим распространению инфекции и воспаления. Более быстрая организация патологического очага может быть полезной, поскольку сохраняет функции интактной ткани. Прогрессирование интерстициального фиброза в функциональных альвеолах, напротив, может привести к тяжелым респираторным нарушениям. Мы впервые изучили эффекты воздействия стабилизированного дигидрокверцетина в липосомах при фиброзе легких, вызванном блеомицином, и обнаружили, что он ограничивает интерстициальный фиброз. Необходимы дальнейшие исследования с более длительным сроком эксперимента и другими протоколами введения блеомицина, чтобы выяснить, может ли ДГК снизить заболеваемость и смертность в долгосрочной перспективе.
Исследование выполнено за счет гранта Российского научного фонда № 21-75-10038.
Об авторах
Е. В. Иванов
Московский государственный университет имени М.В. Ломоносова
Автор, ответственный за переписку.
Email: ivanovev102@yandex.ru
факультет фундаментальной медицины
Россия, Москва, 119991М. Р. Ахметшина
Московский государственный университет имени М.В. Ломоносова
Email: ivanovev102@yandex.ru
факультет фундаментальной медицины
Россия, Москва, 119991А. Р. Гизатулина
Московский государственный университет имени М.В. Ломоносова
Email: ivanovev102@yandex.ru
факультет фундаментальной медицины
Россия, Москва, 119991М. В. Гуляев
Московский государственный университет имени М.В. Ломоносова
Email: ivanovev102@yandex.ru
факультет фундаментальной медицины
Россия, Москва, 119991О. С. Павлова
Московский государственный университет имени М.В. Ломоносова
Email: ivanovev102@yandex.ru
факультет фундаментальной медицины
Россия, Москва, 119991Ю. А. Пирогов
Московский государственный университет имени М.В. Ломоносова
Email: ivanovev102@yandex.ru
физический факультет
Россия, Москва, 119991С. А. Гаврилова
Московский государственный университет имени М.В. Ломоносова
Email: ivanovev102@yandex.ru
факультет фундаментальной медицины
Россия, Москва, 119991Список литературы
- Walters D.M., Cho H.Y., Kleeberger S.R. // Antioxid. Redox Signal. 2008. V. 10. № 2. P. 321–332. doi: 10.1089/ARS.2007.1901.
- Otoupalova E., Smith S., Cheng G., Thannickal V.J. // Compr. Physiol. 2020. V. 10. № 2. P. 509–547. doi: 10.1002/CPHY.C190017.
- Gonzalez-Gonzalez F.J., Chandel N.S., Jain M., Budinger G.R.S. // Transl. Res. 2017. V. 190. P. 61–68. doi: 10.1016/J.TRSL.2017.09.005.
- Diebold L.P., Jain M. // Am. J. Respir. Cell Mol. Biol. 2023. V. 69. № 1. P. 3–5. doi: 10.1165/RCMB.2023-0110ED.
- Huo R., Huang X., Yang Y., Yang Y., Lin J. // Front. Pharmacol. 2023. V. 14. P. 1139460. doi: 10.3389/FPHAR.2023.1139460.
- Hohmann M.S., Habiel D.M., Coelho A.L., Verri W.A., Hogaboam C.M. // Am. J. Respir. Cell Mol. Biol. 2019. V. 60. № 1. P. 28–40. doi: 10.1165/RCMB.2017-0289OC.
- Boots A.W., Veith C., Albrecht C., Bartholome R., Drittij M.J., Claessen S.M.H., Bast A., Rosenbruch M., Jonkers L., van Schooten F.J., et al. // BMC Pulm. Med. 2020. V. 20. № 1. doi: 10.1186/S12890-020-1142-X.
- Yuan L., Sun Y., Zhou N., Wu W., Zheng W., Wang Y. // Front. Pharmacol. 2022. V. 13. P. 845600. doi: 10.3389/FPHAR.2022.845600.
- Impellizzeri D., Talero E., Siracusa R., Alcaide A., Cordaro M., Maria Zubelia J., Bruschetta G., Crupi R., Esposito E., Cuzzocrea S., et al. // Br. J. Nutr. 2015. V. 114. № 6. P. 853–865. doi: 10.1017/S0007114515002597.
- van Alem C.M.A., Metselaar J.M., van Kooten C., Rotmans J.I. // Pharmaceutics. 2021. V. 13. № 7. P. 1004. doi: 10.3390/PHARMACEUTICS13071004.
- Liu J., Wu Z., Liu Y., Zhan Z., Yang L., Wang C., Jiang Q., Ran H., Li P., Wang Z. // J. Nanobiotechnology. 2022. V. 20. № 1. P. 213. doi: 10.1186/S12951-022-01435-4.
- Li D., Zhao A., Zhu J., Wang C., Shen J., Zheng Z., Pan F., Liu Z., Chen Q., Yang Y. // Small. 2023. V. 19. № 30. e2300545. doi: 10.1002/SMLL.202300545.
- Cheng D., Li Z., Wang Y., Xiong H., Sun W., Zhou S., Liu Y., Ni C. // J. Transl. Med. 2022. V. 20. № 1. P. 523. doi: 10.1186/S12967-022-03740-W.
- Ashkar A., Sosnik A., Davidovich-Pinhas M. // Biotechnol. Adv. 2022. V. 54. P. 107789. doi: 10.1016/J.BIOTECHADV.2021.107789.
- Managuli R.S., Raut S.Y., Reddy M.S., Mutalik S. // Expert. Opin. Drug Deliv. 2018. V. 15. № 8. P. 787–804. doi: 10.1080/17425247.2018.1503249.
- Zhang L., Wang S., Zhang M., Sun J. // J. Drug Target. 2013. V. 21. № 6. P. 515–527. doi: 10.3109/1061186X.2013.789033.
- Jash A., Ubeyitogullari A., Rizvi S.S.H. // J. Mater. Chem. B. 2021. V. 9. № 24. P. 4773–4792. doi: 10.1039/D1TB00126D.
- Mereuta I., Valica V., Parii S., Caraus V., Clecicov M., Svet V., Cernat M. // Revistă ştiinţifico-practică. 2016. V. 2. № 1. P. 75–83.
- Matveev D.V., Gavrilova S.A., Kuznetsov M.R., Akhmetshina M.R., Ivanov E.V., Evteev A.V., Kuznetsova M.M., Nochnoy M.S. // Head and Neck J. 2022. V. 10. № 4. P. 16–23. doi: 10.25792/HN.2022.10.4.16-23.
- Ovcharuk E.A., Khabarov S.V., Khadartseva K.A. // J. New Med. Technol. 2018. V. 25. № 3. P. 87–95. doi: 10.24411/1609-2163-2018-16234.
- Mereuţă I., Parii S., Carauş V., Valica V. // Revista Farmaceutică a Moldovei. 2016. V. 1. № 4. P. 27–27.
- Danaei N., Kokhdan E.P., Sadeghi H., Sadeghi H., Hassanzadeh S., Rostamzadeh D., Azarmehr N., Ghoran S.H. // Evid Based Complement Alternat Med. 2022. V. 2022. P. 1–9. doi: 10.1155/2022/6208102.
- Ren Y.-X., Zhou R., Tang W., Wang W.-H., Li Y.-C., Yang Y.-F., Zuo J.-P. // Acta Pharmacol. Sin. 2007. V. 28. № 4. P. 518–525. doi: 10.1111/j.1745-7254.2007.00524.x.
- Togao O., Tsuji R., Ohno Y., Dimitrov I., Takahashi M. // Magn. Reson. Med. 2010. V. 64. № 5. P. 1491–1498. doi: 10.1002/MRM.22521.
- Stecker I.R., Freeman M.S., Sitaraman S., Hall C.S., Niedbalski P.J., Hendricks A.J., Martin E.P., Weaver T.E., Cleveland Z.I. // J. Magn. Reson. Open. 2021. V. 6–7. P. 100013. doi: 10.1016/J.JMRO.2021.100013.
- Schneider C.A., Rasband W.S., Eliceiri K.W. // Nat. Methods. 2012. V. 9. № 7. P. 671–675. doi: 10.1038/NMETH.2089.
- Gharaee-Kermani M., Hatano K., Nozaki Y., Phan S.H. // Am. J. Pathol. 2005. V. 166. № 6. P. 1593–1606. doi: 10.1016/S0002-9440(10)62470-4.
- Babin A.L., Cannet C., Gérard C., Wyss D., Page C.P., Beckmann N. // J. Magn. Reson. Imaging. 2011. V. 33. № 3. P. 603–614. doi: 10.1002/JMRI.22476.
- Scotton C.J., Hayes B., Alexander R., Datta A., Forty E.J., Mercer P.F., Blanchard A., Chambers R.C. // Eur. Respir. J. 2013. V. 42. № 6. P. 1633–1645. doi: 10.1183/09031936.00182412.
- Izbicki G., Segel M.J., Christensen T.G., Conner M.W., Breuer R. // Int. J. Exp. Pathol. 2002. V. 83. № 3. P. 111. doi: 10.1046/J.1365-2613.2002.00220.X.
- Mouratis M.A., Aidinis V. // Curr. Opin. Pulm. Med. 2011. V. 17. № 5. P. 355–361. doi: 10.1097/MCP.0B013E328349AC2B.
- Li S., Shi J., Tang H. // Cell Biol. Toxicol. 2022. V. 38. № 5. P. 699–723. doi: 10.1007/S10565-021-09676-Z.
- Moore B.B., Hogaboam C.M. // Am. J. Physiol. Lung Cell. Mol. Physiol. 2008. V. 294. № 2. P. L152-L160. doi: 10.1152/AJPLUNG.00313.2007.
- Ishida Y., Kuninaka Y., Mukaida N., Kondo T. // Int. J. Mol. Sci. 2023. V. 24. № 4. P. 3149. doi: 10.3390/IJMS24043149.
- Della Latta V., Cecchettini A., Del Ry S., Morales M.A. // Pharmacol. Res. 2015. V. 97. P. 122–130. doi: 10.1016/J.PHRS.2015.04.012.
Дополнительные файлы







