Clinical significance of analysis of long non-coding RNA PSMB8-AS1, MBNL1-AS1, and OLMALINC expression by polymerase chain reaction in non-small cell lung cancer
- Авторлар: Kovaleva O.V.1, Podlesnaya P.A.1, Kudinova E.S.1, Mochalnikova V.V.1, Kushlinskii N.E.1, Gratchev A.N.1
-
Мекемелер:
- N.N. Blokhin National Medical Research Center of Oncology
- Шығарылым: Том 52, № 4 (2024)
- Беттер: 189-196
- Бөлім: ARTICLES
- URL: https://journals.rcsi.science/2072-0505/article/view/266416
- DOI: https://doi.org/10.18786/2072-0505-2024-52-024
- ID: 266416
Дәйексөз келтіру
Толық мәтін
Аннотация
Rationale: Long non-coding RNAs (lncRNAs) influence tumor cell properties during the onset and progression of lung malignancies; however, their diagnostic and prognostic significance has not been determined. We have previously shown that when non-small cell lung cancer (NSCLC) cells acquire a more malignant phenotype (under the influence of macrophagal cytotoxic activity) compared to the original cell lines, the expression of several lncRNAs, in particular PSMB8-AS1, MBNL1-AS1, and OLMALINC, is altered compared to the original cell lines.
Aim: A comparative analysis of lncRNAs PSMB8-AS1, MBNL1-AS1, and OLMALINC expression in tissue samples from lung tumors and conditionally normal areas of the lungs and an assessment of the lncRNAs clinical significance.
Methods: We have analyzed surgical samples of the tumor and conditionally normal tissue from 16 patients with a verified diagnosis of NSCLC. The expression level of lncRNAs PSMB8-AS1, MBNL1-AS1 and OLMALINC was assessed by real-time polymerase chain reaction. To analyze the long-term treatment results and clinical significance of the studied genes, the patients were divided into two comparison groups depending on the relative level of lncRNAs expression (above or below the median).
Results: The expression of lncRNAs PSMB8-AS1, MBNL1-AS1 and OLMALINC in the lung tumor tissue was significantly reduced compared to the conditionally normal tissues (p = 0.0034; p = 0.002 and p = 0.0172, respectively). Analysis of the association between the expression of these lncRNAs with clinical and morphological characteristics, such as disease stage, tumor size, presence of regional and distant metastases was unable to identify any regular patterns. The expression of lncRNAs PSMB8-AS1, MBNL1-AS1 and OLMALINC was not a significant prognostic factor (p = 0.364; p = 0.759 and p = 0.184, respectively). However in the case of high OLMALINC and PSMB8-AS1 expression, median survival was 47 months, while in the case of their low expression, median survival was not achieved during the follow-up. The expression of lncRNA PSMB8-AS1 in NSCLC tumors positively correlated with the expression of lncRNA OLMALINC (r = 0.680, p = 0.007), which may indicate their functional interplay or the presence of common regulatory mechanisms.
Conclusion: The NSCLC tumors demonstrated aberrant expression of PSMB8-AS1, MBNL1-AS1, and OLMALINC lncRNAs. A more detailed study of their expression in various cell types and their regulatory role would allow for validation of new therapeutic targets in NSCLC, as well as for development of alternative therapies.
Негізгі сөздер
Толық мәтін
Рак легкого характеризуется тенденцией роста заболеваемости и удерживает лидирующую позицию в мире по смертности среди всех онкологических заболеваний [1]. Одно из активно разрабатываемых направлений медицины – персонализированные методы диагностики и лечения с использованием новых маркеров, в частности некодирующих РНК. Их наиболее сложный тип – длинные некодирующие РНК (днРНК), имеющие длину более 200 нуклеотидов. Считается, что среди всех некодирующих РНК именно днРНК обладают наибольшим потенциалом кодирования пептидов [2]. По структуре днРНК схожи с матричными РНК (мРНК): многие из них сплайсированы, кэпированы и полиаденилированы. Трехмерная структура днРНК быстро меняется, благодаря чему данные молекулы могут выполнять множество биологических функций [3]. Так, днРНК способны регулировать экспрессию генов на транскрипционном и пост-транскрипционном уровнях. Находясь в ядре, днРНК регулируют экспрессию генов посредством ремоделирования хроматина, регуляции транскрипции и альтернативного сплайсинга мРНК. В цитоплазме днРНК влияют на трансляцию и стабильность мРНК путем связывания с 5'UTR или 3'UTR мРНК, стимулируя или подавляя экспрессию генов соответственно [4].
После открытия роли днРНК MALAT1 (англ. metastasis associated lung adenocarcinoma transcript 1) в метастазировании немелкоклеточного рака легкого (НМРЛ) интерес к днРНК в контексте онкогенеза резко возрос [5]. За последние 2 десятилетия описано большое количество днРНК, участвующих в биологии опухолевой клетки. Показано как проонкогенное, так и онкосупрессорное действие днРНК. Установлено, что днРНК играют важную роль в регуляции клеточного цикла, процессов пролиферации, миграции и дифференцировки злокачественных клеток. Появляются данные о потенциале днРНК в качестве диагностических и прогностических маркеров онкологических заболеваний [6]. Согласно результатам недавних исследований, днРНК посредством регуляции основных сигнальных путей принимают участие в развитии резистентности опухолевых клеток к различным методам лечения [7]. В частности, днРНК CCAT2 и MACC1-AS1 способствуют опухолевой прогрессии в случае колоректального, а lncARSR – почечно-клеточного рака [8–10].
Ранее мы показали, что с развитием устойчивости опухолевых клеток НМРЛ к цитотоксическому действию макрофагов и приобретением ими более злокачественного фенотипа по сравнению с исходными клеточными линиями наблюдается статистически значимая аберрантная экспрессия таких днРНК, как PSMB8-AS1, MBNL1-AS1 и OLMALINC [11]. Имеющиеся в литературе данные о роли этих днРНК в онкогенезе крайне ограничены и фрагментарны. Клиническая значимость днРНК PSMB8-AS1, MBNL1-AS1 и OLMALINC при НМРЛ еще не определена.
Цель – сравнительный анализ экспрессии днРНК PSMB8-AS1, MBNL1-AS1 и OLMALINC в образцах опухолевой и условно нормальной ткани легкого, а также оценка клинической значимости этих днРНК.
Материал и методы
В исследование включены 16 пациентов, проходивших лечение в ФГБУ «Национальный медицинский исследовательский центр онкологии имени Н.Н. Блохина» Минздрава России (ФГБУ «НМИЦ онкологии им. Н.Н. Блохина» Минздрава России) в период с 2011 по 2016 г., с верифицированным диагнозом НМРЛ. Все операционные образцы были парными, то есть представляли собой гистологически верифицированную ткань опухоли и образец условно нормальной ткани легкого того же пациента, расположенной максимально удаленно от опухоли. Проведение исследования одобрено этическим комитетом ФГБУ «НМИЦ онкологии им. Н.Н. Блохина» Минздрава России (протокол № 09/2018 от 28.09.2018).
Весь материал прошел гистологическую верификацию в отделе патологической анатомии опухолей человека ФГБУ «НМИЦ онкологии им. Н.Н. Блохина» Минздрава России и охарактеризован в соответствии с TNM-классификацией (англ. tumor, nodus, metastasis – опухоль, узел, метастаз) (табл. 1). В исследование включили образцы опухолей 2 основных гистологических типов НМРЛ: аденокарциномы (n = 4) и плоскоклеточного рака легкого (n = 12).
Таблица 1. Клинико-морфологические характеристики немелкоклеточного рака легкого (N = 16)
Характеристика | Число случаев, абс. (%) |
Гистология: | |
аденокарцинома | 4 (25) |
плоскоклеточный рак | 12 (75) |
Локализация: | |
центральная | 4 (25) |
периферическая | 12 (75) |
Стадия: | |
I–IIIA | 11 (69) |
IIIB–IV | 5 (31) |
Размер опухоли (Т): | |
T1–T2 | 6 (38) |
T3–T4 | 10 (62) |
Регионарные метастазы (N): | |
N0–N1 | 8 (50) |
N2 | 8 (50) |
Отдаленные метастазы (M): | |
M0 | 13 (81) |
M+ | 3 (19) |
Дифференцировка опухоли (G): | |
G1–G2 | 8 (50) |
G3 | 8 (50) |
Тотальную РНК из клеток выделяли при помощи набора RNeasy kit (QIAGEN, США) с применением реагента Trizol по стандартному протоколу. Для получения кодирующей ДНК проводили реакцию обратной транскрипции, используя набор RevertAid RT Kit (Thermo Scientific, США). Уровень экспрессии исследуемых генов оценивали при помощи полимеразной цепной реакции (ПЦР) в режиме реального времени. Последовательности праймеров отражены в табл. 2. Амплификацию проб осуществляли с помощью амплификатора CFX96 Touch (Bio-Rad, США). Применяли следующую программу ПЦР: 95 °C 5 минут, 40 циклов 95 °C 10 секунд, 60 °C 30 секунд, 72 °C 30 секунд. Все реакции проводили в 3 независимых биологических повторах. В дальнейшем анализе использовали усредненные данные 3 технических повторов для каждой точки. Полученные данные анализировали с помощью программы Bio-Rad CFX Manager. В качестве референсного гена использовали ген «домашнего хозяйства» GAPDH. Относительный уровень экспрессии генов, определяемый через кратность изменения (fold change, FC), вычисляли с помощью метода ∆∆Ct, где ∆Ct = Ct (ген интереса) – Ct (GAPDH), ∆∆Сt = ∆Ct (образец) – ∆Ct (контроль), а FC = 2-(∆∆Сt).
Таблица 2. Нуклеотидные последовательности использованных праймеров
Ген | Прямой праймер | Обратный праймер | Температура отжига, °С |
PSMB8-AS1 | 5’ GGAAAGACATCGGACCGTCA 3’ | 5’ TGGGAAACGTTGGTGTCCTT 3’ | 60 |
MBNL1-AS1 | 5’ CTCCCGCTTCTTCTACCGAC 3’ | 5’ TTGGTGCATTTTAAGGCGGC 3’ | 60 |
OLMALINC | 5’ CCTGTTGTCGCCCTCACTCC 3’ | 5’ AGGCCTGACACTCCTATCCG 3’ | 60 |
GAPDH | 5’ TCGGAGTCAACGGATTTGGT 3’ | 5’ TCCCGTTCTCAGCCTTGACG 3’ | 60 |
Статистический анализ полученных результатов проводили с использованием GraphPad Prizm v. 10. Статистически значимое различие наблюдаемых частот признаков в изучаемых группах определяли с помощью точного критерия Фишера. Анализ информативности диагностического метода посредством оценки его чувствительности и специфичности выполняли с помощью построения ROC-кривых (англ. receiver operating characteristic – рабочая характеристика приемника) и вычисления площади под ними (англ. area under the curve, AUC). Корреляционный анализ осуществляли посредством определения коэффициента корреляции Спирмена. Анализ выживаемости проводили путем построения кривых дожития по методу Каплана – Мейера. Период наблюдения составил временной интервал с момента операции до смерти пациента или его последнего визита к врачу. Для анализа отдаленных результатов лечения и клинической значимости исследуемых генов больных разделили на 2 группы в зависимости от относительного уровня экспрессии днРНК выше или ниже медианы. Значимость различий сравнивали при помощи логарифмического рангового критерия. Различия считали статистически значимыми при р < 0,05.
Результаты
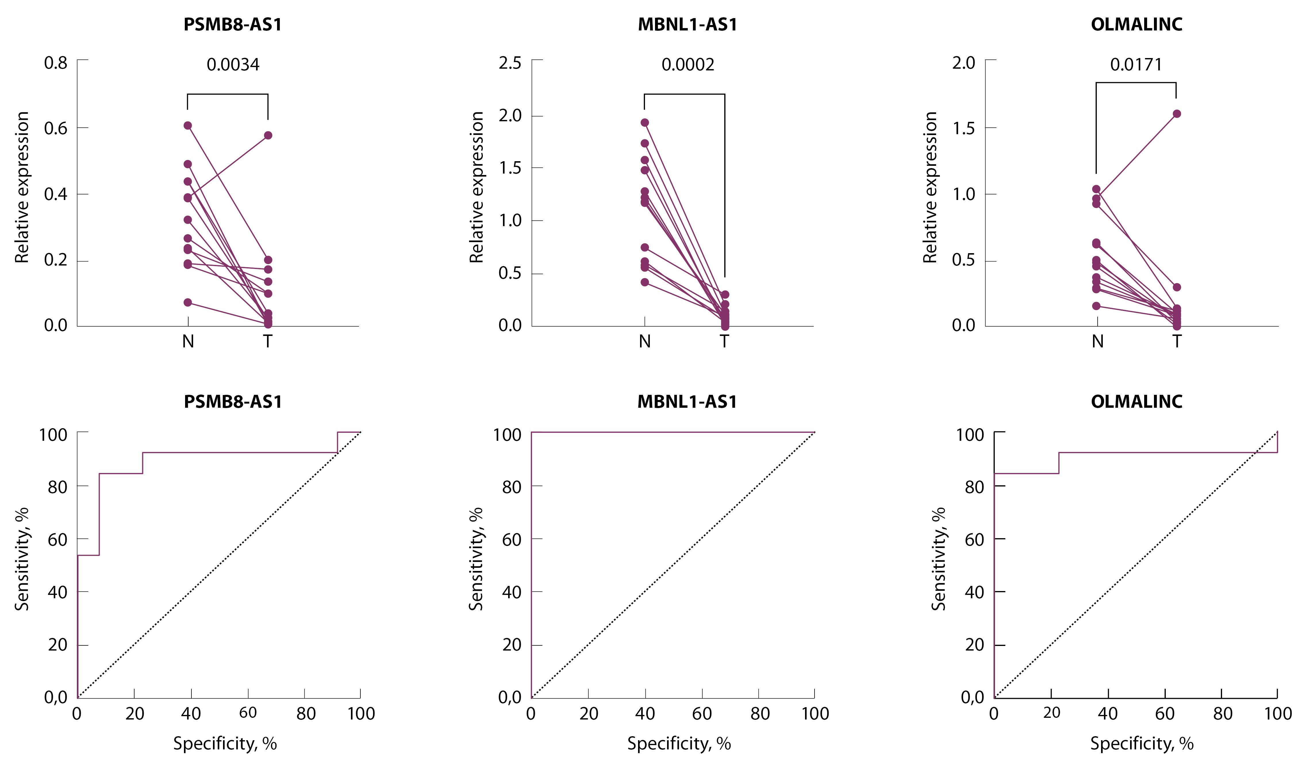
Экспрессия днРНК PSMB8-AS1, MBNL1-AS1 и OLMALINC была значимо снижена в опухолевой ткани легкого по сравнению с условной нормой (p = 0,0034; p = 0,0002; p = 0,0171 соответственно) (рис. 1). Результаты ROC-анализа показали значимую роль оценки экспрессии изучаемых днРНК в диагностике НМРЛ: для PSMB8-AS1 AUC составила 0,887 (p = 0,0008), для MBNL1-AS1 – 1,0 (p < 0,0001), для OLMALINC – 0,905 (p = 0,0004) (см. рис. 1).
Рис. 1. Сравнительный анализ экспрессии (верхний ряд) и ROC-анализ (нижний ряд) PSMB8-AS1, MBNL1-AS1 и OLMALINC в условно нормальной и опухолевой ткани легкого и ее диагностическая значимость; Н – условно нормальная ткань легкого, О – ткань опухоли легкого
При анализе клинической значимости экспрессии днРНК PSMB8-AS1, MBNL1-AS1 и OLMALINC не установлено ассоциаций с клинико-морфологическими характеристиками НМРЛ (табл. 3). Следует отметить, что высокая экспрессия днРНК PSMB8-AS1 и OLMALINC была характерна для опухолей центральной локализации по сравнению с периферической.
Таблица 3. Ассоциация экспрессии PSMB8-AS1, MBNL1-AS1 и OLMALINC с клинико-морфологическими характеристиками немелкоклеточного рака легкого (N = 16)
Характеристика | Экспрессия PSMB8-AS1 | Экспрессия MBNL1-AS1 | Экспрессия OLMALINC | ||||||
низкая | высокая | p | низкая | высокая | p | низкая | высокая | p | |
Гистология: | 0,569 | 0,569 | 0,569 | ||||||
аденокарцинома | 1 | 3 | 1 | 3 | 1 | 3 | |||
плоскоклеточный рак | 7 | 5 | 7 | 5 | 7 | 5 | |||
Локализация: | 0,077 | 0,569 | 0,077 | ||||||
центральная | 0 | 4 | 1 | 3 | 0 | 4 | |||
периферическая | 8 | 4 | 7 | 5 | 8 | 4 | |||
Стадия: | > 0,999 | > 0,999 | > 0,999 | ||||||
I–IIIA | 3 | 2 | 2 | 3 | 2 | 3 | |||
IIIB–IV | 5 | 6 | 6 | 5 | 6 | 5 | |||
Размер опухоли: | > 0,999 | 0,608 | > 0,999 | ||||||
Т1–Т2 | 3 | 3 | 2 | 4 | 3 | 3 | |||
T3–T4 | 5 | 5 | 6 | 4 | 5 | 5 | |||
Регионарные метастазы: | 0,619 | > 0,999 | > 0,999 | ||||||
N0–N1 | 3 | 5 | 4 | 4 | 4 | 4 | |||
N2 | 5 | 3 | 4 | 4 | 4 | 4 | |||
Отдаленные метастазы: | > 0,999 | 0,200 | > 0,999 | ||||||
M0 | 6 | 7 | 8 | 5 | 6 | 7 | |||
M+ | 2 | 1 | 0 | 3 | 2 | 1 | |||
Дифференцировка опухоли: | 0,619 | 0,619 | > 0,999 | ||||||
G1/2 | 5 | 3 | 3 | 5 | 4 | 4 | |||
G3 | 3 | 5 | 5 | 3 | 4 | 4 | |||
Как видно на рис. 2, экспрессия днРНК PSMB8-AS1, MBNL1-AS1 и OLMALINC не была значимым прогностическим фактором. Тем не менее в случае высокой экспрессии OLMALINC и PSMB8-AS1 медиана выживаемости составила 47 месяцев, тогда как в случае низкой экспрессии не была достигнута за весь период наблюдения.
Рис. 2. Прогностическая значимость экспрессии PSMB8-AS1, MBNL1-AS1 и OLMALINC при немелкоклеточном раке легкого
Экспрессия PSMB8-AS1 в опухолях НМРЛ значимо положительно коррелировала с экспрессией OLMALINC (r = 0,680; p = 0,007). Значимых корреляций между экспрессией остальных днРНК не обнаружено.
Обсуждение
Настоящее исследование посвящено анализу экспрессии и клинической значимости днРНК PSMB8-AS1, MBNL1-AS1 и OLMALINC при НМРЛ. На первом этапе мы оценили диагностическую значимость экспрессии данных днРНК и обнаружили, что их экспрессия значительно снижена в опухолевой ткани по сравнению с условной нормой. Из данных литературы известно, что PSMB8-AS1 выполняет проонкогенные функции в случае глиобластом [12], рака поджелудочной железы [13], колоректального рака [14] и острого миелоидного лейкоза [15], а также обладает диагностическим и прогностическим потенциалом для онкологических заболеваний данных локализаций. На модели рака поджелудочной железы показано, что днРНК PSMB8-AS1 значительно стимулирует пролиферацию, миграцию и инвазию опухолевых клеток [13]. Установлен механизм, посредством которого осуществляется это влияние, а именно: PSMB8-AS1 непосредственно связывается с микроРНК miR-382-3p, мишенью которой служит STAT1 [13]. Особо отметим, что экспрессия днРНК PSMB8-AS1 характерна не только для опухолевых клеток, но и для клеток миелоидного происхождения, в частности макрофагов провоспалительного фенотипа, полученных под воздействием липополисахарида [16]. Как известно, макрофаги составляют доминирующую популяцию клеток стромы опухолей, в частности опухолей легкого. В проведенном нами исследовании наблюдалось снижение экспрессии днРНК PSMB8-AS1, что может свидетельствовать также об уменьшении количества провоспалительных макрофагов в опухоли или изменении их фенотипа.
Для MBNL1-AS1, напротив, описаны противоопухолевые свойства при некоторых типах опухолей: колоректальном раке, раке желудка [17] и молочной железы [18]. Показано также снижение ее экспрессии в опухолевой ткани предстательной железы [19] и легкого [20, 21], что согласуется с полученными нами результатами и предполагает ее опухольсупрессорную функцию.
Роль днРНК OLMALINC в онкогенезе практически не описана в научной литературе. OLMALINC ассоциирована с созреванием олигодендроцитов, и подавление ее экспрессии приводит к нарушению экспрессии большинства генов, вовлеченных в данный процесс [22]. Показано, что экспрессия днРНК OLMALINC может выступать прогностическим маркером в случае остеосаркомы [23, 24]. Так, высокая экспрессия OLMALINC коррелирует с количеством опухоль-инфильтрирующих активированных тучных клеток и CD4+-T-лимфоцитов. Однако стоит отметить, что в зависимости от типа опухоли соотношение популяций иммунных клеток опухолевой стромы может оказывать различное влияние на прогрессию заболевания [23, 25].
На заключительном этапе работы мы оценили прогностическую значимость исследованных днРНК. Оказалось, что экспрессия PSMB8-AS1 и OLMALINC свидетельствует о неблагоприятном прогнозе течения заболевания. Из литературы известно, что высокая экспрессия PSMB8-AS1 ассоциирована с худшим прогнозом пациентов с раком поджелудочной железы [13] и колоректальным раком [14], а экспрессия днРНК OLMALINC служит неблагоприятным прогностическим фактором при остеосаркомах [23], что согласуется с нашими результатами, полученными на образцах НМРЛ. Для днРНК MBNL1-AS1 показано, что ее низкая экспрессия может выступать неблагоприятным прогностическим маркером рака молочной железы [18], однако в нашем исследовании, проведенном на образцах НМРЛ, такой закономерности не выявлено.
Заключение
Проведенное нами исследование показало, что днРНК PSMB8-AS1, MBNL1-AS1 и OLMALINC аберрантно экспрессируются в опухолях НМРЛ и демонстрируют как диагностическую, так и прогностическую значимость при этой патологии. Данное исследование имеет ряд ограничений, основное из которых – небольшой размер изучаемой выборки, что не позволяет на данный момент сделать однозначные выводы о возможности практической реализации работы. Однако не вызывает сомнений, что полученные результаты обладают определенной фундаментальной значимостью и будут способствовать разработке новых эффективных стратегий лечения НМРЛ.
Дополнительная информация
Финансирование
Исследование выполнено за счет гранта Российского научного фонда № 22-15-00291, https://rscf.ru/project/22-15-00291.
Конфликт интересов
Авторы заявляют об отсутствии конфликта интересов.
Участие авторов
Н.Е. Кушлинский – концепция и дизайн исследования, редактирование итогового варианта текста рукописи; О.В. Ковалева, А.Н. Грачев – анализ результатов молекулярно-биологических исследований и литературы, написание текста; П.А. Подлесная, Е.С. Кудинова – выполнение молекулярно-биологических исследований, математический анализ данных; В.В. Мочальникова – гистологическое исследование удаленных опухолей, анализ историй болезни, редактирование текста. Все авторы прочли и одобрили финальную версию статьи перед публикацией, согласны нести ответственность за все аспекты работы и гарантируют, что ими надлежащим образом были рассмотрены и решены вопросы, связанные с точностью и добросовестностью всех частей работы.
Авторлар туралы
Olga Kovaleva
N.N. Blokhin National Medical Research Center of Oncology
Хат алмасуға жауапты Автор.
Email: ovkovaleva@gmail.com
ORCID iD: 0000-0001-6132-9924
Doctor of Biol. Sci., Senior Research Fellow, Laboratory of Regulation of Cellular and Viral Oncogenes
Ресей, 24 Kashirskoe shosse, Moscow, 115522Polina Podlesnaya
N.N. Blokhin National Medical Research Center of Oncology
Email: polina.pod@yandex.ru
ORCID iD: 0000-0003-2312-5546
PhD (in Biol.), Research Fellow, Laboratory of Tumor Stromal Cells Biology
Ресей, 24 Kashirskoe shosse, Moscow, 115522Ekaterina Kudinova
N.N. Blokhin National Medical Research Center of Oncology
Email: kudinova@ronc.ru
ORCID iD: 0009-0006-4532-8597
Deputy Head of the Department of Production of Medical Devices for in vitro diagnostics
Ресей, 24 Kashirskoe shosse, Moscow, 115522Valeria Mochalnikova
N.N. Blokhin National Medical Research Center of Oncology
Email: mochalnikova70@yandex.ru
ORCID iD: 0000-0001-5275-7134
MD, PhD, Pathologist, Pathology Department of the Tumor Morphological and Molecular Genetic Diagnostics Division
Ресей, 24 Kashirskoe shosse, Moscow, 115522Nikolay Kushlinskii
N.N. Blokhin National Medical Research Center of Oncology
Email: biochimia@yandex.ru
ORCID iD: 0000-0003-1490-8418
MD, PhD, Professor, Member of Russ. Acad. Sci., Scientific Director of Clinical Diagnostic Laboratory, Consultative and Diagnostic Center
Ресей, 24 Kashirskoe shosse, Moscow, 115522Alexey Gratchev
N.N. Blokhin National Medical Research Center of Oncology
Email: alexei.gratchev@gmail.com
ORCID iD: 0000-0003-2137-1866
Doctor of Biol. Sci., Head of Laboratory of Tumor Stromal Cells Biology
Ресей, 24 Kashirskoe shosse, Moscow, 115522Әдебиет тізімі
- Bade BC, Dela Cruz CS. Lung cancer 2020: Epidemiology, etiology, and prevention. Clin Chest Med. 2020;41(1):1–24. doi: 10.1016/ j.ccm.2019.10.001.
- Dragomir MP, Manyam GC, Ott LF, Berland L, Knutsen E, Ivan C, Lipovich L, Broom BM, Calin GA. FuncPEP: A database of functional peptides encoded by non-coding RNAs. Noncoding RNA. 2020;6(4):41. doi: 10.3390/ncrna6040041.
- Fabbri M, Girnita L, Varani G, Calin GA. Decrypting noncoding RNA interactions, structures, and functional networks. Genome Res. 2019;29(9):1377–1388. doi: 10.1101/gr.247239.118.
- Sebastian-delaCruz M, Gonzalez-Moro I, Olazagoitia-Garmendia A, Castellanos-Rubio A, Santin I. The role of lncRNAs in gene expression regulation through mRNA stabilization. Noncoding RNA. 2021;7(1):3. doi: 10.3390/ncrna7010003.
- Ji P, Diederichs S, Wang W, Boing S, Metzger R, Schneider PM, Tidow N, Brandt B, Buerger H, Bulk E, Thomas M, Berdel WE, Serve H, Müller-Tidow C. MALAT-1, a novel noncoding RNA, and thymosin beta4 predict metastasis and survival in early-stage non-small cell lung cancer. Oncogene. 2003;22(39):1031–1041. doi: 10.1038/sj.onc.1206928.
- Kovaleva OV, Podlesnaya PA, Petrenko AA, Kushlinskii NE, Gratchev AN. Novel long non-coding RNAs in lung cancer oncogenesis. Molecular Medicine. 2023;(5):3–11. Russian. doi: 10.29296/24999490-2023-05-01.
- Chen B, Dragomir MP, Yang C, Li Q, Horst D, Calin GA. Targeting non-coding RNAs to overcome cancer therapy resistance. Signal Transduct Target Ther. 2022;7(1):121. doi: 10.1038/s41392-022-00975-3.
- Ling H, Spizzo R, Atlasi Y, Nicoloso M, Shimizu M, Redis RS, Nishida N, Gafa R, Song J, Guo Z, Ivan C, Barbarotto E, De Vries I, Zhang X, Ferracin M, Churchman M, van Galen JF, Beverloo BH, Shariati M, Haderk F, Estecio MR, Garcia-Manero G, Patijn GA, Gotley DC, Bhardwaj V, Shureiqi I, Sen S, Multani AS, Welsh J, Yamamoto K, Taniguchi I, Song MA, Gallinger S, Casey G, Thibodeau SN, Le Marchand L, Tiirikainen M, Mani SA, Zhang W, Davuluri RV, Mimori K, Mori M, Sieuwerts AM, Martens JW, Tomlinson I, Negrini M, Berindan-Neagoe I, Foekens JA, Hamilton SR, Lanza G, Kopetz S, Fodde R, Calin GA. CCAT2, a novel noncoding RNA mapping to 8q24, underlies metastatic progression and chromosomal instability in colon cancer. Genome Res. 2013;23(9):1446–1461. doi: 10.1101/gr.152942.112.
- Chen B, Dragomir MP, Fabris L, Bayraktar R, Knutsen E, Liu X, Tang C, Li Y, Shimura T, Ivkovic TC, De Los Santos MC, Anfossi S, Shimizu M, Shah MY, Ling H, Shen P, Multani AS, Pardini B, Burks JK, Katayama H, Reineke LC, Huo L, Syed M, Song S, Ferracin M, Oki E, Fromm B, Ivan C, Bhuvaneshwar K, Gusev Y, Mimori K, Menter D, Sen S, Matsuyama T, Uetake H, Vasilescu C, Kopetz S, Parker-Thornburg J, Taguchi A, Hanash SM, Girnita L, Slaby O, Goel A, Varani G, Gagea M, Li C, Ajani JA, Calin GA. The long noncoding RNA CCAT2 induces chromosomal instability through BOP1-AURKB signaling. Gastroenterology. 2020;159(6):1146–1162.e33. doi: 10.1053/j.gastro.2020.08.018.
- Qu L, Ding J, Chen C, Wu ZJ, Liu B, Gao Y, Chen W, Liu F, Sun W, Li XF, Wang X, Wang Y, Xu ZY, Gao L, Yang Q, Xu B, Li YM, Fang ZY, Xu ZP, Bao Y, Wu DS, Miao X, Sun HY, Sun YH, Wang HY, Wang LH. Exosome-transmitted lncARSR promotes sunitinib resistance in renal cancer by acting as a competing endogenous RNA. Cancer Cell. 2016;29(5):153–168. doi: 10.1016/ j.ccell.2016.03.004.
- Kovaleva OV, Podlesnaya PA, Vasileva MV, Kopnin PB, Balkin AS, Plotnikov AO, Kushlinskii NE, Gratchev AN. Transcriptome of lung cancer cells resistant to the cytotoxic activity of macrophages. Dokl Biochem Biophys. 2022;507(1):112–117. doi: 10.1134/S160767292205009X.
- Maimaiti A, Tuerhong M, Wang Y, Aisha M, Jiang L, Wang X, Mahemuti Y, Aili Y, Feng Z, Kasimu M. An innovative prognostic model based on autophagy-related long noncoding RNA signature for low-grade glioma. Mol Cell Biochem. 2022;477(5):1417–1438. doi: 10.1007/s11010-022-04368-6.
- Zhang H, Zhu C, He Z, Chen S, Li L, Sun C. LncRNA PSMB8-AS1 contributes to pancreatic cancer progression via modulating miR-382-3p/STAT1/PD-L1 axis. J Exp Clin Cancer Res. 2020;39(1):179. doi: 10.1186/s13046-020-01687-8.
- Zhao F, Wang M, Zhang Y, Su R, He C, Gao X, Zan Y, Zhang S, Ma Y. lncRNA PSMB8-AS1 promotes colorectal cancer progression through sponging miR-1299 to upregulate ADAMTS5. Neoplasma. 2022;69(5):1138–1153. doi: 10.4149/neo_2022_220111N42.
- Zhu Y, He J, Li Z, Yang W. Cuproptosis-related lncRNA signature for prognostic prediction in patients with acute myeloid leukemia. BMC Bioinformatics. 2023;24(1):17. doi: 10.1186/s12859-023-05148-9.
- Servaas NH, Mariotti B, van der Kroef M, Wichers CGK, Pandit A, Bazzoni F, Radstake T, Rossato M. Characterization of long non-coding RNAs in systemic sclerosis monocytes: A potential role for PSMB8-AS1 in altered cytokine secretion. Int J Mol Sci. 2021;22(9):4365. doi: 10.3390/ijms22094365.
- Zhang Q, Wu Y, Chen J, Tan F, Mou J, Du Z, Cai Y, Wang B, Yuan C. The regulatory role of both MBNL1 and MBNL1-AS1 in several common cancers. Curr Pharm Des. 2022;28(7):181–185. doi: 10.2174/1381612827666210830110732.
- Jin Y, Xu L, Zhao B, Bao W, Ye Y, Tong Y, Sun Q, Liu J. Tumour-suppressing functions of the lncRNA MBNL1-AS1/miR-889-3p/KLF9 axis in human breast cancer cells. Cell Cycle. 2022;21(9):108–120. doi: 10.1080/15384101.2022.2034254.
- Liu J, Niraj M, Wang H, Zhang W, Wang R, Kadier A, Li W, Yao X. Down-regulation of lncRNA MBNL1-AS1 promotes tumor stem cell-like characteristics and prostate cancer progression through miR-221-3p/CDKN1B/C-myc axis. Cancers (Basel). 2022;14(23):5783. doi: 10.3390/cancers14235783.
- Cao G, Tan B, Wei S, Shen W, Wang X, Chu Y, Rong T, Gao C. Down-regulation of MBNL1-AS1 contributes to tumorigenesis of NSCLC via sponging miR-135a-5p. Biomed Pharmacother. 2020;125:109856. doi: 10.1016/j.biopha.2020.109856.
- Li JY, Luo ZQ. LCAL1 enhances lung cancer survival via inhibiting AMPK-related antitumor functions. Mol Cell Biochem. 2019;457(1–2):11–20. doi: 10.1007/s11010-019-03507-w.
- Mills JD, Kavanagh T, Kim WS, Chen BJ, Waters PD, Halliday GM, Janitz M. High expression of long intervening non-coding RNA OLMALINC in the human cortical white matter is associated with regulation of oligodendrocyte maturation. Mol Brain. 2015;8:2. doi: 10.1186/s13041-014-0091-9.
- He Y, Zhou H, Xu H, You H, Cheng H. Construction of an immune-related lncRNA signature that predicts prognosis and immune microenvironment in osteosarcoma patients. Front Oncol. 2022;12:769202. doi: 10.3389/fonc.2022.769202.
- Zhang J, Ding R, Wu T, Jia J, Cheng X. Autophagy-related genes and long noncoding RNAs signatures as predictive biomarkers for osteosarcoma survival. Front Cell Dev Biol. 2021;9:705291. doi: 10.3389/fcell.2021.705291.
- Liu H, Zong C, Sun J, Li H, Qin G, Wang X, Zhu J, Yang Y, Xue Q, Liu X. Bioinformatics analysis of lncRNAs in the occurrence and development of osteosarcoma. Transl Pediatr. 2022;11(7):1182–1198. doi: 10.21037/tp-22-253.
Қосымша файлдар






