Evaluation of the upper extremity motor skills with a computer kinetic system in multiple sclerosis patients
- Authors: Shumakov I.E.1, Leshonkov A.S.2, Vekhina E.A.1, Kasatkin D.S.1
-
Affiliations:
- Yaroslavl State Medical University
- Lomonosov Moscow State University
- Issue: Vol 51, No 1 (2023)
- Pages: 45-52
- Section: ARTICLES
- URL: https://journals.rcsi.science/2072-0505/article/view/149001
- DOI: https://doi.org/10.18786/2072-0505-2023-51-004
- ID: 149001
Cite item
Full Text
Abstract
Background: Multiple sclerosis (MS) is a chronic inflammatory demyelinating neurodegenerative disorder with multiple lesions in the central nervous system. Motor abnormalities are considered to be a major cause of permanent occupational, social and daily disability of MS patients. However, due to serious limitations of existing methods for assessment of upper limb functioning, evaluation of coordinator and motor abnormalities in the upper extremities in clinical practice is difficult.
Aim: To evaluate the efficacy of a computer kinetic method in the diagnosis of fine motor abnormalities of upper limbs in MS patients at early stage of the disease, when motor abnormalities in the upper limbs are not yet obvious.
Materials and methods: The main study group included 42 patients with confirmed MS, who consented for testing and met the inclusion criteria (among them, absence of obvious motor and coordinator abnormalities in the arms). The mean age of the patients was 36 [29; 44] years. The control group included 31 healthy subjects with a mean age of 28 [21; 37] years. All the patients were assessed with an original computer kinetic system, including a two-minute test, when the patient had to follow a moving object on the screen with a computer mouse. Every test series resulted in 13 final characteristics.
Results: The test of the dominant hand showed that compared to the control group, the MS patients without clinical motor abnormalities in the upper extremities spend 20% more time to move to the aim object (p < 0.001), have a 18% lower output motor performance (p < 0.001), make by 54% more recurrent returns to the aim object (p = 0.012), by 7% more crosses of the ideal trajectory of moving to the aim (p = 0.036), by 32% more deviations from the ideal trajectory of moving along the x axis and by 52% more along the y axis (p < 0.001 for both comparisons), as well as they have a 12% lower mean rate of the movements during the computer test (p < 0.001) and by 12% more rate picks (p = 0.003).
Conclusion: Patients with confirmed MS, low degree of disability and absence of any clinically confirmed motor abnormalities in the upper limbs do have subclinical signs of motor abnormalities in the arms that can be identified by computer kinetic system.
Full Text
Рассеянный склероз (РС) – хроническое воспалительное демиелинизирующее нейродегенеративное заболевание с многоочаговым поражением центральной нервной системы [1]. Сегодня именно РС – самая частая нетравматическая причина инвалидизации людей молодого возраста [2]. К основным моторным клиническим симптомам РС относят двигательные и координаторные нарушения [3, 4]. Дефицит мелкой моторики кистей рук представляет собой одну из наиболее важных причин стойких нарушений профессиональной и социально-бытовой активности пациентов. Обычно нарушения координации в виде рассинхронизации движения глаз, тремора и атаксии конечностей, дисдиадохокинез связаны с повреждением мозжечка и его связей. Примерно 80% пациентов определяют различные типы атаксии как наиболее значимо влияющие на качество жизни [5], наряду с астенией и патологической утомляемостью [6].
В связи с высокой представленностью в коре больших полушарий и мозжечка центров, отвечающих за функцию верхних конечностей, нарушение тонкой моторики кистей рук наблюдается уже на начальных этапах заболевания, при этом формирование дефицита может возникать остро – вследствие обострений – или постепенно в случае нарастающей нейродегенерации [5]. Появление клиники поражения самого мозжечка и его связей с другими частями мозга во время обострения существенно повышает риск возникновения координаторных нарушений при новом обострении и их прогрессирования в дальнейшем [7]. Признаки вовлеченности мозжечка, регистрируемые на ранних стадиях заболевания, ухудшают общий прогноз в плане инвалидизации. Согласно исследованиям, когорта пациентов с мозжечковыми нарушениями при первом или втором обострении быстрее достигала показателя 6 баллов по шкале EDSS (англ. Expanded Disability Status Scale – Расширенная шкала оценки степени инвалидизации) по сравнению с пациентами с другими фенотипами обострений [8]. Координаторные обострения также ассоциированы с худшим восстановлением на фоне терапии глюкокортикоидами [9].
Наиболее вероятным субстратом подобных нарушений считается поражение коры мозжечка в виде интракортикальных очагов демиелинизации, которое встречается в 38,7% случаев вторично-прогрессирующего РС [10]. Помимо этого, важную роль могут играть лейкокортикальные (продолжающиеся в белое вещество) и субпиальные очаги [10]. На молекулярном уровне определенное клиническое значение может также иметь высокая экспрессия натриевых нейронспецифических каналов (Nav1.8) [11] и легких цепей аннексина (p11) [12] в клетках Пуркинье при РС.
Несмотря на высокую социальную и клиническую значимость симптоматики поражения мозжечка, на данный момент оценка этих симптомов в клинической практике весьма затруднена. Стандартная оценка проводится с помощью клинических проб на координацию руки [13]. В качестве альтернативных используются тесты с доской Пердью (англ. Purdue Pegboard Test) [14] и тест с колышками и девятью отверстиями на деревянной доске (англ. Nine-Hole Peg Test – 9-HPT) [15, 16], а также различные вспомогательные устройства и механические датчики, в том числе моторные энкодеры (датчики угла поворота), тахометры, потенциометры, электромагнитные и инерциальные датчики [17, 18], тактильные интерфейсы [19, 20]. Все эти методы и инструменты на настоящее время не зарегистрированы в России и не могут применяться в рутинной клинической практике.
Целью данного пилотного исследования стала оценка эффективности компьютерного кинетического метода диагностики нарушений мелкой моторики верхней конечности у пациентов с РС на ранней стадии заболевания, с низким уровнем инвалидизации и без выявленных нарушений двигательных функций верхних конечностей.
Материал и методы
На базе Научно-образовательного центра демиелинизирующих заболеваний (клиническая база – ГБУЗ ЯО «Клиническая больница № 2») ФГБОУ ВО «Ярославский государственный медицинский университет» Минздрава России было проведено тестирование 42 пациентов (из них 33 женщины) с подтвержденным диагнозом РС, давших добровольное информированное письменное согласие на проведение компьютерного кинетического тестирования, обработку и демонстрацию в исследовательской работе их персональных данных и соответствующих критериям включения: 1) возраст от 18 до 55 лет; 2) показатель по шкале EDSS до 3,5 балла; 3) отсутствие клинических признаков пареза и нарушений координации верхних конечностей при осмотре; 4) ремиссия в течение более 3 месяцев; 5) отсутствие когнитивных нарушений по тесту SDMT (англ. Symbol Digit Modalities Test – Тест модальности символов и цифр). Данные пациенты составили основную группу исследования. Медиана их возраста была 26 [22; 32] лет, медиана продолжительности заболевания – 103 [45; 127] месяца, медиана значения EDSS – 2 [1, 5; 2, 5] балла. В качестве контроля протестирован 31 доброволец (из них 25 женщин), не имеющий явных признаков неврологических заболеваний, давший добровольное информированное письменное согласие на проведение компьютерного кинетического тестирования, обработку и демонстрацию в исследовательской работе персональных данных. Медиана возраста в контрольной группе составила 24 [21; 27] года. Исследование одобрено к проведению Этическим комитетом при ГБУЗ ЯО «Клиническая больница № 2» г. Ярославля (Бюро № 1) на заседании от 19.04.2022 (протокол № 8).
В качестве метода диагностики нарушения функции верхней конечности была разработана оригинальная компьютерная программа (кинетическая система), в основу которой положены алгоритмы A. Pino и соавт. [21]; алгоритмы представлены в открытом доступе (IDEA 2D) [22]. Программный код реализован авторами настоящего исследования самостоятельно на языке Python, опираясь на описание математической модели оригинального исследования. Программа установлена на персональном компьютере – ноутбуке ASUS Eee PC VX6 с диагональю экрана 12,1 дюйма с использованием устройства ввода – компьютерной мыши Genius NetScroll 120. В качестве модификации метода использован темный экран, красная метка с динамически меняющимся размером, что применено впервые. Кроме того, впервые скорость прохождения одной попытки тестирования была ограничена 20 секундами, а общее время прохождения, без учета времени на объяснение хода тестирования испытуемому, составляло не более 1,5 минуты на исследование одной руки и 3 минут на полное прохождение тестирования. Пациенты и группа контроля проходили исследование в кабинете, где присутствовали только тестируемый и один исследователь. Перед прохождением исследования тестируемому объясняли цели и задачи исследования, его ход, правила и требования к испытуемому. Пациенты опрашивались на предмет наличия у них патологий со стороны зрительной системы, нарушений опорно-двигательной системы, которые могут влиять на результаты тестирования. У всех исследуемых были получены данные по доминантной руке, то есть по руке, которой они предпочитают выполнять основную деятельность, такую как письменная работа и передвижение компьютерной мыши при работе за стационарным персональным компьютером или ноутбуком. Была также получена информация о профессии испытуемых – для выявления тех, кто на постоянной основе работает за стационарным персональным компьютером или ноутбуком. Собраны жалобы на функцию верхней конечности, анамнез заболевания, проведены исследования полного неврологического статуса с оценкой по шкале EDSS.
Первой исследовалась доминантная рука испытуемых, после этого тестировалась другая (недоминантная) рука. В ходе опроса было установлено, что у всех участников исследования доминантной была правая рука. Размер окна программы составлял 800 × 600 пикселей и не зависел от параметров монитора компьютерной системы и разрешения экрана, что позволяет стандартизировать получаемые результаты и сделать диагностическую систему более универсальной. Всего каждому из испытуемых давалось по 4 попытки прохождения теста на доминантную и недоминантную руку, каждая попытка ограничивалась 20 секундами. Задача испытуемого – перемещать курсор мыши в окне и наносить клики по объектам (меткам) красного цвета, при этом объекты располагались на условном кольце. При клике по первому объекту он исчезает, и появляется второй объект красного цвета дальше по условному кольцу в направлении против часовой стрелки на определенном расстоянии от первого объекта (рис. 1). В процессе исследования компьютерная кинетическая система регистрировала координаты траектории перемещения курсора, а также число корректных попаданий по меткам и количество промахов. По окончанию исследования на основании этих данных рассчитывалось 13 метрик, характеризующих характер и качество движений, выполняемых испытуемым исследуемой рукой в ходе тестирования.
Рис. 1. Внешний вид программного окна
Для обработки информации, полученной в ходе исследования, использовали методы описательной статистики, данные представляли в виде медианы и квартилей (Me [Q1; Q3]). Ввиду несоответствия параметров исследуемой выборки кривой нормального распределения признаков мы использовали критерии непараметрической статистики. Для оценки значимости различий между несвязанными группами по количественному признаку применяли U-критерий Манна – Уитни. Статистически значимыми считали различия при p < 0,05. Статистическая обработка данных проводилась с использованием пакета прикладных программ Statistica 10.0 (Statsoft Inc., США). Анализу подверглись средние значения отдельно первой, второй, третьей и четвертой попыток всех протестированных, а также средние и медианные значения результатов по каждой метрике за все четыре попытки. Все аналитические действия выполнялись отдельно для доминантной и недоминантной руки. Следующим этапом статистического анализа было определение оптимальных пороговых значений показателей, при которых диагностическая ценность метода является максимальной. Для достижения этого был проведен ROC-анализ (англ. receiver operating characteristic analysis – рабочая характеристика приемника), проанализированы ROC-кривые для каждого из показателей.
Результаты
При сравнении результатов тестирования пациентов с РС и здоровых добровольцев выявлены статистически значимые различия по медианным значениям 9 метрик из 13 при исследовании доминантной руки (табл. 1) и 7 метрик из 13 при исследовании недоминантной руки (табл. 2).
Таблица 1. Медианные значения метрик кинетической системы для доминантной руки (Me [Q1; Q3])
Оцениваемый параметр функции координации | Пациенты с РС (n = 42) | Контроль (n = 31) | Значение р |
Время движения, мс | < 0,001 | ||
Пропускная способность, бит/с | < 0,001 | ||
Повторный вход в цель, абс.* | 0,012 | ||
Пересечение оси задачи, абс.* | 0,036 | ||
Параллельное изменение направления движения, абс.* | < 0,001 | ||
Перпендикулярное изменение направления движения, абс.* | < 0,001 | ||
Изменчивость движения, пиксели | < 0,001 | ||
Средняя скорость движения, пиксели/мс | < 0,001 | ||
Пики скорости, абс.* | 0,003 |
РС – рассеянный склероз
* Количество эпизодов за попытку
Таблица 2. Медианные значения метрик кинетической системы для недоминантной руки (Me [Q1; Q3])
Оцениваемый параметр функции координации | Пациенты с РС (n = 42) | Контроль (n = 31) | Значение p |
Время движения, мс | < 0,001 | ||
Пропускная способность, бит/с | < 0,001 | ||
Пересечение оси задачи, абс.* | 0,008 | ||
Параллельное изменение направления движения, абс.* | 0,001 | ||
Перпендикулярное изменение направления движения, абс.* | < 0,001 | ||
Изменчивость движения, пиксели | 0,004 | ||
Ошибка движения, пиксели | 0,019 |
РС – рассеянный склероз
* Количество эпизодов за попытку
В ходе исследования были получены данные о потенциальной возможности использования алгоритмов, предложенных A. Pino и соавт. [21, 22], при разработке программного обеспечения для оценки координации руки у пациентов с РС в российской популяции. По результатам проведенного тестирования установлено, что пациенты с РС хуже справляются с предложенными тестами на координацию. Так, при анализе результатов тестирования доминантной руки выявлено, что по сравнению с группой контроля пациенты с подтвержденным РС без клинических признаков нарушений движений верхних конечностей затрачивают на 20% больше времени на совершение движения к цели (p < 0,001), имеют на 18% более низкую пропускную способность движений (p < 0,001), совершают на 54% больше повторных возвратов к цели (p = 0,012), больше пересечений идеальной траектории движения к цели – на 7% (p = 0,036), отклонений от идеальной траектории движения по оси x (на 32%) и y (на 52%) (p < 0,001 в обоих случаях), имеют на 12% ниже среднюю скорость движения при выполнении компьютерного тестирования (p < 0,001) и на 12% больше пиков скорости (p = 0,003). В качестве визуализации приведем два варианта выполнения попытки – здоровым испытуемым и пациентом с РС (рис. 2).
Рис. 2. Траектория выполнения задания: А – здоровым испытуемым, Б – пациентом с рассеянным склерозом
При анализе результатов тестирования недоминантной руки оказалось, что по сравнению со здоровыми добровольцами пациенты с подтвержденным РС без клинических признаков нарушений движений верхних конечностей затрачивают на 21% больше времени на совершение движения к цели (p < 0,001), имеют на 17% более низкую пропускную способность движений (p < 0,001), на 12% большее число пересечений идеальной траектории движения к цели (p = 0,008), больше отклонений от идеальной траектории движения по оси x (на 22%, p = 0,001) и y (на 40%, p < 0,001) при выполнении компьютерного тестирования.
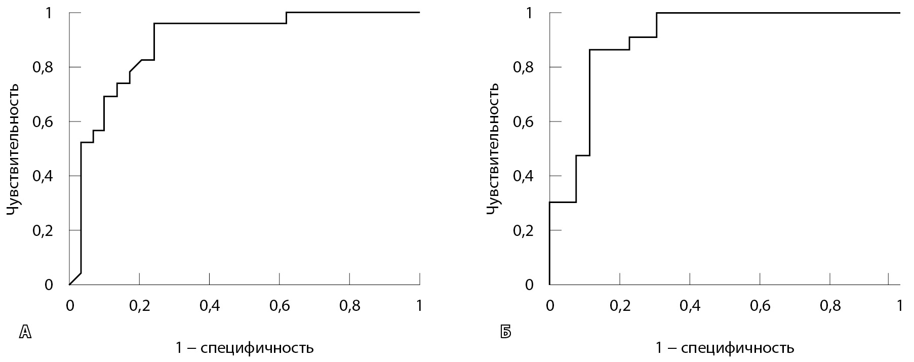
Для проверки качества исследуемого метода был проведен ROC-анализ с построением кривых чувствительности и специфичности. Вычисленная площадь под ROC-кривой составила 0,89 при анализе результатов тестирования доминантной руки и 0,9 при анализе результатов тестирования недоминантной руки, что соответствует отличному качеству исследуемого метода (рис. 3).
Рис. 3. ROC-кривые при анализе результатов тестирования: А – доминантной руки, Б – недоминантной руки
Обсуждение
В настоящее время при оценке функциональной системы координации по Куртцке [13] в качестве клинических тестов используется стандартная проба Ромберга, пальце-носовая и пяточно-коленная проба, тандемная ходьба. Для оценки функции верхней конечности из перечисленных тестов возможна к применению только пальце-носовая проба, при этом оценка достаточно субъективна, а методика низкочувствительна в отношении минимально выраженных симптомов. К ограничениям данной стандартной методики можно отнести вариабельность в исходных позициях для проведения пробы в зависимости от отечественной неврологической школы, а также отсутствие стандартных параметров для оценки ее результатов в количественном отношении, что не позволяет должным образом проследить динамику симптома.
Из дополнительных альтернативных тестов, предлагаемых для оценки функции координации верхних конечностей, на практике используют тесты с доской Пердью [14] и тест с колышками и девятью отверстиями на деревянной доске [15]. Данные тесты характеризуются достаточно высокой чувствительностью, надежностью и объективностью, однако существенную проблему представляет необходимость использования стандартного сертифицированного оборудования (на момент написания статьи такое оборудование в Российской Федерации не зарегистрировано), а также измерение одного показателя, а именно времени выполнения теста. Помимо этого, предложенные тесты не позволяют дифференцировать тонкие двигательные особенности, такие как планирование движения, ошибки в движении и обратный контроль в коррекции ошибок движения [16]. Подобные ограничения существенно снижают ценность методов в реальной практике, особенно для раннего выявления координаторных нарушений при РС.
Другие важные варианты оценки функции верхней конечности пациента – различные вспомогательные устройства и механические датчики, в том числе моторные энкодеры (датчики угла поворота), тахометры, потенциометры, электромагнитные и инерциальные датчики [17, 18], тактильные интерфейсы [19, 20]. Несмотря на потенциально высокую эффективность данных методов, для их применения требуется специальное оборудование, обеспечение которым не всегда возможно в условиях рутинной врачебной практики.
В ходе проведенного исследования мы показали, что разработанная на основе математической модели A. Pino и соавт. и адаптированная для большего удобства в рутинной практике программа диагностики нарушений мелкой моторики пациентов с РС выявляет статистически значимые различия в результатах прохождения тестирования между группой пациентов до 55 лет без нарушений функций верхних конечностей и группой здорового контроля в 9 метриках из 13 при исследовании доминантной руки и в 7 метриках из 13 при исследовании недоминантной руки.
К ограничениям настоящего исследования следует отнести малый размер изучаемой выборки, одноцентровый характер исследования, отсутствие кросс-валидации использования программного обеспечения на других компьютерах и с применением других манипуляторов. Все данные факторы могут в той или иной степени повлиять на результаты исследования. Для подтверждения достоверности изучаемого в данном исследовании метода планируется расширение групп пациентов и контроля, проведение сравнения использования метода на различных устройствах и при помощи различных манипуляторов одним человеком для выявления влияния характеристик аппаратуры на полученные результаты, применение метода для диагностики другими группами исследователей в различных медицинских и научно-исследовательских учреждениях, применение метода на больных, имеющих иные диагнозы (не РС).
Заключение
Настоящее исследование показывает, что разработанная авторами компьютерная кинетическая система – достаточно эффективный метод диагностики нарушений моторики верхних конечностей с высоким уровнем чувствительности и специфичности при исследовании функций как доминантной, так и недоминантной руки. В нашем исследовании пациенты с подтвержденным диагнозом РС с низкой степенью инвалидизации и без клинически подтвержденных нарушений двигательных навыков верхних конечностей имеют статистически значимо худшие результаты прохождения компьютерного кинетического тестирования по сравнению со здоровыми добровольцами по большинству параметров. В дальнейшем планируется разработка и внедрение в программу новых методов контроля функций верхних конечностей, а также новых рассчитываемых метрик и этапов тестирования. Кроме того, мы ставим перед собой задачу разработать нейронные сети, способные эффективно диагностировать патологии функций верхних конечностей по результатам компьютерного кинетического тестирования без необходимости анализа полученных данных непосредственно специалистом, что значительно повысит удобство использования данного метода в рутинной практике неврологов и врачей других специальностей.
Представленная в данном исследовании компьютерная кинетическая система анализа двигательных навыков верхних конечностей потенциально может обеспечить обнаружение малозаметных нарушений движения верхних конечностей у пациентов с РС и, таким образом, может стать важным клиническим инструментом для оценки степени прогрессирования заболевания и реакции пациента на проведенные программы лечения и реабилитации. При этом данный метод отличает низкая требовательность к квалификации исследователя, невысокие временные затраты, а также простота в выполнении: для проведения тестирования требуется наличие стационарного персонального компьютера или ноутбука и компьютерной мыши.
Дополнительная информация
Финансирование
Работа проведена без привлечения дополнительного финансирования со стороны третьих лиц.
Конфликт интересов
Авторы декларируют отсутствие явных и потенциальных конфликтов интересов, связанных с публикацией настоящей статьи.
Участие авторов
И.Е. Шумаков – сбор и обработка материала, анализ экспериментальных данных, написание текста; А.С. Лешонков – разработка программного обеспечения, сбор и обработка материала; Е.А. Вехина – сбор и обработка материала, анализ клинико-экспериментальных результатов исследования; Д.С. Касаткин – концепция и дизайн исследования, редактирование текста, утверждение итогового варианта текста рукописи. Все авторы прочли и одобрили финальную версию статьи перед публикацией, согласны нести ответственность за все аспекты работы и гарантируют, что ими надлежащим образом были рассмотрены и решены вопросы, связанные с точностью и добросовестностью всех частей работы.
About the authors
Igor E. Shumakov
Yaroslavl State Medical University
Email: igorstrong@mail.ru
ORCID iD: 0000-0002-5254-4689
Laboratory Assistant, Chair of Nervous Diseases with Medical Genetics and Neurosurgery
Russian Federation, ul. Revolyutsionnaya 5, Yaroslavl, 150000Artemiy S. Leshonkov
Lomonosov Moscow State University
Email: artemiy.leshonkov@graphics.cs.msu.ru
ORCID iD: 0000-0003-2144-7250
Graduate Student, Chair of Intelligent Information Technology
Russian Federation, Leninskie gory 1, Moscow, 119991Ekaterina A. Vekhina
Yaroslavl State Medical University
Email: ekavehha@ya.ru
ORCID iD: 0000-0002-6314-2706
Resident, Chair of Nervous Diseases with Medical Genetics and Neurosurgery
Russian Federation, ul. Revolyutsionnaya 5, Yaroslavl, 150000Dmitry S. Kasatkin
Yaroslavl State Medical University
Author for correspondence.
Email: dskasatkin@gmail.com
ORCID iD: 0000-0002-4769-4113
MD, PhD, Professor, Chair of Nervous Diseases with Medical Genetics and Neurosurgery
Russian Federation, ul. Revolyutsionnaya 5, Yaroslavl, 150000References
- Lassmann H. Multiple Sclerosis Pathology. Cold Spring Harb Perspect Med. 2018;8(3):a028936. doi: 10.1101/cshperspect.a028936.
- Garg N, Smith TW. An update on immunopathogenesis, diagnosis, and treatment of multiple sclerosis. Brain Behav. 2015;5(9):e00362. doi: 10.1002/brb3.362.
- Katz Sand I. Classification, diagnosis, and differential diagnosis of multiple sclerosis. Curr Opin Neurol. 2015;28(3):193–205. doi: 10.1097/WCO.0000000000000206.
- Bainaboina G. Effects of multiple sclerosis on motor movement. J Mult Scler (Foster City). 2021;8(3):237. doi: 10.35248/2376-0389.21.8.237.
- Wilkins A. Cerebellar dysfunction in multiple sclerosis. Front Neurol. 2017;8:312. doi: 10.3389/fneur.2017.00312.
- Kasatkin DS, Spirin NN. [Possible mechanisms of chronic fatigue syndromes in multiple sclerosis]. Zhurnal Nevrologii i Psikhiatrii imeni S.S. Korsakova [Journal of Neurology and Psychiatry named after S.S. Korsakov]. 2006;106(3):87–91. Russian.
- Mowry EM, Deen S, Malikova I, Pelletier J, Bacchetti P, Waubant E. The onset location of multiple sclerosis predicts the location of subsequent relapses. J Neurol Neurosurg Psychiatry. 2009;80(4):400–403. doi: 10.1136/jnnp.2008.157305.
- Weinshenker BG, Rice GP, Noseworthy JH, Carriere W, Baskerville J, Ebers GC. The natural history of multiple sclerosis: a geographically based study. 3. Multivariate analysis of predictive factors and models of outcome. Brain. 1991;114 (Pt 2):1045–1056. doi: 10.1093/brain/114.2.1045.
- Novotna M, Paz Soldán MM, Abou Zeid N, Kale N, Tutuncu M, Crusan DJ, Atkinson EJ, Siva A, Keegan BM, Pirko I, Pittock SJ, Lucchinetti CF, Noseworthy JH, Weinshenker BG, Rodriguez M, Kantarci OH. Poor early relapse recovery affects onset of progressive disease course in multiple sclerosis. Neurology. 2015;85(8):722–729. doi: 10.1212/WNL.0000000000001856.
- Kutzelnigg A, Faber-Rod JC, Bauer J, Lucchinetti CF, Sorensen PS, Laursen H, Stadelmann C, Brück W, Rauschka H, Schmidbauer M, Lassmann H. Widespread demyelination in the cerebellar cortex in multiple sclerosis. Brain Pathol. 2007;17(1):38–44. doi: 10.1111/j.1750-3639.2006.00041.x.
- Black JA, Dib-Hajj S, Baker D, Newcombe J, Cuzner ML, Waxman SG. Sensory neuron-specific sodium channel SNS is abnormally expressed in the brains of mice with experimental allergic encephalomyelitis and humans with multiple sclerosis. Proc Natl Acad Sci U S A. 2000;97(21):11598–11602. doi: 10.1073/pnas.97.21.11598.
- Craner MJ, Lo AC, Black JA, Baker D, Newcombe J, Cuzner ML, Waxman SG. Annexin II/p11 is up-regulated in Purkinje cells in EAE and MS. Neuroreport. 2003;14(4):555–558. doi: 10.1097/00001756-200303240-00005.
- Kurtzke JF. Rating neurologic impairment in multiple sclerosis: an expanded disability status scale (EDSS). Neurology. 1983;33(11):1444–1452. doi: 10.1212/wnl.33.11.1444.
- Gallus J, Mathiowetz V. Test-retest reliability of the Purdue Pegboard for persons with multiple sclerosis. Am J Occup Ther. 2003;57(1):108–111. doi: 10.5014/ajot.57.1.108.
- Mathiowetz V, Weber K, Kashman N, Volland G. Adult Norms for the Nine Hole Peg Test of Finger Dexterity. Occup Ther J Res. 1985;5(1):24–38. doi: 10.1177/153944928500500102.
- Krishnan V, Jaric S. Hand function in multiple sclerosis: force coordination in manipulation tasks. Clin Neurophysiol. 2008;119(10):2274–2281. doi: 10.1016/j.clinph.2008.06.011.
- Gijbels D, Lamers I, Kerkhofs L, Alders G, Knippenberg E, Feys P. The Armeo Spring as training tool to improve upper limb functionality in multiple sclerosis: a pilot study. J Neuroeng Rehabil. 2011;8:5. doi: 10.1186/1743-0003-8-5.
- Carpinella I, Cattaneo D, Abuarqub S, Ferrarin M. Robot-based rehabilitation of the upper limbs in multiple sclerosis: feasibility and preliminary results. J Rehabil Med. 2009;41(12):966–970. doi: 10.2340/16501977-0401.
- Riener R, Nef T, Colombo G. Robot-aided neurorehabilitation of the upper extremities. Med Biol Eng Comput. 2005;43(1):2–10. doi: 10.1007/BF02345116.
- Bardorfer A, Munih M, Zupan A, Primozic A. Upper limb motion analysis using haptic interface. IEEE/ASME Transactions on Mechatronics. 2001;6(3):253–260. doi: 10.1109/3516.951363.
- Pino A, Kouroupetroglou G, Papatheodorou N, Andreadou E, Papageorgiou C. Upper Limb Motor Skills Evaluation in Patients with Early Multiple Sclerosis Using the IDEA System. 2015 IEEE Symposium Series on Computational Intelligence. 2015:1658–1664. doi: 10.1109/SSCI.2015.233.
- Papatheodorou N, Pino A, Kouroupetroglou GT, Constantinides V, Andreadou E, Papageorgiou C. Upper Limb Motor Skills Performance Evaluation Based on Point-and-Click Cursor Trajectory Analysis: Application in Early Multiple Sclerosis Detection. IEEE Access. 2019;7:28999–29013. doi: 10.1109/ACCESS.2019.2901926.
Supplementary files






