Improving the energy efficiency of a galvanic area with a small-scale nature of production
- Authors: Romanova A.S.1
-
Affiliations:
- Samara State Technical University
- Issue: Vol 32, No 3 (2024)
- Pages: 117-132
- Section: Energy and Electrical Engineering
- URL: https://journals.rcsi.science/1991-8542/article/view/278668
- DOI: https://doi.org/10.14498/tech.2024.3.8
- ID: 278668
Cite item
Full Text
Abstract
The article considers the problems of energy efficiency of the galvanic section of an industrial enterprise with a small-scale production nature. An analysis of the energy resources consumed by the galvanic section is carried out. The galvanic bath load factors are determined for the section as a whole and for each metal coating application operation separately. The reason for the low energy efficiency of the section's heat supply associated with the uneven equipment load is revealed, due to the impossibility of regulating the consumption of thermal energy with a centralized steam supply. An energy balance of heat supply for the technological process of galvanic application of metal coatings is compiled for two operating modes of the process equipment: bringing to the mode and maintaining the mode. The energy costs required for heating the galvanic baths to the nominal temperatures regulated by the technology of the metal coating application process and the energy costs required to stabilize the temperature mode of the electrolysis process are determined, taking into account the nomenclature of the processed parts, the duration of the working cycle, the required thickness and physical characteristics of the galvanic coating. The article considers options for decentralized heat supply of galvanic baths taking into account process temperatures, load factors and the sequence of metal coating application operations. It defines a rational method for organizing uneven loading of galvanic baths and process energy consumption during decentralized heat supply of the production area. It establishes an acceptable level of efficiency reduction of industrial serial heat sources with increased uneven loading of process equipment. It proposes a method for utilizing unclaimed process heat in the hot water supply system in order to stabilize the efficiency of heat supply sources at a level close to the nominal one. It defines the economic effect of utilizing unclaimed process heat for the needs of hot water supply and heating of the galvanic area.
Full Text
Введение
В условиях плановой экономики загрузка большинства промышленных предприятий в целом и их отдельных производственных участков осуществлялась достаточно ритмично и предсказуемо, а энергоснабжение обычно было централизованным. Вопросам энергосбережения и энергоэффективности не придавалось первостепенного значения [1, 2]. С переходом к рыночной экономике отсутствие долговременного планирования, устойчивого и равномерного выпуска продукции повлекло за собой снижение коэффициента загрузки оборудования и часто критический перерасход затраченной на технологические нужды производства энергии. В этих условиях проблема энергоэффективности определяющим образом влияет на конкурентоспособность продукции и принимает актуальный характер [3].с
Обоснование
В работе рассматривается энергоемкий гальванический участок типового промышленного предприятия машиностроительной отрасли с мелкосерийным характером производства.
На участке установлено 50 ванн (n=50) с подогревом электролита или воды для промывки деталей, через которые проходит 1,5 тысячи номенклатурных наименований деталей и узлов.
Потребляемые энергетические ресурсы на гальваническом участке можно разделить на две группы:
1 – энергоресурс на вспомогательные нужды: горячая вода и пар – на отопление, электрическая энергия – на освещение и горячее водоснабжение;
2 – энергоресурс на технологические нужды: пар – на нагрев электролита, электроэнергия – на нагрев электролита и проведение процесса электролиза.
Неравномерность загрузки оборудования определяет нерациональное потребление энергоресурса, его перерасход и является одной из причин низкой энергоэффективности гальванического участка [4, 5]. Наиболее энергозатратным оборудованием гальванического участка являются ванны [6].
Равномерность загрузки гальванических ванн характеризуется суммарным коэффициентом загрузки всех n ванн гальванического участка [7]:
,
где Tk – время работы k-й гальванической ванны, ч; Tkф – фонд времени работы k-й гальванической ванны, ч.
Из рис. 1 видно, что суммарный коэффициент загрузки гальванического участка меняется, принимая значения от 0,34 до 0,15.
Коэффициент загрузки оборудования по каждой j-й группе операций определяется соотношением
.
Здесь – время работы технологической группы гальванических ванн, обслуживающих соответствующую j-ю операцию, ч; – фонд времени работы j-й группы оборудования, ч; j=1 – химическое оксидирование; j=2 – хромирование; j=3 – лужение; j=4 − травление; j=5 – хромовокислое анодирование; j=6 – химическое никелирование; j=7 – электрополирование; j=8 – снятие нагара; j=9 − никелирование; j=10 – хроммолибденирование; j=11 – снятие специального слоя и нагара; j=12 – химическое фосфатирование с оксидированием в универсальной гидрофобизирующей жидкости; j=13 – снятие краски.
Рис. 1. Динамика суммарного коэффициента загрузки K3 ванн
Рис. 2−4 показывают, что для каждой j-й группы операций коэффициенты загрузки изменяются от 0 до 0,95 в зависимости от графика поступления в цех деталей и узлов. Несмотря на это пар для нагрева электролита поступает на участок круглосуточно, без возможности регулирования его расхода на отдельные группы ванн.
В работе [8] проанализирована организация теплообеспечения технологических процессов топливно-энергетическими ресурсами в зависимости от коэффициента загрузки технологического оборудования и применяемого источника тепловой энергии трех вариантов комбинации и расстановки гальванических ванн с обеспечением их тепловой энергией от различных видов децентрализованных источников. В этой же работе установлено, что существующая организация теплоснабжения подогрева гальванических ванн при централизованном пароснабжении неэффективна по сравнению с децентрализованным теплоснабжением.
Рассмотрим возможность утилизации на вспомогательные нужды временных излишков тепла, вырабатываемого децентрализованными источниками гальванического участка, что не только напрямую обеспечивает дополнительный энергоресурс, снижая энергозатраты системы отопления и горячего водоснабжения, но и повышает равномерность распределения нагрузки на источники технологического теплоснабжения гальванического участка, увеличивая их КПД.
Для определения количества тепла, необходимого для нагрева ванн, и определения количества избыточного тепла от децентрализованных источников необходимо составить тепловой баланс технологического оборудования [9].
Рис. 2. Коэффициент загрузки оборудования по операциям : ▬●▬ − – химическое оксидирование; ▬●▬ − – хромирование; ▬●▬ − – лужение; ▬●▬ − – травление
Рис. 3. Коэффициент загрузки оборудования по операциям : ▬●▬ − – хромовокислое анодирование; ▬●▬ − – химическое никелирование; ▬●▬ − – электрополирование; ▬●▬ − – снятие нагара
Рис. 4. Коэффициент загрузки оборудования по операциям : ▬●▬− – никелирование; ▬●▬ − – хроммолибденирование; ▬●▬ − – снятие специального слоя и нагара; ▬●▬ − – химическое фосфатирование с оксидированием в универсальной гидрофобизирующей жидкости; ▬●▬ − – снятие краски
Тепловой баланс технологического оборудования
Для энергоэффективной организации теплоснабжения гальванического производства составим тепловой баланс гальванических ванн.
Рассмотрим два режима работы гальванических ванн.
Вывод на режим
Для подготовки оборудования к проведению всех операций подготовки и гальванического нанесения металлопокрытий необходимо вначале нагреть ванны до требуемой технологической температуры T1 (рис. 5). Процесс нагрева осуществляется с применением теплоисточника ТИ, находящегося внутри электролита.
Нагрев электролита. Пренебрегая неравномерностью распределения температуры по объему ванны, запишем зависимость температуры T1 электролита от времени t:
.
Нагрев корпуса ванны. Температура боковых и фронтальных стенок ванны описывается уравнением [10]
.
Рис. 5. Схема гальванической ванны: А – анод; Д – покрываемая деталь (катод); Е – источник тока
Здесь средняя температура стенки Tст и дна Тд корпуса ванны:
; (1)
.
На рассматриваемом гальваническом участке ванны установлены на бетонный пол без дополнительной теплоизоляции, что приводит к нагреву участка бетонного пола под ванной в соответствии с одномерным уравнением теплопроводности, в предположении одномерного характера прогрева пола:
с краевыми условиями:
;
;
;
.
Энергозатраты на нагрев электролита. Количество теплоты Qэ, необходимое для изменения средней по объему Vэ электролита от начальной до температуры T1, определяется интегральным законом Фурье:
(2)
Теплопотери через стенки корпуса ванны:
- на границе «электролит – стенка ванны» для составления баланса предполагается теплообмен при граничных условиях 1-го рода. Температура стенки равна температуре электролита (T1);
- на границе «стенка ванны – воздух» принимаются граничные условия 3-го рода, где тепловой поток определяется:
.
Для определения тепловых потерь через боковые стенки ванны необходимо найти распределение температурного поля в стенке ванны. В условиях идеального теплового контакта электролита с внутренней поверхностью стенки [11] температура стенки в нестационарном режиме определяется решением соответствующего уравнения теплопроводности для плоской стенки со смешанными граничными условиями:
.
Температура пола в нестационарном режиме определяется аналогично.
Количество теплоты ∆Qст, проходящее через боковые и фронтальные стенки ванны в единицу времени:
.
Нагрев корпуса ванны. Определение количества теплоты на нагрев конструкции ванны производится аналогично расчету расхода тепла на нагрев электролита (2). Тепло ∆Qв на нагрев элемента объема конструкции ванны за время ∆t, затраченное на нагрев электролита до технологической температуры (∆t =(tk-to)):
. (3)
Тепловые потери от зеркала электролита. Для расчета потерь тепла от зеркала электролита при нагреве ванны используется граничные условия по закону Ньютона:
.
Здесь и всюду: – температура корпуса ванны в момент времени t =0, ºC; Св – теплоемкость материала стенок ванны, Дж/(кг·ºC); ρв – плотность материала корпуса ванны, кг/м3; – общий объем стенок ванны, м3; Тст – средняя температура стенки ванны при времени tк, рассчитывается по (1), ºC; – температурное распределение по толщине δ стенки, ºC ; μn – корень характеристического уравнения , ; λc – коэффициент теплопроводности стенки; – относительная координата толщины стенки; – критерий Фурье; , n=1,2,… (для наружной поверхности боковых стенок x=δ, ξ=1); Vэ – объем электролита, м3; Vст, Vд – объем соответствующего элемента конструкции ванны (стенки или пола), м3; ρэ – плотность электролита, кг/м3; Сэ – теплоемкость электролита, Дж/(кг·ºC); Сст – теплоемкость стенок ванны, Дж/(кг·ºC); – температура электролита в момент времени t0=0, ºC; – температура электролита в момент времени tk, ºC; ρст – плотность материала стенок ванны, кг/м3; Qв.и. – тепловая мощность внешнего источника, Вт; Sэ – площадь поверхности электролита, м2; αэ – коэффициент теплоотдачи от зеркала электролита, Вт/м2; αст – коэффициент теплопередачи от стенок к воздуху, Вт/(м2·ºC); T1 – температура электролита, ºC; Tв – температура окружающего ванну воздуха, ºC; Sст1 – площадь боковой поверхности стенки, м2; Sст2 – площадь фронтальной поверхности стенки, м2; Sст3 – площадь дна ванны; λст – коэффициент теплопроводности стенки ванны, Вт/(м·ºC); δст – толщина стенки, м; T2 – температура наружной поверхности стенки, ºC; S3= Sп – площадь поверхности пола, м2; λп – коэффициент теплопроводности пола, Вт/(м·ºC); δп=δ – толщина пола, м; T3 – температура внешней поверхности пола, ºC; Вт/(м2·ºC).
Поддержание режима
После вывода на режим для проведения процесса электролиза температура электролита поддерживается постоянной и не меняется со временем [12, 13].
Поддержание стационарного теплового режима гальванических ванн требует компенсации тепловых потерь в окружающую среду от стенок ванны, от дна ванны в бетонный пол, от зеркала электролита; количества тепла, затрачиваемого на нагрев загружаемых деталей, и количества тепла, выделившегося при прохождении электрического тока через объем электролита:
Здесь tпр – продолжительность технологического процесса, с; Qэт – количество теплоты, выделяющееся при прохождении электрического тока через электролит.
Потери тепла через стенки корпуса ванны. С учетом допущения идеального теплового контакта в стационарном режиме на границе «электролит – стенка» температура на внутренней поверхности стенки будет равна температуре электролита (Т1(tк)).
Температура внешней поверхности стенки ванны , тогда тепловой поток, проходящий через плоскую стенку в стационарном режиме, определяется выражением
Количество теплоты, необходимое для компенсации тепловых потерь через стенки ванны при осуществлении технологического процесса, определяется:
Потери тепла от зеркала электролита:
Затраты тепла на нагрев загружаемых деталей. В установившемся технологическом режиме работы ванны производится загрузка холодных деталей и затрачивается тепло на их нагрев. Определение количества теплоты на нагрев загруженных деталей без внутренних тепловыделений происходит аналогично (2), (3):
Здесь Vд – объем загружаемых деталей, м3; – начальная температура детали до погружения в ванну, ºC; rд – плотность материала деталей, (кг/м3); Сд – теплоемкость загружаемых деталей, (Дж/(кг·ºC).
Технологическое тепловыделение. При проведении процесса электролиза для создания разности электрических потенциалов между катодом и анодом анод и катод подключают к источнику тока Е (см. рис. 5). При прохождении электрического тока через электролит в нем выделяется тепло по закону Джоуля – Ленца:
.
Здесь I – сила тока, необходимая для осуществления процесса; R – сопротивление электролита.
По результатам теплового баланса определена динамика требуемого для обеспечения технологии гальванических процессов количества теплоты (рис. 6).
Рис. 6. Динамика требуемого количества теплоты на технологические процессы
Децентрализованное пароснабжение гальванического участка
В работе [8] установлено, что газовый парогенератор для обеспечения технологического теплоснабжения эффективно использовать в качестве децентрализованного источника тепла гальванического участка с последовательно-параллельным графиком работы оборудования.
В связи с неравномерностью коэффициента загрузки (K3) гальванического оборудования не представляется возможным организовать равномерную номинальную загрузку парогенератора с максимальным КПД. Если же обеспечивать равномерную номинальную загрузку парогенератора при неравномерном потреблении пара гальваническим участком, высвобождается некоторое количество теплоты, которое можно использовать на общецеховые нужды отопления и горячего водоснабжения (ГВС).
Определим невостребованное количество тепла от парогенератора при его равномерной номинальной загрузке из формулы КПД парогенератора [14, 15]. Максимальный КПД парогенератора согласно технической документации определяется формулой
где Qпг – количество тепла, вырабатываемое парогенератором (ккал); B – расход топлива (кг/ч); – низшая рабочая теплота сгорания топлива для природного газа (ккал/кг).
При равномерной номинальной загрузке парогенераторов вырабатывается тепло, не востребованное для обеспечения нужд процессов нанесения гальванических покрытий, количество которого представлено на диаграмме (рис. 7).
Рис. 7. Количество теплоты, не востребованное при равномерной номинальной загрузке парогенераторов
Определим эффективность использования пара на нужды отопления и ГВС в предложенном способе.
Для использования невостребованного тепла [16] при равномерной номинальной загрузке парогенераторов предлагается установка пароаккумулятора в системе технологического теплоснабжения с подключением его к парогенераторам и передачей тепловой энергии в системы отопления и ГВС (рис. 8).
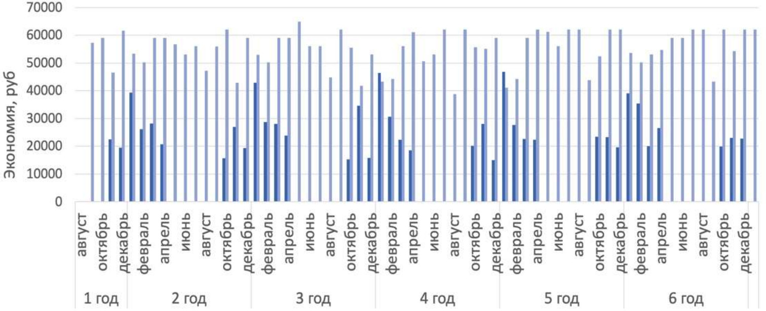
Рассмотрим энергетический (рис. 9) и экономический (рис. 10) эффект от внедрения пароаккумулятора для обеспечения равномерности и номинальной загрузки парогенераторов при отпуске невостребованного тепла в систему отопления и ГВС.
При использовании невостребованного тепла от парогенераторов на нужды отопления и ГВС наблюдается существенное увеличение их КПД вплоть до паспортных значений (рис. 11).
Из таблицы видно, что при использовании избытков тепла от парогенераторов в системе ГВС экономический эффект за 5 лет на 2619 тыс. руб. больше, чем при использовании избыточного тепла только в системе отопления. Обуславливается это сезонностью работы системы отопления.
Экономический эффект от использования излишков тепла от парогенератора в системе отопления и ГВС за 5 лет
Система теплоснабжения | Количество тепла, Гкал | Ед. изм. тарифа | Тариф, руб. | Экономический эффект, руб. |
Теплоснабжение гальванических ванн (парогенератор) | 1097,85 | – | –
| – |
Отопление | 616,923 | руб/Гкал | 1558 | 961170,116 |
ГВС | 933,169 | руб/кВт·ч | 4,1 | 3581117,12 |
Рис. 8. Схема подключения систем отопления и водоснабжения к газовым парогенераторам: , , …, – ряд ванн, выполняющих операцию химического оксидирования; , , …, – ряд ванн, выполняющих операцию хромирования; , , …, – ряд ванн, выполняющих операцию лужения; , , …, – ряд ванн, выполняющих операцию травления; , , …, – ряд ванн, выполняющих операцию хромово-кислого анодирования; , , …, – ряд ванн, выполняющих операцию химического никелирования; , , …, – ряд ванн, выполняющих операцию электрополирования; , , …, – ряд ванн, выполняющих операцию снятия нагара; , , …, – ряд ванн, выполняющих операцию никелирования; , , …, – ряд ванн, выполняющих операцию хроммолибденирования; , , …, – ряд ванн, выполняющих операцию снятия спецслоя и нагара; , , …, – ряд ванн, выполняющих операцию химического фосфатирования с оксидированием в универсальной гидрофобизирующей жидкости; , , …, – ряд ванн, выполняющих операцию снятия краски
Рис. 9. Энергетический эффект: ■ – система отопления; ■ – система ГВС
Рис. 10. Экономический эффект: ■ – система отопления; ■ – система ГВС
Рис. 11. КПД парогенераторов: ▬ – КПД парогенераторов при исключительном обеспечении технологических процессов; ▬ – КПД парогенераторов при дополнительном снабжении систем отопления и ГВС
Заключение
При использовании парогенератора на технологические нужды гальванического участка с мелкосерийным характером производства для повышения энергоэффективности и получения максимального КПД парогенераторов предложено использование избыточного тепла от парогенераторов на нужды системы водяного отопления и ГВС. Увеличение КПД при подключении парогенераторов дополнительно к системам теплоснабжения и ГВС составило от 6 до 12 % в сравнении с работой парогенераторов только на технологические нужды. Установлено, что при использовании избыточного тепла на ГВС наблюдается экономический эффект больше в 3,7 раза, чем при использовании на нужды системы отопления, что обусловливается сезонностью работы системы отопления и постоянством потребления тепла от системы ГВС.
About the authors
A. S. Romanova
Samara State Technical University
Author for correspondence.
Email: alyona512@yandex.ru
Postgraduate Student
Russian Federation, 244, Molodogvardeyskaya st., Samara, 443100References
- Mariana Resener, Steffen Rebennack, Panos M. Pardalos, Sérgio Haffner. Handbook of Optimization in Electric Power Distribution Systems // Publisher Springer Cham Published: 25 February 2020. Number of Pages XI, 382.
- Vinogradov S.S. Organizaciya gal'vanicheskogo proizvodstva. Oborudovanie, raschet proizvodstva, normirovanie [Organization of galvanic production. Equipment, production calculations, rationing]. M.: Globus, 2005. 240 p. (In Russian)
- Pirkin A.G. Teoreticheskie osnovy sistemnogo analiza energoobespecheniya predpriyatij. Uchebnoe posobie dlya obuchayushchihsya po napravleniyu podgotovki 35.04.06. Agroinzheneriya [Theoretical foundations of system analysis of energy supply to enterprises. Textbook for students in the field of training 04/35/06. Agroengineering]. SPb.: SPbGAU, 2021. 92 p. (In Russian)
- Kogan M.V., Mitchenko I.A. Economic risk planning of the industrial enterprises // European Journal of Economic Studies. 2012. No. 1(1). Pр. 30–36.
- Shluger M.A. Galvanicheskie pokrytiya v mashinostroenii [Galvanic coatings in mechanical engineering]. M.: Mashinostroenie, 1985. 240 p. (In Russian)
- Vajner Ya.V., Dasoyan M.A. Oborudovanie cekhov elektrohimicheskih pokrytij [Equipment for electrochemical coating workshops]. M.: Mashinostroenie, 1971. 288 p. (In Russian)
- Chichkina V.D. Organizaciya i planirovanie proizvodstva [Organization and planning of production]. Samara: SamGU, 2012. 186 p. (In Russian)
- Romanova A.S., Mikushin M.B., Voevodin A.Yu. Analiz energoemkosti gal'vanicheskogo kompleksa mashinostroitel'nogo proizvodstva [Analysis of the energy intensity of the galvanic complex of machine-building production] // Vestnik Samarskogo gosudarstvennogo tekhnicheskogo universiteta. Seriya: Tekhnicheskie nauki. 2021. Vol. 29. No. 4. Pр. 44–55. doi: 10.14498/tech.2021.4.4 (In Russian)
- Caplin A.I., Nikulin I.L. Modelirovanie teplofizicheskih processov i ob"ektov v metallurgii [Modeling of thermophysical processes and objects in metallurgy]. Perm: PGTU, 2011. 299 p. (In Russian)
- Lykov A.V. Teplomassoobmen [Heat and mass transfer]. M.: Energiya, 1978. 480 p. (In Russian)
- Cherednichenko V.S., Sinicyn V.A., Aliferov A.I. i dr. Teploperedacha [Heat transfer: textbook for universities]. Novosibirsk: NGTU, 2007. 232 p. (In Russian)
- Nashchokin V.V. Tekhnicheskaya termodinamika i teploperedacha [Technical thermodynamics and heat transfer]. M.: Vysshaya shkola, 1959. 560 p. (In Russian)
- Krejt F., Blek U. Osnovy teploperedachi [Fundamentals of Heat Transfer]. M.: Mir, 1983. 512 p. (In Russian)
- Kovalev A.P., Leleev N.S., Vilenskij T.V. Parogeneratory [Steam Generators]. M.: Energoatomizdat, 1985. 376 p. (In Russian)
- Dubrovskij V.A. Uvelichenie teplovoj effektivnosti poverhnosti nagreva kotel'-nyh agregatov. Teploobmen v parogeneratorah [Increasing the Thermal Efficiency of the Heating Surface of Boiler Units. Heat Transfer in Steam Generators]. Novosibirsk, 1990. Рр. 23–24. (In Russian)
- Borodulya A.V., Hassan A.F., Pal'chenok G.I. Teploobmen v topochnom ob"eme paroge-neratorov s kipyashchem sloem. Teploobmen v parogeneratorah [Heat Transfer in the Furnace Volume of Fluidized Bed Steam Generators. Heat Transfer in Steam Generators]. Novosibirsk, 1990. Pр. 60–63. (In Russian)
Supplementary files













