The role of the fibrinolytic system laboratory markers in the assessment of the cerebral small vessel disease severity
- Authors: Khutorov D.N.1, Startseva O.N.1, Tikhomirova O.V.1, Zybina N.N.1
-
Affiliations:
- Nikiforov's All-Russian Center for Emergency and Radiation Medicine
- Issue: Vol 50, No 5 (2022)
- Pages: 287-294
- Section: ARTICLES
- URL: https://journals.rcsi.science/2072-0505/article/view/148958
- DOI: https://doi.org/10.18786/2072-0505-2022-50-045
- ID: 148958
Cite item
Full Text
Abstract
Background: Small vessel disease (SVD) is a common brain disease causing about 40% of all dementias and about 25% of ischemic strokes, which makes important the study of its pathophysiology and the search for its biomarkers. A number of studies have shown a significant role of endothelial dysfunction and nonspecific inflammation, as well as of some individual parameters of hemostasis disorders in the development of SVD.
Aim: To identify the role of the laboratory markers of fibrinolytic system in the assessment of the severity of white matter lesions in patients with SVD.
Materials and methods: This single center cross-sectional non-controlled observational study included 117 patients with dyscirculatory encephalopathy (chronic brain ischemia), with a mean (± SD) age of 57.7 ± 11.5 years. Laboratory tests of the fibrinolytic system, endothelial dysfunction, markers of inflammation and for an integral assessment of plasma hemostasis were performed in all patients, including XIIa-dependent fibrinolysis, levels of plasminogen, alpha2-antiplasmin, plasminogen activator inhibitor 1 (PAI-1), fibrinogen, von Willebrand factor (vWF) and activity of blood coagulation factor VIII (FVIII), highly sensitive C-reactive protein and parameters of the thrombodynamics assay. In all the patients, brain magnetic resonance imaging was performed with the assessment of the white matter lesions by the Fazecas scale.
Results: Depending on the identified neuroimaging SVD markers (assessed with the Fazecas scale), the patients were divided into the SVD group (n = 54) and no-SVD group (n = 63). Those with SVD were older than those without (65 ± 9 vs 51 ± 10 years; p < 0.001), had higher prevalence of arterial hypertension (p < 0.001), diabetes mellitus (p = 0.029) and past thrombotic events (p < 0.001). The SVD patients, compared to those without SVD, had a higher time of XIIa-dependent fibrinolysis (7.6 ± 2.9 vs 6.5 ± 1.7 min, p = 0.032), higher alpha2-antiplasmin levels (111 [95–117] vs 105 [95–111]%, p = 0.016) and higher clot density (D) (22789 [20567–26411] vs 20627 [18324–22650] U, p < 0.001), although the parameters were within the reference ranges. As far as the thrombodynamics is concerned, the SVD group had higher values for all test parameters, as well as higher levels of the inflammation and endothelial dysfunction markers. Increased time of XIIa-dependent fibrinolysis was associated with higher probability of periventricular and subcortical leukoareosis grade ≥ 2 by the Fazecas scale (odds ratio 1.31 [1.07–1.60], p = 0.009), including an increase in the size and number of gliosis areas. Higher plasminogen levels were associated with a lower probability of leukoareosis by the Fazecas scale (odds ratio 0.97 [0.95–0.98], p < 0.001).
Conclusion: The severity of fibrinolytic and hemostatic abnormalities correlates with the severity of brain SVD, thus forming the hypofibrinolytic and prothrombotic status of the patients with this disorder.
Full Text
Болезнь малых сосудов головного мозга (БМС) объединяет группу заболеваний, при которых происходит поражение церебральных сосудов малого диаметра, включающих мелкие артерии, артериолы, капилляры, венулы и мелкие вены. Спорадическая (возрастная) БМС считается наиболее распространенной формой и в общей популяции встречается примерно у 80% людей старше 60 лет [1]. Клинические проявления могут быть связаны с изменением тонких психических (замедление мышления, депрессивное настроение, апатия) [2, 3] или моторных (замедление походки) функций [4], а также с проблемами мочеиспускания (недержание мочи) [5]. Такие изменения часто воспринимаются как часть нормального процесса старения. Прогрессирование заболевания характеризуется развитием деменции [6] и выраженными нарушениями походки. БМС становится причиной 25% всех случаев ишемического инсульта [7].
Центральную роль в диагностике и оценке тяжести БМС играет нейровизуализация с использованием магнитно-резонансной томографии (МРТ). Паренхиматозные поражения вещества головного мозга, вызванные изменениями мелких сосудов, были приняты в качестве маркеров этого заболевания и оформлены в виде стандартов описания МРТ STRIVE (STandards for ReportIng Vascular change on nEuroimaging) [8]. Согласно этим стандартам, принято выделять недавние небольшие подкорковые инфаркты, гиперинтенсивность белого вещества, лакуны, церебральные микрокровоизлияния, расширенные периваскулярные пространства и атрофию головного мозга.
Важное место в патогенезе БМС занимает эндотелиальная дисфункция [9]. В физиологических условиях эндотелий головного мозга имеет решающее значение в регуляции мозгового кровотока и целостности гематоэнцефалического барьера, регулирует тонус сосудов, участвует в ангиогенезе, процессах повреждения и воспаления, а также регулирует гемодинамическую стабильность, предотвращая тромбоз с помощью различных антикоагулянтных и антитромбоцитарных механизмов [10].
К ключевым способам, которыми эндотелиальные клетки регулируют механизм свертывания крови, относят фибринолиз. Фибринолитическая система растворяет фибрин и поддерживает сосудистый гомеостаз. Последствия эндотелиальной дисфункции включают нарушение баланса между коагуляцией и фибринолизом, активацию тромбоцитов, пролиферацию гладкомышечных клеток сосудов и стимуляцию воспалительных процессов, которые в совокупности создают протромботическую среду [9, 11]. Однако роль нарушений фибринолиза в развитии БМС до сих пор не выяснена.
Цель настоящего исследования – определить роль лабораторных маркеров системы фибринолиза в оценке выраженности поражения белого вещества головного мозга у пациентов с БМС.
Материал и методы
В поперечное неконтролируемое обсервационное исследование включены 117 пациентов с диагнозом дисциркуляторной энцефалопатии (хроническая ишемия головного мозга), последовательно поступавших для планового обследования и лечения в отделение неврологии Всероссийского центра экстренной и радиационной медицины им. А.М. Никифорова в период с января 2020 по сентябрь 2021 г.
Критериями включения были наличие одного или нескольких факторов риска развития БМС (гипертоническая болезнь, сахарный диабет, курение), наличие нейровизуализационных маркеров БМС согласно критериям STRIVE. Критериями исключения служили наличие нейродегенеративных и других несосудистых заболеваний центральной нервной системы; болезни крови.
Все участники исследования дали информированное согласие на обработку персональных и медицинских данных. Протокол исследования одобрен локальным комитетом по этике ФГБУ ВЦЭРМ им. А.М. Никифорова МЧС России (протокол № 1/20 от 27.01.2020).
Всем пациентам были проведены лабораторные исследования по оценке системы фибринолиза, дисфункции эндотелия, маркеров воспаления и интегральной оценке плазменного гемостаза. Определяли XIIa-зависимый фибринолиз (набор фирмы «Ренам»), фибриноген, фактор фон Виллебранда (FW) и активность фактора свертывания крови VIII (FVIII) (автоматический коагулометр ACL TOP, Instrumentation Laboratory, США), концентрацию плазминогена, альфа2-антиплазмина, ингибитора активатора плазминогена 1-го типа (PAI-1) (набор Technozym фирмы Technoclone, универсальный счетчик Victor-2™), содержание высокочувствительного С-реактивного белка (анализатор иммунохемилюминесцентный Immulite 2000, США), а также параметры теста тромбодинамики (Регистратор тромбодинамики Т-2, ООО «ГемаКор», Россия).
По результатам теста тромбодинамики мы остановились на следующих параметрах: V (мкм/мин) – скорость роста сгустка, рассчитанная на интервале 15–25 минут после начала роста, которая характеризует фазу распространения свертывания; Tsp (мин) – время появления спонтанных сгустков в объеме плазмы, изначально не контактирующем со вставкой-активатором, характеризует собственный прокоагулянтный потенциал плазмы; D (у.е.) – плотность сгустка, зависящая от концентрации фибриногена в совокупности с активностью FXIII.
Для оценки полученных результатов использовали референтные интервалы, установленные фирмой-производителем. Материалом для исследования служила плазма или сыворотка крови, полученная в соответствии с рекомендациями производителя реактивов.
МРТ головного мозга выполняли на аппарате Magnetom Verio (Siemens, Германия) с напряженностью магнитного поля 3 Тл. Стандартное обследование проходило с использованием T1- и T2-взвешенных изображений в трех плоскостях и тяжело-взвешенных по T2 в аксиальной плоскости (TIRM) с оценкой выраженности поражения белого вещества по шкале Фазекаса. Классификация по шкале Фазекаса осуществлялась следующим образом: отсутствие лейкоареоза (0-я степень), точечный лейкоареоз (1-я степень), мелкие сливные очаги (2-я степень) и крупные сливные очаги (3-я степень). Отдельно оценивали степень поражения субкортикального (Fcк) и перивентрикулярного (Fпв) белого вещества, а также суммарный лейкоареоз (Fпв+ск).
Статистический анализ выполнен в программах SPSS v26.0 (IBM) и Statistica 12.0 (StatSoft Inc., США). Проверка на соответствие переменных нормальному распределению выполнялась с помощью W-теста Шапиро – Уилка, анализа эксцесса и асимметрии. Количественные переменные, соответствующие нормальному распределению, представлены в виде среднего арифметического (M) и стандартного отклонения (SD). Несоответствующие нормальному распределению переменные представлены в виде медианы (Me) и квартилей [Q25–Q75]. Построение прогностических моделей осуществляли с использованием однофакторной линейной регрессии, а также бинарной логистической регрессии с пошаговым исключением на основании статистики Вальда. Информативность модели оценивали по коэффициенту детерминации. Оптимальное пороговое значение логистической регрессионной модели определено ROC-анализом с построением ROC-кривой. Пороговое значение статистической значимости принято для p < 0,05.
Результаты
В зависимости от наличия/отсутствия нейровизуализационных маркеров БМС пациенты были разделены на 2 группы: в группу с БМС вошли 54 пациента, имевшие 1-ю и выше степени лейкоареоза по шкале Фазекаса, в группу без БМС – 63 обследованных с 0-й степенью по шкале Фазекаса. Пациенты с БМС были старше пациентов без БМС, у них чаще диагностировали гипертоническую болезнь, сахарный диабет и тромботические события в анамнезе (табл. 1).
Таблица 1. Сравнительная характеристика пациентов
Показатель | Пациенты с БМС (оценка по шкале Фазекаса > 0) n = 54 | Пациенты без БМС (оценка по шкале Фазекаса = 0) n = 63 | Значение р |
Возраст, годы (М ± SD) | 65 ± 9 | 51 ± 10 | < 0,001 |
Мужской пол, n (%) | 51 (94,4) | 60 (95,2) | 1,0 |
Женский пол, n (%) | 3 (5,6) | 3 (4,8) | 1,0 |
Гипертоническая болезнь, n (%) | 51 (94,4) | 36 (57,1) | < 0,001 |
Сахарный диабет, n (%) | 11 (20,4) | 4 (6,3) | 0,029 |
Гиперхолестеринемия, n (%) | 42 (77,8) | 40 (64,5) | 0,153 |
Фибрилляция предсердий, n (%) | 11 (20,4) | 5 (8,1) | 0,064 |
Курение, n (%) | 15 (27,8) | 18 (29,0) | 1,0 |
Тромботические события, n (%) | 25 (46,3) | 6 (9,5) | < 0,001 |
БМС – болезнь малых сосудов
По результатам лабораторных исследований у пациентов в группе с БМС по сравнению с пациентами без БМС были повышены значения времени XIIa-зависимого фибринолиза (р = 0,032) и концентрация альфа2-антиплазмина (р = 0,016), что указывает на замедление процессов фибринолиза. Вместе с тем, несмотря на различия в лабораторных показателях, они находились в референтных интервалах. По показателям тромбодинамики в группе с БМС наблюдали более высокие значения скорости, размера и плотности сгустков (V, CS и D). При этом по показателю появления спонтанных сгустков (Tsp) в группе с БМС в среднем в 2,5 раза чаще возникало спонтанное тромбообразование в период до 30 минут, чем в контрольной группе (отношение шансов 2,56 [1, 06–5, 88]). Следует обратить внимание на более высокий показатель плотности сгустка (D) в тесте тромбодинамики (р < 0,001), который косвенно зависит от работы системы фибринолиза. У пациентов с БМС также отмечены более высокие уровни концентрации фактора фон Виллебранда (p = 0,051) и высокочувствительного С-реактивного белка (p = 0,005), что можно рассматривать как признаки эндотелиальной дисфункции и сосудистого воспаления (табл. 2).
Таблица 2. Сравнительная характеристика лабораторных показателей системы фибринолиза, эндотелиальной дисфункции и воспаления у пациентов с наличием магнитно-резонансных маркеров поражения белого вещества головного мозга по шкале Фазекаса и без таковых, М ± SD / Me [Q25–Q75]
Показатель (референтные интервалы) | Пациенты с БМС (оценка по шкале Фазекаса > 0), n = 54 | Пациенты без БМС (оценка по шкале Фазекаса = 0), n = 63 | Значение p |
Показатели диагностики нарушений фибринолиза | |||
XIIа-зависимый фибринолиз, мин (5–12) | 7,6 ± 2,9 | 6,5 ± 1,7 | 0,032 |
Плазминоген, % (75–140) | 91 [83–100] | 94 [86–106] | 0,325 |
Альфа2-антиплазмин, % (80–120) | 111 [95–117] | 105 [95–111] | 0,016 |
PAI-1, Е/мл (7,0–43,0) | 0,898 | ||
Показатели теста тромбодинамики | |||
V, мкм/мин (20–29) | 0,004 | ||
D, у.е. (15000–32000) | 22789 [20567–26411] | 20627 [18324–22650] | < 0,001 |
Показатели эндотелиальной дисфункции и воспаления | |||
FW, % (60–150) | 173 ± 56 | 145 ± 45 | 0,051 |
вчСРБ, мг/л (0,0–14,0) | 0,005 | ||
Фибриноген, г/л (1,6–4,6) | 3,17 ± 0,82 | 2,85 ± 0,53 | 0,099 |
FVIII, % (50–150) | 165 ± 52 | 151 ± 48 | 0,167 |
D – плотность сгустка, PAI-1 – ингибитор активации плазминогена 1-го типа, V – скорость роста сгустка, БМС – болезнь малых сосудов, вчСРБ – высокочувствительный С-реактивный белок
Определены предикторы для прогнозирования 2-й и более стадии перивентрикулярного и субкортикального лейкоареоза по шкале Фазекаса (рис. 1). Статистика предикторов модели отражена в табл. 3. Выявлено, что с увеличением показателя XIIа-зависимого фибринолиза вероятность 2-й и более стадии лейкоареоза возрастает, а с увеличением концентрации плазминогена – снижается. Шанс развития лейкоареоза увеличивается в 1,31 раза на каждую единицу XIIа-зависимого фибринолиза и снижается в 1,03 раза на каждую единицу плазминогена. Модель согласуется с фактическими данными (тест Хосмера – Лемешова, p = 0,638), является статистически значимой (p < 0,001) и имеет информативность Нейджелкерка R2 = 0,44.
Рис. 1. Умеренный лейкоареоз вокруг желудочков – 2-я степень по шкале Фазекаса в перивентрикулярной зоне (А) и умеренное поражение субкортикальной зоны с множественными точечными и единичными сливными очагами глиоза – 2-я степень по шкале Фазекаса в субкортикальной зоне (Б). Суммарная оценка (перивентрикулярная зона + субкортикальная зона) – 4-я степень по шкале Фазекаса
Таблица 3. Статистика модели прогнозирования 2-й и более стадии перивентрикулярного и субкортикального лейкоареоза по шкале Фазекаса
Предиктор | B | SE | Значение p | ОШ | 95% ДИ |
XIIа-зависимый фибринолиз, мин | 0,27 | 0,1 | 0,009 | 1,31 | 1,07–1,60 |
Плазминоген, % | -0,033 | 0,009 | < 0,001 | 0,97 | 0,95–0,98 |
В – коэффициент регрессии, SE – стандартная ошибка, ДИ – доверительный интервал, ОШ – отношение шансов
Линейное уравнение логистической модели имеет следующий вид:
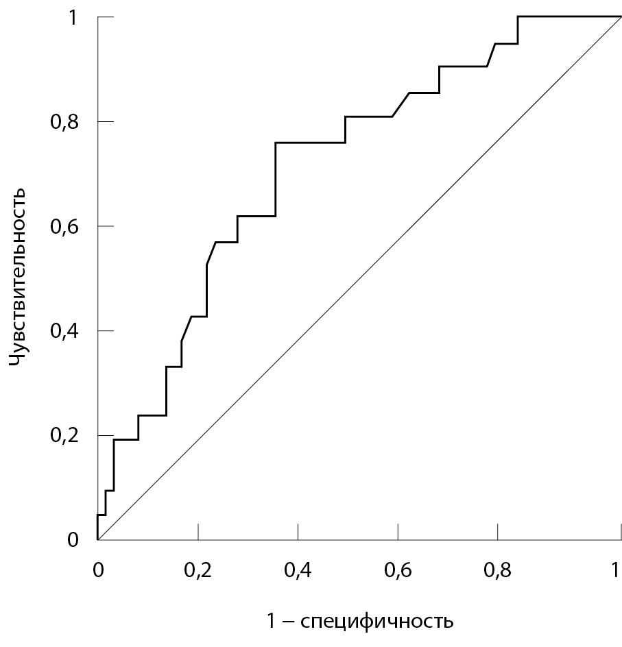
Для определения оптимального порогового значения функции вероятности P выполнен ROC-анализ (рис. 2). Пороговое значение выбрано по принципу равенства чувствительности и специфичности. При значении функции вероятности P = 0,228 модель имеет чувствительность 76% и специфичность 66% (AUC (англ. area under the curve, площадь под кривой) = 0,716; p < 0,001).
Рис. 2. ROC-кривая логистической модели прогноза 2-й и более стадии перивентрикулярного и субкортикального лейкоареоза по шкале Фазекаса
Для определения зависимости значений XIIa-зависимого фибринолиза от количества и размера очагов глиоза выполнена однофакторная линейная регрессия. Полученные модели представлены в табл. 4. Таким образом, установлена статистически значимая положительная линейная связь XIIа-зависимого фибринолиза с количеством (рис. 3) и размером (рис. 4) очагов глиоза. На каждый дополнительный очаг глиоза данный показатель увеличивается в среднем на 0,073 единицы, а на каждый 1 мм размера очага – на 0,164 единицы.
Таблица 4. Статистика переменных линейных регрессионных моделей
Переменная | R2 | B | SE | t | Значение p |
Модель 1 | |||||
Константа | – | 6,695 | 0,308 | 21,7 | < 0,001 |
Количество очагов глиоза | 0,093 | 0,073 | 0,026 | 2,9 | 0,006 |
Модель 2 | |||||
Константа | – | 6,607 | 0,336 | 19,7 | < 0,001 |
Размер очагов глиоза | 0,079 | 0,164 | 0,063 | 2,6 | 0,010 |
В – коэффициент регрессии, R2 – коэффициент детерминации, SE – стандартная ошибка, t – критерий Стьюдента
Рис. 3. Регрессионная связь XIIa-зависимого фибринолиза с количеством очагов глиоза (модель 1)
Рис. 4. Регрессионная связь XIIa-зависимого фибринолиза с размером очагов глиоза (модель 2)
Обсуждение
В последнее время уделяется большое внимание исследованию лабораторных биомаркеров у пациентов с БМС, накоплены убедительные данные о связи тяжести заболевания с уровнем и концентрацией плазменных маркеров эндотелиальной дисфункции и воспаления. В исследованиях лабораторных биомаркеров БМС также выявляют тесные связи с фактором некроза опухоли-альфа, интерлейкином-6, диметиларгинином (ADMA), матриксной металлопротеиназой-9, факторами адгезии, а также гомоцистеином, сывороточным альбумином и сывороточным нейрофиламентом [12–14]. Роль системы гемостаза в механизме развития БМС представляет для исследователей не меньший интерес, есть данные о связи заболевания с активатором плазминогена, тканевым фактором, PAl-1, фибриногеном и D-димером [15–17].
В результате проведенного исследования мы обнаружили снижение активности системы фибринолиза, активацию системы свертывания, а также повышение маркеров эндотелиальной дисфункции и воспаления у пациентов с нейровизуализационными признаками БМС по сравнению с пациентами из контрольной группы, у которых БМС не наблюдалась. Выявлено увеличение времени фибринолиза в тесте XIIa-зависимого фибринолиза у пациентов с БМС. Этот тест отражает способность системы фибринолиза лизировать стандартный сгусток, соответственно, более длинное время лизиса отражает снижение фибринолитической активности [18]. Более высокая концентрация альфа2-антиплазмина также может отражать гипофибринолитическое состояние, так как он играет роль основного ингибитора плазмина в организме [19]. Известно, что альфа2-антиплазмин способствует развитию микрососудистого тромбоза и усиливает экспрессию матриксной металлопротеиназы-9, которая связана с тяжестью БМС [20]. Кроме этого, в ходе теста глобальной оценки системы гемостаза (тест тромбодинамики, который позволяет исследовать пространственную динамику свертывания крови и выявлять состояния гиперкоагуляции [21]) мы обнаружили повышение почти всех показателей и зафиксировали образование спонтанных сгустков в 2,5 раза чаще у пациентов с БМС, чем у пациентов без БМС. Мы обратили внимание на показатель D-теста тромбодинамики (плотность фибринового сгустка), который зависит от концентрации фибриногена в совокупности с активностью фактора FXIII. Из-за связи с фибриногеном он может быть маркером неспецифического воспаления, а также косвенно отражать активность работы системы фибринолиза.
Нам удалось построить прогностические модели, отражающие тот факт, что при увеличении времени XIIа-зависимого фибринолиза и уменьшении концентрации плазминогена будет увеличиваться вероятность тяжести поражения вещества головного мозга 2-й и более степени по шкале Фазекаса, что соотносится с замедлением процессов фибринолитической системы, увеличивая общий протромбогенный потенциал плазмы крови.
Фибринолитическая система – важная часть системы гемостаза. Основные реакции включают образование плазмина (из плазминогена) и гидролитическое расщепление фибрина до продуктов его деградации (под действием плазмина). Фибринолитическая активность может регулироваться ингибированием как активации плазминогена (ингибиторы PAl-1 и PAl-2), так и активности плазмина (альфа2-антиплазмин). Фактор XIIa запускает внутренний фибринолиз и внутренний путь коагуляции и, таким образом, играет ключевую роль в достижении равновесия между коагуляционным и фибринолитическим процессами [11, 18]. В физиологических условиях существует баланс между коагуляцией и фибринолизом, который может быть изменен в патофизиологических условиях. Изучение потенциальных биомаркеров сложных процессов гемостаза в более широком масштабе остается трудной задачей, и их клиническую значимость у пациентов с БМС еще предстоит определить.
Существуют некоторые разногласия относительно того, какой биомаркер больше подходит для диагностики БМС. Подход с использованием нескольких биомаркеров может помочь преодолеть некоторые ограничения отдельных маркеров, это касается и методов оценки фибринолитической активности, так как из-за сложности системы фибринолиза до сих пор не разработан универсальный анализ, отражающий ее работу. Мы считаем, что стратегия комбинирования биомаркеров из разных путей с большей вероятностью будет клинически полезной, чем биомаркеры из одного и того же пути, позволит обеспечить большую репрезентативную способность исследований и может помочь с поиском универсальной «панели биомаркеров» для пациентов с БМС.
Заключение
Наше исследование предоставляет новые доказательства того, что система гемостаза и фибринолиза играет важную роль в понимании механизмов патогенеза болезни малых сосудов головного мозга. Выраженность нарушений фибринолиза и гемостаза связана с тяжестью болезни малых сосудов головного мозга, формируя гипофибринолитический и протромботический статус у пациентов с БМС. Таким образом, хотя на данный момент основным методом диагностики БМС признана нейровизуализация, необходимо дальнейшее изучение лабораторных биомаркеров БМС, что позволит преодолеть проблемы более ранней диагностики и прогнозирования заболевания, а также поиска мишеней для лекарственной терапии.
Дополнительная информация
Финансирование
Исследование не имело спонсорской поддержки.
Конфликт интересов
Авторы заявляют об отсутствии конфликта интересов.
Участие авторов
Все авторы внесли равный вклад в написание и подготовку рукописи. Все авторы прочли и одобрили финальную версию статьи перед публикацией, согласны нести ответственность за все аспекты работы и гарантируют, что ими надлежащим образом были рассмотрены и решены вопросы, связанные с точностью и добросовестностью всех частей работы.
Благодарности
Коллектив авторов благодарит канд. мед. наук Ирину Михайловну Левашкину, врача-рентгенолога кабинета магнитно-резонансной томографии отделения магнитно-резонансной томографии ФГБУ ВЦЭРМ им. А.М. Никифорова МЧС России, за помощь в анализе данных, полученных при магнитно-резонансной томографии головного мозга.
About the authors
Dmitrii N. Khutorov
Nikiforov's All-Russian Center for Emergency and Radiation Medicine
Author for correspondence.
Email: drdim@yahoo.com
ORCID iD: 0000-0002-3907-4088
Neurologist, Department of Clinical Neurology and Sleep Medicine
Russian Federation, ul. Akademika Lebedeva 4/2, Saint Petersburg, 194044Olga N. Startseva
Nikiforov's All-Russian Center for Emergency and Radiation Medicine
Email: startceva@mail.ru
ORCID iD: 0000-0003-3524-3603
PhD (in Biol.), Biologist, Laboratory of Clinical Chemistry, Department of Laboratory Diagnostics
Russian Federation, ul. Akademika Lebedeva 4/2, Saint Petersburg, 194044Olga V. Tikhomirova
Nikiforov's All-Russian Center for Emergency and Radiation Medicine
Email: olvitikhomirova@gmail.com
ORCID iD: 0000-0003-4722-0900
MD, PhD, Associate Professor, Head of Department of Clinical Neurology and Sleep Medicine
Russian Federation, ul. Akademika Lebedeva 4/2, Saint Petersburg, 194044Natalia N. Zybina
Nikiforov's All-Russian Center for Emergency and Radiation Medicine
Email: zybinan@inbox.ru
ORCID iD: 0000-0002-5422-2878
Doctor of Biol. Sci., Professor, Head of Department of Laboratory Diagnostics
Russian Federation, ul. Akademika Lebedeva 4/2, Saint Petersburg, 194044References
- de Leeuw FE, de Groot JC, Achten E, Oudkerk M, Ramos LM, Heijboer R, Hofman A, Jolles J, van Gijn J, Breteler MM. Prevalence of cerebral white matter lesions in elderly people: a population based magnetic resonance imaging study. The Rotterdam Scan Study. J Neurol Neurosurg Psychiatry. 2001;70(1):9–14. doi: 10.1136/jnnp.70.1.9.
- Fang Y, Qin T, Liu W, Ran L, Yang Y, Huang H, Pan D, Wang M. Cerebral Small-Vessel Disease and Risk of Incidence of Depression: A Meta-Analysis of Longitudinal Cohort Studies. J Am Heart Assoc. 2020;9(15):e016512. doi: 10.1161/JAHA.120.016512.
- van der Flier WM, van Straaten EC, Barkhof F, Verdelho A, Madureira S, Pantoni L, Inzitari D, Erkinjuntti T, Crisby M, Waldemar G, Schmidt R, Fazekas F, Scheltens P. Small vessel disease and general cognitive function in nondisabled elderly: the LADIS study. Stroke. 2005;36(10):2116–2120. doi: 10.1161/01.STR.0000179092.59909.42.
- Su C, Yang X, Wei S, Zhao R. Association of Cerebral Small Vessel Disease With Gait and Balance Disorders. Front Aging Neurosci. 2022;14:834496. doi: 10.3389/fnagi.2022.834496.
- Sakakibara R, Panicker J, Fowler CJ, Tateno F, Kishi M, Tsuyusaki Y, Yamanishi T, Uchiyama T, Yamamoto T, Yano M. Is overactive bladder a brain disease? The pathophysiological role of cerebral white matter in the elderly. Int J Urol. 2014;21(1):33–38. doi: 10.1111/iju.12288.
- Gorelick PB, Scuteri A, Black SE, Decarli C, Greenberg SM, Iadecola C, Launer LJ, Laurent S, Lopez OL, Nyenhuis D, Petersen RC, Schneider JA, Tzourio C, Arnett DK, Bennett DA, Chui HC, Higashida RT, Lindquist R, Nilsson PM, Roman GC, Sellke FW, Seshadri S; American Heart Association Stroke Council, Council on Epidemiology and Prevention, Council on Cardiovascular Nursing, Council on Cardiovascular Radiology and Intervention, and Council on Cardiovascular Surgery and Anesthesia. Vascular contributions to cognitive impairment and dementia: a statement for healthcare professionals from the american heart association/american stroke association. Stroke. 2011;42(9):2672–2713. doi: 10.1161/STR.0b013e3182299496.
- Petty GW, Brown RD Jr, Whisnant JP, Sicks JD, O'Fallon WM, Wiebers DO. Ischemic stroke subtypes: a population-based study of functional outcome, survival, and recurrence. Stroke. 2000;31(5):1062–1068. doi: 10.1161/01.str.31.5.1062.
- Wardlaw JM, Smith EE, Biessels GJ, Cordonnier C, Fazekas F, Frayne R, Lindley RI, O'Brien JT, Barkhof F, Benavente OR, Black SE, Brayne C, Breteler M, Chabriat H, Decarli C, de Leeuw FE, Doubal F, Duering M, Fox NC, Greenberg S, Hachinski V, Kilimann I, Mok V, van Oostenbrugge R, Pantoni L, Speck O, Stephan BC, Teipel S, Viswanathan A, Werring D, Chen C, Smith C, van Buchem M, Norrving B, Gorelick PB, Dichgans M; STandards for ReportIng Vascular changes on nEuroimaging (STRIVE v1). Neuroimaging standards for research into small vessel disease and its contribution to ageing and neurodegeneration. Lancet Neurol. 2013;12(8):822–838. doi: 10.1016/S1474-4422(13)70124-8.
- Bai T, Yu S, Feng J. Advances in the Role of Endothelial Cells in Cerebral Small Vessel Disease. Front Neurol. 2022;13:861714. doi: 10.3389/fneur.2022.861714.
- Sturtzel C. Endothelial Cells. Adv Exp Med Biol. 2017;1003:71–91. doi: 10.1007/978-3-319-57613-8_4.
- Zhalyalov AS, Balandina AN, Kuprash AD, Srivastava A, Shibeko AM. [The overview of fibrinolysis system contemporary concepts and of its disorders diagnostic methods]. Pediatric Hematology/Oncology and Immunopathology. 2017;16(1):69–82. Russian. doi: 10.24287/1726-1708-2017-16-1-69-82.
- Lavallée PC, Labreuche J, Faille D, Huisse MG, Nicaise-Roland P, Dehoux M, Gongora-Rivera F, Jaramillo A, Brenner D, Deplanque D, Klein IF, Touboul PJ, Vicaut E, Ajzenberg N; Lacunar-B.I.C.H.A.T. Investigators. Circulating markers of endothelial dysfunction and platelet activation in patients with severe symptomatic cerebral small vessel disease. Cerebrovasc Dis. 2013;36(2):131–138. doi: 10.1159/000353671.
- Liu X, Sun P, Yang J, Fan Y. Biomarkers involved in the pathogenesis of cerebral small-vessel disease. Front Neurol. 2022;13:969185. doi: 10.3389/fneur.2022.969185.
- Ren B, Tan L, Song Y, Li D, Xue B, Lai X, Gao Y. Cerebral Small Vessel Disease: Neuroimaging Features, Biochemical Markers, Influencing Factors, Pathological Mechanism and Treatment. Front Neurol. 2022;13:843953. doi: 10.3389/fneur.2022.843953.
- Wiseman S, Marlborough F, Doubal F, Webb DJ, Wardlaw J. Blood markers of coagulation, fibrinolysis, endothelial dysfunction and inflammation in lacunar stroke versus non-lacunar stroke and non-stroke: systematic review and meta-analysis. Cerebrovasc Dis. 2014;37(1):64–75. doi: 10.1159/000356789.
- Staszewski J, Piusińska-Macoch R, Brodacki B, Skrobowska E, Stępień A. Association between hemostatic markers, serum lipid fractions and progression of cerebral small vessel disease: A 2-year follow-up study. Neurol Neurochir Pol. 2018;52(1):54–63. doi: 10.1016/j.pjnns.2017.11.005.
- Nagai M, Hoshide S, Kario K. Association of prothrombotic status with markers of cerebral small vessel disease in elderly hypertensive patients. Am J Hypertens. 2012;25(10):1088–1094. doi: 10.1038/ajh.2012.85.
- Litvinov RI. [Molecular mechanisms and clinical significance of fibrinolysis]. Kazan Medical Journal. 2013;94(5):711–718. Russian. doi: 10.17816/KMJ1926.
- Singh S, Saleem S, Reed GL. Alpha2-Antiplasmin: The Devil You Don't Know in Cerebrovascular and Cardiovascular Disease. Front Cardiovasc Med. 2020;7:608899. doi: 10.3389/fcvm.2020.608899.
- Zhao J, Li Q, Meng L, Wang F, Li Q, Yang F, Wang M, Yu M, Zhang J, Li S, Ji S. Relationship between MMP-9 serum levels and tHcy levels and total imaging load and cognitive dysfunction. J Stroke Cerebrovasc Dis. 2022;31(12):106759. doi: 10.1016/j.jstrokecerebrovasdis.2022.106759.
- Balandina AN, Koltsova EM, Shibeko AM, Kuprash AD, Ataullakhanov FI. [Thrombodynamics: a new method to the diagnosis of hemostasis system disorders]. Pediatric Hematology/Oncology and Immunopathology. 2018;17(4):114–126. Russian. doi: 10.24287/1726-1708-2018-17-4-114-126.
Supplementary files










