Serum levels of the soluble transmembrane adhesion molecule P-cadherin in healthy women and in patients with malignant and benign ovarian tumors
- Authors: Kushlinskii N.E.1,2, Kovaleva O.V.1, Gratchev A.N.1, Kulikova S.E.2,3, Gugnin F.A.3, Nezhdanova S.Y.2, Tsekatunov D.A.4, Ryzhavskaya I.B.4, Kushlinskiy D.N.5, Zybina N.N.6, Gershtein E.S.1, Stilidi I.S.1
-
Affiliations:
- N.N. Blokhin National Medical Research Center of Oncology
- Russian University of Medicine
- Moscow Municipal Oncologic Hospital No. 62
- Khabarovsk Territory Regional Clinical Center of Oncology
- Far Eastern State Medical University
- The Nikiforov Russian Center of Emergency and Radiation Medicine
- Issue: Vol 53, No 1 (2025)
- Pages: 1-8
- Section: ARTICLES
- URL: https://journals.rcsi.science/2072-0505/article/view/285168
- DOI: https://doi.org/10.18786/2072-0505-2025-53-001
- ID: 285168
Cite item
Full Text
Abstract
Background: Cadherins are calcium-dependent transmembrane glycoproteins whose extracellular domains mediate homophilic intercellular interactions. Their soluble forms (s-cadherins), generated through proteolytic cleavage of transmembrane proteins or alternative mRNA splicing, are not anchored in the cell membrane and circulate in the extracellular space or peripheral blood. In the context of carcinogenesis, the role of P-cadherin remains a matter of debate: some studies associate P-cadherin with tumor growth suppression, while others indicate its tumor-promoting properties. Publications on the significance of the soluble P-cadherin in various disorders are scarce.
Aim: To perform a comparative analysis of serum sP-cadherin levels in healthy women and in patients with malignant and benign ovarian tumors to assess the clinical significance of the marker.
Methods: The retrospective study included 56 patients with epithelial malignant ovarian tumors (median age 57 years), 10 patients with benign ovarian tumors (median age 55 years), and 11 healthy women (median age 56 years) who underwent examination and treatment from 2023 to 2024 in three oncology clinics. Serum levels of sP-cadherin before the initiation of specific treatment were determined with the Human P-Cadherin ELISA Kit (RayBiotech, USA).
Results: In the ovarian cancer group, the majority of the patients had the serous type of the tumor (n = 46, 82%), stage III to IV of the disease (n = 45, 80%), T3 and T4 tumors (n = 42, 75%), mostly without regional (N0: n = 41, 73%) and distant metastases (M0: n = 43, 77%). The results of the ROC analysis showed that serum levels of the soluble P-cadherin could not be used as a reliable diagnostic criterion for ovarian malignancies: the area under the curve (AUC) was 0.793 (confidence interval 0.671 to 0.915; p = 0.002). At the optimal cut-off value of 3.01 ng/mL, the test’s sensitivity and specificity were 77% and 73%, respectively. The serum sP-cadherin levels did not show a significant correlation with the key clinical and morphological characteristics of ovarian cancer.
Conclusion: Patients with ovarian cancer have an increased serum sP-cadherin level. Further research on this glycoprotein to assess its role in disease outcomes and chemotherapy efficacy is expedient.
Keywords
Full Text
Рак яичников занимает одно из ведущих мест среди причин смерти от онкологических заболеваний у женщин, главным образом из-за поздней диагностики. Заболеваемость составляет около 11 случаев на 100 тыс. женщин в год, а пятилетняя выживаемость не превышает 49%, что связано с высокой склонностью опухоли к метастазированию [1]. К ключевым молекулярным механизмам, способствующим развитию и прогрессии большинства солидных опухолей, в том числе рака яичников, относят нарушение работы белков семейства кадгеринов, которые регулируют клеточную адгезию и поддержание тканевой структуры.
Кадгерины представляют собой кальций-зависимые трансмембранные молекулы адгезии. На основе сходства последовательностей они были разделены на пять подсемейств: классические типы I и II (E-, P-, N- и VE-кадгерины), атипичные (T-кадгерины), десмосомальные (десмоглеины, десмоколлины), протокадгерины и родственные кадгеринам белки [2, 3].
Классическое семейство кадгеринов включает несколько типов белков: E-кадгерин (эпителиальный), N-кадгерин (нейронный), P-кадгерин (плацентарный), VE-кадгерин (сосудисто-эндотелиальный), R-кадгерин (ретинальный) и K-кадгерин (почечный). Среди классического семейства кадгеринов выделяют Р-кадгерин, который был описан в 1986 г. как представитель нового класса кадгеринов, присутствующий в клетках плаценты, децидуальной оболочке матки и участвующий в формировании плацентарных структур, обеспечивая транспорт веществ между матерью и плодом [4]. P-кадгерин имеет около 67% гомологии с E-кадгерином, но отличается в основном структурой внеклеточного домена и изучен в значительно меньшей степени [5]. Данный белок также присутствует во многих тканях взрослого организма, где обычно коэкспрессируется с E-кадгерином, включая базальный слой эпидермиса, молочную железу, простату, мезотелий, яичники, шейку матки, волосяные фолликулы и др. [6]. Кроме своей роли в поддержании тканевой структуры, P-кадгерин участвует в развитии ряда патологий – наследственных генетических синдромов, аутоиммунных и онкологических заболеваний [7–10].
Растворимые формы кадгеринов (s-кадгерины) не закреплены в клеточной мембране и циркулируют во внеклеточном пространстве или в периферической крови. Эти формы образуются вследствие протеолитического расщепления трансмембранных белков или альтернативного сплайсинга их мРНК [11].
В контексте канцерогенеза роль P-кадгерина остается предметом дискуссий, поскольку его функциональное значение различается в зависимости от нозологии опухоли и ее молекулярных особенностей. Например, в случае меланомы, немелкоклеточного рака легкого, плоскоклеточного рака полости рта и гепатоцеллюлярной карциномы P-кадгерин проявляет свойства, схожие с E-кадгерином, подавляя опухолевый рост. Однако в некоторых опухолевых моделях, таких как рак мочевого пузыря, простаты и толстой кишки, наблюдаются противоречивые эффекты. Таким образом, одни исследователи связывают P-кадгерин с подавлением опухолевого роста [12], тогда как другие указывают на его опухоль-промотирующую роль [13–15]. Эти различия, вероятно, обусловлены используемыми клеточными моделями, методами иммунодетекции и функциями, приписываемыми P-кадгерину в мембране или цитоплазме клетки. Исследования, посвященные значению растворимой формы P-кадгерина при различных патологиях, в литературе единичны.
Цель данной работы – сравнительный анализ содержания растворимой формы Р-кадгерина в сыворотке крови здоровых женщин и пациенток со злокачественными и доброкачественными опухолями яичников для оценки потенциального клинического значения данного маркера.
Материал и методы
В ретроспективное исследование включены 56 больных эпителиальными злокачественными опухолями яичников (медиана возраста – 57 лет), 10 пациенток с доброкачественными опухолями яичников (медиана возраста – 55 лет) и 11 практически здоровых женщин (медиана возраста – 56 лет), проходивших в период с 2023 по 2024 г. обследование и лечение в ФГБУ «Национальный медицинский исследовательский центр онкологии им. Н.Н. Блохина» Минздрава России (ФГБУ «НМИЦ онкологии им. Н.Н. Блохина» Минздрава России), КБУЗ «Краевой клинический центр онкологии» Минздрава Хабаровского края и ГБУЗ г. Москвы «Московская городская онкологическая больница № 62 Департамента здравоохранения города Москвы». Клинический диагноз у всех пациенток подтвержден данными морфологического исследования опухоли согласно «Классификации ВОЗ: опухоли женских половых органов» (5-е издание) [16].
Концентрацию растворимой формы Р-кадгерина определяли в сыворотке крови, полученной по стандартной методике до начала лечения, с помощью набора реактивов для иммуноферментного анализа Human P-Cadherin ELISA Kit (RayBiotech, США) в соответствии с инструкциями производителя. Измерения проводили на автоматическом иммуноферментном анализаторе BEP 2000 Advance (Siemens Healthcare Diagnostics, Германия). Содержание маркера выражали в нанограммах (нг) на 1 мл сыворотки крови.
Проведение данного исследования одобрено этическим комитетом ФГБУ «НМИЦ онкологии им. Н.Н. Блохина» Минздрава России (протокол № 9 от 25.09.2024).
Полученные данные обрабатывали с помощью программы GraphPad Prizm 10.0. При сравнении показателей и анализе их взаимосвязей использовали непараметрические критерии Манна – Уитни, Краскела – Уоллиса, коэффициент ранговой корреляции Спирмена. Анализ информативности диагностического метода с помощью оценки его чувствительности и специфичности проводили с помощью построения ROC-кривых и вычисления площади под ними (англ. area under the curve, AUC). Различия и корреляции считали статистически значимыми при p < 0,05.
Результаты
Исследуемую когорту составили 56 первичных больных злокачественными опухолями яичников. По гистологическому типу в выборке преобладала серозная форма опухоли – у 46 (82%) пациенток. Первая и вторая стадии заболевания были у 11 (20%) пациенток, III–IV стадии – 45 (80%). По классификации TNM (англ. tumor, nodus, metastasis – опухоль, лимфоузлы, метастазы) у большинства пациенток диагностирована опухоль T3–T4 (в 42 (75%) случаях), но преимущественно без регионарных (N0 – в 41 (73%) случае) и отдаленных метастазов (M0 – в 43 (77%) случаях).
Медиана (Me [Q1; Q3]) содержания растворимой формы P-кадгерина в сыворотке крови здоровых женщин составила 1,44 нг/мл [0, 73; 6, 16], в группе доброкачественных опухолей яичников – 3,41 нг/мл [1, 95; 6, 66], а в группе больных злокачественными опухолями яичников – 7,97 нг/мл [3, 09; 17, 41]. Как видно из данных рис. 1, уровень растворимой формы P-кадгерина в сыворотке крови больных злокачественными опухолями яичников был статистически значимо выше, чем у здоровых женщин группы контроля (p = 0,0045), а также вдвое превышал показатель пациенток с доброкачественными опухолями яичников, но различия статистически не значимы. Стоит отметить, что только в случае злокачественных опухолей яичников содержание растворимой формы P-кадгерина превышало значение 15 нг/мл.
Рис. 1. Сравнительный анализ содержания растворимой формы (s) P-кадгерина у больных доброкачественными (ДОЯ) и злокачественными (ЗОЯ) опухолями яичников и здоровых доноров
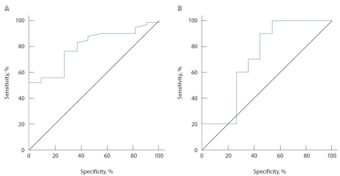
ROC-кривая для злокачественных опухолей яичников (рис. 2А) показала среднюю диагностическую точность модели (AUC = 0,793; 95% доверительный интервал 0,671–0,915; p = 0,002), не позволяющую использовать уровень растворимой формы P-кадгерина в сыворотке крови в качестве надежного диагностического критерия для рака яичников. Наилучшие значения чувствительности и специфичности (77 и 73% соответственно) в случае диагностики злокачественных опухолей яичников достигнуты при пороговом уровне 3,01 нг/мл, тогда как при медианном пороговом уровне, равном 7,97 нг/мл, тест обладал 50% чувствительностью и 100% специфичностью. В случае доброкачественных опухолей яичников AUC составила всего 0,709 (95% доверительный интервал 0,478–0,939; p = 0,105) (рис. 2Б), что указывает на неудовлетворительную диагностическую точность модели.
Рис. 2. ROC-анализ для растворимой формы P-кадгерина у больных со злокачественными (А) и доброкачественными (Б) опухолями яичников
Статистически значимых различий уровней растворимой формы P-кадгерина в зависимости от большинства клинико-морфологических параметров, включая стадию заболевания, наличие метастазов, степень злокачественности, асцит и локализацию опухоли, не обнаружено (таблица). Можно лишь отметить, что наиболее близким к значимости является различие в показателях растворимой формы P-кадгерина в возрастных группах ≤ 57 и > 57 лет (p = 0,07), что может указывать на возрастные особенности секреции растворимой формы этого протеина.
Содержание растворимой формы P-кадгерина в сыворотке крови больных раком яичников в зависимости от клинических и морфологических характеристик
Характеристика | Медиана sP-кадгерина, нг/мл | Значение p |
Возраст: | ||
≤ 57 лет | 0,070 | |
> 57 лет | ||
Гистологический тип опухоли: | ||
серозная | 0,450 | |
другая | ||
Стадия: | ||
I–II | I–II vs III > 0,999 | |
III | I–II vs IV > 0,999 | |
IV | III vs IV = 0,979 | |
Размер опухоли: | ||
T1–T2 | 0,479 | |
T3–T4 | ||
Наличие регионарных метастазов: | ||
N0 | 0,725 | |
N+ | ||
Наличие отдаленных метастазов: | ||
M0 | 0,669 | |
M+ | ||
Степень злокачественности: | ||
низкая | 0,507 | |
высокая | ||
Наличие асцита: | ||
А- | 0,944 | |
А+ | ||
Локализация: | ||
односторонняя | 0,820 | |
двусторонняя |
s – растворимая форма
Обсуждение
Данное исследование посвящено изучению клинической значимости растворимой формы P-кадгерина при раке яичников. P-кадгерин наряду с E-кадгерином и N-кадгерином относится к так называемым классическим кадгеринам I типа. В нормальных тканях P-кадгерин часто коэкспрессируется с E-кадгерином и участвует в поддержании архитектуры тканей. Тканевая экспрессия P-кадгерина часто повышается с прогрессией заболевания. Например, его уровни увеличиваются при переходе от ранних стадий рака яичников к более поздним [17], а при раке молочной железы гиперэкспрессия P-кадгерина связана с плохим прогнозом и сниженной выживаемостью [18]. Механизмы влияния P-кадгерина на процессы клеточной жизнедеятельности описаны достаточно подробно. Так, аналогично E-кадгерину данный белок взаимодействует с α-, β- и γ-катенинами и способствует передаче сигналов внутрь клетки. При раке молочной железы P-кадгерин активно взаимодействует с α6β4-интегрином, усиливая адгезию опухолевых клеток к базальной мембране через ламин. Этот процесс включает активацию киназ FAK, Src и AKT, что подтверждено исследованиями in vivo [19]. Кроме того, в злокачественной опухоли молочной железы сигнальный путь окиси азота способствует экспрессии P-кадгерина через активацию пути Ras/MEK/ERK [20]. При раке яичников P-кадгерин участвует в созревании β1-интегрина и тем самым способствует адгезии метастатических клеток к брюшине [21]. Дополнительно было показано, что P-кадгерин активирует миграцию и инвазию опухолевых клеток рака яичников через рецептор инсулиноподобного фактора роста 1 [22]. В меланоме снижение экспрессии P-кадгерина связано с приобретением клетками миграционного фенотипа. Таким образом, P-кадгерин является ключевым регулятором инвазивной активности и метастатического потенциала опухолевых клеток, взаимодействуя с металлопротеиназами, интегринами и многими проонкогенными сигнальными путями, такими как Wnt/β-катенин и Ras/MEK/ERK.
Диагностическая значимость растворимой формы P-кадгерина не описана. Согласно результатам исследований, посвященных изучению рака молочной железы, гиперэкспрессия P-кадгерина способствует миграции и инвазии опухолевых клеток, а также стимулирует секрецию матриксных металлопротеиназ 1 и 2, что, в свою очередь, приводит к отщеплению внеклеточного домена P-кадгерина и образованию его растворимой формы. Растворимая форма P-кадгерина может также усиливать инвазию клеток in vitro [23]. Мы показали, что уровень данного белка в сыворотке крови больных раком яичников выше, чем у пациенток с доброкачественными опухолями и здоровых доноров. Это может свидетельствовать о его вовлеченности в процесс формирования злокачественного фенотипа новообразований яичников.
Представляет интерес исследование J.A. Mandeville и соавт., которые подчеркивают значимость различий локализации P-кадгерина в цитоплазме и мембране. У больных раком мочевого пузыря выживаемость, ассоциированная с опухолью, была выше при мембранной экспрессии P-кадгерина по сравнению с пациентами, у которых этот белок релокализовался в цитоплазму [24].
В исследовании P-кадгерина на модели рака яичников установлено: подавление экспрессии данного белка значимо снижает количество опухолевых клеток в асцитической жидкости [25]. Объем асцита и формирование опухолевых узлов также значительно уменьшаются при подавлении β1-интегрина и P-кадгерина, что позволило авторам предположить их участие в процессе адгезии метастатических клеток к брюшине [25]. Роль кадгеринов в развитии рака яичников на поздних стадиях, когда злокачественные клетки распространяются в брюшной полости, неясна. I.S. Patel и соавт. провели детальный анализ подтипов кадгеринов, присутствующих в нормальном эпителии поверхности яичников, в брюшине, а также в опухолевых тканях и перитонеальных выпотах у женщин с диагнозом рака яичников I или II стадии. Анализ последовательностей, полученных с помощью полимеразной цепной реакции, показал наличие нескольких подтипов кадгеринов, включая E-, N-, P-кадгерин, как в нормальных, так и в опухолевых тканях. Среди них P-кадгерин оказался основным подтипом, обнаруженным в нормальной брюшине, перитонеальных выпотах и опухолевых узлах при II стадии заболевания [14]. Исследования подтвердили, что по мере прогрессирования заболевания уровни мРНК и белка P-кадгерина значительно увеличиваются. Согласно результатам нашего исследования, не отмечено увеличения содержания растворимой формы данного белка в прогрессировании заболевания (генерализации опухолевого процесса), что свидетельствует об отсутствии прямой зависимости между тканевой экспрессией и циркулирующей формой протеина.
Заключение
Проведенное нами исследование впервые выявило, что содержание растворимой формы молекулы трансмембранной адгезии P-кадгерина статистически значимо выше у больных раком яичников относительно здоровых женщин. При этом ROC-анализ показал недостаточную диагностическую значимость этого маркера. В этой связи следует учитывать основное ограничение настоящего исследования – небольшой размер выборки, которое не позволяет сделать однозначные выводы о возможности практической реализации результатов. Было бы также интересно оценить локализацию изучаемой молекулы в клетках и сопоставить полученные результаты с имеющимися данными о содержании ее растворимой формы в сыворотке крови. Вместе с тем мы полагаем, что полученные данные обладают определенной фундаментальной значимостью и будут способствовать разработке новых эффективных стратегий в диагностике, оценке эффективности лечения и прогноза злокачественных опухолей яичников.
Дополнительная информация
Финансирование
Работа проведена без привлечения дополнительного финансирования со стороны третьих лиц.
Конфликт интересов
Авторы заявляют об отсутствии явных и потенциальных конфликтов интересов, связанных с публикацией настоящей статьи.
Участие авторов
Н.Е. Кушлинский, Н.Е. Зыбина, И.С. Стилиди – концепция исследования, утверждение итогового варианта рукописи; О.В. Ковалева, А.Н. Грачев, Е.С. Герштейн – анализ полученных данных, написание текста; С.Е. Куликова, Ф.А. Гугнин, И.Б. Рыжавская, Д.Н. Кушлинский – лечение пациенток, проведение хирургических операций, сбор клинического материала, проведение исследований, редактирование текста; С.Ю. Нежданова – анализ историй болезни и данных литературы; Д.А. Цекатунов – гистологическое исследование опухолей, редактирование текста. Все авторы прочли и одобрили финальную версию статьи перед публикацией, согласны нести ответственность за все аспекты работы и гарантируют, что ими надлежащим образом были рассмотрены и решены вопросы, связанные с точностью и добросовестностью всех частей работы.
About the authors
Nikolay E. Kushlinskii
N.N. Blokhin National Medical Research Center of Oncology; Russian University of Medicine
Author for correspondence.
Email: biochimia@yandex.ru
ORCID iD: 0000-0002-3898-4127
MD, PhD, Professor, Member of Russ. Acad. Sci., Scientific Director of the Clinical Diagnostic Laboratory, Consultative and Diagnostic Center; Head of Chair of Clinical Biochemistry and Laboratory Diagnostics, Faculty of Additional Professional Education
Russian Federation, Kashirskoe shosse 24, Moscow, 115522; ul. Delegatskaya 20/1, Moscow, 127473Olga V. Kovaleva
N.N. Blokhin National Medical Research Center of Oncology
Email: ovkovaleva@gmail.com
ORCID iD: 0000-0001-6132-9924
Doctor of Biol. Sci., Senior Research Fellow, Laboratory of Regulation of Cellular and Viral Oncogenes
Russian Federation, Kashirskoe shosse 24, Moscow, 115522Alexei N. Gratchev
N.N. Blokhin National Medical Research Center of Oncology
Email: alexei.gratchev@gmail.com
ORCID iD: 0000-0003-2137-1866
Doctor of Biol. Sci., Head of Laboratory of Tumor Stromal Cell Biology
Russian Federation, Kashirskoe shosse 24, Moscow, 115522Svetlana E. Kulikova
Russian University of Medicine; Moscow Municipal Oncologic Hospital No. 62
Email: s_s76@mail.ru
ORCID iD: 0009-0000-1463-4563
Laboratory Assistant, Chair of Clinical Biochemistry and Laboratory Diagnostics, Faculty of Additional Professional Education; Head of Department of Oncogynecology
Russian Federation, ul. Delegatskaya 20/1, Moscow, 127473; poselok Istra 27, Krasnogorsk, Moscow Region, 143515Frol A. Gugnin
Moscow Municipal Oncologic Hospital No. 62
Email: frol1999@inbox.ru
ORCID iD: 0009-0007-5435-2123
Clinical Resident
Russian Federation, poselok Istra 27, Krasnogorsk, Moscow Region, 143515Svetlana Y. Nezhdanova
Russian University of Medicine
Email: nezhdsveta@ya.ru
ORCID iD: 0009-0000-8746-7217
Applicant for Chair of Clinical Biochemistry and Laboratory Diagnostics, Faculty of Additional Professional Education
Russian Federation, ul. Delegatskaya 20/1, Moscow, 127473Dmitry A. Tsekatunov
Khabarovsk Territory Regional Clinical Center of Oncology
Email: dmtsekatunov@inbox.ru
ORCID iD: 0009-0007-1561-9681
MD, Head of Department of Pathomorphology
Russian Federation, Voronezhskoe shosse 164, 680042, KhabarovskIrina B. Ryzhavskaya
Khabarovsk Territory Regional Clinical Center of Oncology
Email: i9145417107@gmail.com
ORCID iD: 0009-0005-7572-6118
MD, PhD, Surgeon-oncogynecologist
Russian Federation, Voronezhskoe shosse 164, 680042, KhabarovskDmitry N. Kushlinskiy
Far Eastern State Medical University
Email: drkushlinskiy@gmail.com
ORCID iD: 0000-0003-1490-8418
MD, PhD, Head of Department of Oncogynecology
Russian Federation, ul. Muravyova-Amurskogo 35, Khabarovsk, 680000Natalya N. Zybina
The Nikiforov Russian Center of Emergency and Radiation Medicine
Email: zybinan@inbox.ru
ORCID iD: 0000-0002-5422-2878
Doctor of Biol. Sci., Professor, Head of Department of Laboratory Diagnostics
Russian Federation, ul. Akademika Lebedeva 4–2, Saint Petersburg, 194044Elena S. Gershtein
N.N. Blokhin National Medical Research Center of Oncology
Email: esgershtein@gmail.com
ORCID iD: 0000-0002-3321-801X
Doctor of Biol. Sci., Professor, Leading Research Fellow, Clinical Diagnostic Laboratory, Consultative and Diagnostic Center
Russian Federation, Kashirskoe shosse 24, Moscow, 115522Ivan S. Stilidi
N.N. Blokhin National Medical Research Center of Oncology
Email: ronc@list.ru
ORCID iD: 0000-0002-0493-1166
MD, PhD, Professor, Member of Russ. Acad. Sci., Director
Russian Federation, Kashirskoe shosse 24, Moscow, 115522References
- Burke W, Barkley J, Barrows E, Brooks R, Gecsi K, Huber-Keener K, Jeudy M, Mei S, O'Hara JS, Chelmow D. Executive summary of the Ovarian Cancer Evidence Review Conference. Obstet Gynecol. 2023;142(1):179–195. doi: 10.1097/AOG.0000000000005211.
- Goodwin M, Yap AS. Classical cadherin adhesion molecules: Coordinating cell adhesion, signaling and the cytoskeleton. J Mol Histol. 2004;35(8-9):839–844. doi: 10.1007/s10735-004-1833-2.
- Kottke MD, Delva E, Kowalczyk AP. The desmosome: Cell science lessons from human diseases. J Cell Sci. 2006;119(Pt 5):797–806. doi: 10.1242/jcs.02888.
- Nose A, Takeichi M. A novel cadherin cell adhesion molecule: Its expression patterns associated with implantation and organogenesis of mouse embryos. J Cell Biol. 1986;103(6 Pt 2):2649–2658. doi: 10.1083/jcb.103.6.2649.
- Vieira AF, Paredes J. P-cadherin and the journey to cancer metastasis. Mol Cancer. 2015;14:178. doi: 10.1186/s12943-015-0448-4.
- Sakamoto K, Imai K, Higashi T, Taki K, Nakagawa S, Okabe H, Nitta H, Hayashi H, Chikamoto A, Ishiko T, Beppu T, Baba H. Significance of P-cadherin overexpression and possible mechanism of its regulation in intrahepatic cholangiocarcinoma and pancreatic cancer. Cancer Sci. 2015;106(9):1153–1162. doi: 10.1111/cas.12732.
- Dieterle MP, Husari A, Rolauffs B, Steinberg T, Tomakidi P. Integrins, cadherins and channels in cartilage mechanotransduction: Perspectives for future regeneration strategies. Expert Rev Mol Med. 2021;23:e14. doi: 10.1017/erm.2021.16.
- Hegazy M, Perl AL, Svoboda SA, Green KJ. Desmosomal cadherins in health and disease. Annu Rev Pathol. 2022;17:47–72. doi: 10.1146/annurev-pathol-042320-092912.
- Kaszak I, Witkowska-Piłaszewicz O, Niewiadomska Z, Dworecka-Kaszak B, Ngosa Toka F, Jurka P. Role of cadherins in cancer – a review. Int J Mol Sci. 2020;21(20):7624. doi: 10.3390/ijms21207624.
- Sisto M, Ribatti D, Lisi S. Cadherin signaling in cancer and autoimmune diseases. Int J Mol Sci. 2021;22(24):13358. doi: 10.3390/ijms222413358.
- De Wever O, Derycke L, Hendrix A, De Meerleer G, Godeau F, Depypere H, Bracke M. Soluble cadherins as cancer biomarkers. Clin Exp Metastasis. 2007;24(8):685–697. doi: 10.1007/s10585-007-9104-8.
- Bauer R, Valletta D, Bauer K, Thasler WE, Hartmann A, Müller M, Reichert TE, Hellerbrand C. Downregulation of P-cadherin expression in hepatocellular carcinoma induces tumorigenicity. Int J Clin Exp Pathol. 2014;7(9):6125–6132.
- Paredes J, Albergaria A, Oliveira JT, Jerónimo C, Milanezi F, Schmitt FC. P-cadherin overexpression is an indicator of clinical outcome in invasive breast carcinomas and is associated with CDH3 promoter hypomethylation. Clin Cancer Res. 2005;11(16):5869–5877. doi: 10.1158/1078-0432.CCR-05-0059.
- Patel IS, Madan P, Getsios S, Bertrand MA, MacCalman CD. Cadherin switching in ovarian cancer progression. Int J Cancer. 2003;106(2):172–177. doi: 10.1002/ijc.11086.
- Stefansson IM, Salvesen HB, Akslen LA. Prognostic impact of alterations in P-cadherin expression and related cell adhesion markers in endometrial cancer. J Clin Oncol. 2004;22(7):1242–1252. doi: 10.1200/JCO.2004.09.034.
- WHO Classification of Tumours. Vol. 4. Female Genital Tumours. 5th edition. World Health Organization; 2020. 632 p.
- Usui A, Ko SY, Barengo N, Naora H. P-cadherin promotes ovarian cancer dissemination through tumor cell aggregation and tumor-peritoneum interactions. Mol Cancer Res. 2014;12(4):504–513. doi: 10.1158/1541-7786.MCR-13-0489.
- Vieira AF, Dionísio MR, Gomes M, Cameselle-Teijeiro JF, Lacerda M, Amendoeira I, Schmitt F, Paredes J. P-cadherin: A useful biomarker for axillary-based breast cancer decisions in the clinical practice. Mod Pathol. 2017;30(5):698–709. doi: 10.1038/modpathol.2016.232.
- Vieira AF, Ribeiro AS, Dionísio MR, Sousa B, Nobre AR, Albergaria A, Santiago-Gómez A, Mendes N, Gerhard R, Schmitt F, Clarke RB, Paredes J. P-cadherin signals through the laminin receptor α6β4 integrin to induce stem cell and invasive properties in basal-like breast cancer cells. Oncotarget. 2014;5(3):679–692. doi: 10.18632/oncotarget.1459.
- Switzer CH, Cheng RY, Ridnour LA, Glynn SA, Ambs S, Wink DA. Ets-1 is a transcriptional mediator of oncogenic nitric oxide signaling in estrogen receptor-negative breast cancer. Breast Cancer Res. 2012;14(5):R125. doi: 10.1186/bcr3319.
- Ip CK, Yung S, Chan TM, Tsao SW, Wong AS. p70 S6 kinase drives ovarian cancer metastasis through multicellular spheroid-peritoneum interaction and P-cadherin/b1 integrin signaling activation. Oncotarget. 2014;5(19):9133–9149. doi: 10.18632/oncotarget.2362.
- Cheung LW, Mak AS, Cheung AN, Ngan HY, Leung PC, Wong AS. P-cadherin cooperates with insulin-like growth factor-1 receptor to promote metastatic signaling of gonadotropin-releasing hormone in ovarian cancer via p120 catenin. Oncogene. 2011;30(26):2964–2974. doi: 10.1038/onc.2011.7.
- Ribeiro AS, Albergaria A, Sousa B, Correia AL, Bracke M, Seruca R, Schmitt FC, Paredes J. Extracellular cleavage and shedding of P-cadherin: A mechanism underlying the invasive behaviour of breast cancer cells. Oncogene. 2010;29(3):392–402. doi: 10.1038/onc.2009.338.
- Mandeville JA, Silva Neto B, Vanni AJ, Smith GL, Rieger-Christ KM, Zeheb R, Loda M, Libertino JA, Summerhayes IC. P-cadherin as a prognostic indicator and a modulator of migratory behaviour in bladder carcinoma cells. BJU Int. 2008;102(11):1707–1714. doi: 10.1111/j.1464-410X.2008.08115.x.
- Cheung LW, Yung S, Chan TM, Leung PC, Wong AS. Targeting gonadotropin-releasing hormone receptor inhibits the early step of ovarian cancer metastasis by modulating tumor-mesothelial adhesion. Mol Ther. 2013;21(1):78–90. doi: 10.1038/mt.2012.187.
Supplementary files






