Исследование электропотребления объектов индивидуального жилищного строительства разной этажности и площади
- Авторы: Ахметшин А.Р.1,2
-
Учреждения:
- Казанский государственный энергетический университет
- Ассоциация «Росэлектромонтаж»
- Выпуск: Том 31, № 4 (2023)
- Страницы: 34-48
- Раздел: Энергетика и электротехника
- URL: https://journals.rcsi.science/1991-8542/article/view/254538
- DOI: https://doi.org/10.14498/tech.2023.4.3
- ID: 254538
Цитировать
Полный текст
Аннотация
В Российской Федерации нарастающими темпами осуществляется строительство объектов индивидуального жилищного строительства. При этом отсутствуют соответствующие нормативные документы с адекватной методикой расчета нагрузок для строительства электрических сетей. Данная ситуация привела к низкой загрузке электросетевого оборудования, соответственно инвестиции перешли в категорию невозвратных. Устойчивое развитие частного и индустриального строительства объектов индивидуального жилья возможно только при разработке нормативных технических документов, отвечающих современным трендам. Для выполнения данной задачи была выполнена научно-исследовательская работа с целью разработки нормативных документов, используемых при проектировании электрических сетей коттеджных поселков, с учетом разной этажности и площади объектов индивидуального жилищного строительства. На примере двух коттеджных поселков г. Казани по параметру суточного и месячного электропотребления удалось получить выборку, данные которой подчиняются закону нормального распределения. Проведенный анализ выборочных совокупностей коттеджей поселков показывает, что по параметру электропотребления их можно группировать в зависимости от количества этажей и площади домов. Полученные результаты позволяют сформировать будущую методику расчета электрических нагрузок с внесением изменений в Федеральный свод правил.
Полный текст
Введение
В Российской Федерации нарастающими темпами осуществляется строительство объектов индивидуального жилищного строительства (ОИЖС) благодаря реализации указов президента, федеральных проектов с одновременным выполнением проекта развития индивидуального жилищного строительства. На сегодняшний день ежегодно возводятся 350–450 тысяч ОИЖС средней площадью 130–140 м2. Доля ОИЖС в общем объеме ввода жилья выросла с 43 % (2018) до 56 % (2022) (рис. 1). Стратегия развития строительной отрасли включает в себя комплекс мер, направленных на развитие индустриального строительства ОИЖС.
Рис. 1. Ввод объектов индивидуального жилищного строительства в Российской Федерации с 2018 до 2022 гг.
Одной из проблем развития индустриального строительства является отсутствие адекватной нормативно-технической базы по проектированию электрических сетей. Устойчивое развитие строительства индивидуальных и индустриальных ОИЖС возможно только при разработке современных нормативных технических документов по расчету электрических нагрузок.
Выполнению разработки нормативных технических документов способствует цифровая трансформация в электроэнергетике, в частности внедрение интеллектуальных приборов учета электроэнергии (ИПУЭЭ) [1–4]. Внедрение ИПУЭЭ позволяет выполнять мониторинг фактических электрических нагрузок в течение нескольких лет [5–13] с последующим проведением расчетов по прогнозированию электрических нагрузок [14–17].
Научно-исследовательская работа, выполненная ассоциацией «Росэлектромонтаж» совместно с АО «Сетевая компания», выявила низкую загрузку электросетевого оборудования (менее 20 %) в поселках городских и сельских агломераций [3]. Построенные электрические сети и трансформаторные подстанции 10/0,4 кВ по факту оказываются недогруженными [5–9, 18], тем самым инвестиционные ресурсы сетевых компаний используются неэффективно, а центры питания, построенные и реконструированные для нужд технологического присоединения, не обеспечены заявленной потребителями мощностью.
Разработка нормативных технических документов, основанных на фактических замерах, обеспечит выбор силовых трансформаторов с оптимальным коэффициентом загрузки и приведет к минимизации потерь электроэнергии [19–22], а также позволит выбрать генерирующее оборудование (возобновляемые источники энергии, газотурбинные и газопоршневые станции), обеспечивающее необходимые выходные параметры с высоким КПД [23] для энергоснабжения изолированных и дальних районов. Затраты при строительстве электрических сетей уменьшатся за счет сокращения количества и мощности силовых трансформаторов, длины и сечения кабельных линий [5–12].
Важно отметить, что стоимость технологического присоединения к электрическим сетям возросла в соответствии с Федеральным законом от 16.02.2022 № 12-ФЗ «О внесении изменения в статью 23.2 Федерального закона «Об электроэнергетике». Например, в Самарской области вместо 550 руб. стоимость технологического присоединения составит 63 840 руб. за 15 кВт (4 256 руб. за 1 кВт) при условии, что расстояние от энергопринимающих устройств до существующих объектов электросетевого хозяйства сетевых организаций составляет не более 200 м в городах и поселках городского типа и не более 300 м в сельской местности. Стоимость подключения зависит от региона (рис. 2).
Рис. 2. Стоимость технологического присоединения к электрическим сетям в разных регионах страны
Ассоциация «Росэлектромонтаж» разработала дорожную карту, позволяющую существенно снизить стоимость строительства электрических сетей для ОИЖС. Она включает в себя актуализацию нормативных электрических нагрузок ОИЖС и разработку новой методики по выбору электросетевого оборудования.
Статистическая обработка по значениям среднемесячного электропотребления за период наблюдений
В качестве исследуемой выборки были рассмотрены два коттеджных поселка г. Казани. Исследование данной выборки проводилось по величине расхода электроэнергии ОИЖС. Величина расхода электроэнергии определялась по суточным профилям активной мощности с шагом в 30 минут. Для проведения статистической обработки использовались суточные профили активной мощности коттеджных поселков № 1 (71 коттеджа) и № 2 (62 коттеджей). Период наблюдений для поселка № 1 – с 1 октября 2021 г. по 20 февраля 2022 г., для поселка № 2 – с 1 февраля по 5 марта 2022 г.
По профилям активной мощности было определено среднемесячное электропотребление коттеджей. В результате статистической обработки электропотребления были получены основные показатели выборок (табл. 1).
Таблица 1
Основные статистические показатели среднемесячного электропотребления выборок ОИЖС рассматриваемых поселков
Объем выборки, шт. | Среднемесячное электропотребление, кВт∙ч | Среднеквадратическое отклонение, кВт∙ч | Медиана, кВт∙ч | Минимальное значение, кВт∙ч | Максимальное значение, кВт∙ч |
Поселок № 1 | |||||
71 | 505,43 | 481,88 | 364,68 | 100,66 | 2725,53 |
Поселок № 2 | |||||
62 | 508,98 | 380,13 | 366,24 | 57,78 | 1686,6 |
Как видно из табл. 1, среднемесячное электропотребление ОИЖС составляет в среднем 507 кВтч/месяц. Максимальное значение электропотребления (2725 и 1686,6 кВт∙ч) может свидетельствовать о наличии электрических обогревательных приборов, а минимальное значение (57,78 и 100,66 кВт∙ч), в свою очередь, о том, что в домах не живут постоянно. Поскольку возможны случаи, что в течение месяца ОИЖС не эксплуатируются, в дальнейшем будет использоваться суточное электропотребление.
Статистическая обработка по значениям суточного электропотребления за сутки с максимальной нагрузкой
Построение гистограмм распределения электропотребления позволит визуально оценить его характер, что даст возможность сделать вывод о существовании обособленных, имеющих статистически значимые различия групп внутри выборочной совокупности ОИЖС.
Для построения гистограмм распределения электропотребления были определены сутки с максимальным электропотреблением в течение всего периода наблюдений.
Для оценки численных значений возможных выбросов была построена ящичная диаграмма электропотребления выборок ОИЖС за день с максимальным электропотреблением 19 декабря 2021 г. (поселок № 1) и 2 февраля 2022 г. (поселок № 2).
Из выборки коттеджей поселка № 1 были исключены выбросы значениями выше 25,6 кВт∙ч/сутки (12 объектов), из выборки коттеджей поселка № 2 – выбросы значениями выше 28,0 кВт∙ч/сутки (10 объектов) для выполнения закона нормального распределения [24, 25]. В результате исключения выбросов из исследуемых выборочных совокупностей коттеджей поселков № 1 и № 2 для 83 % объектов (поселок № 1 – 59 коттеджей, поселок № 2 – 52 коттеджа) выборок поселков был выявлен признак зависимости по электропотреблению. Остальные 17 % объектов не укладываются в статистические закономерности, причем исключительно со стороны максимальных значений выборки.
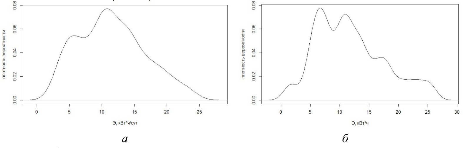
На рис. 3 и рис. 4 приведены гистограмма распределения электропотребления и плотность распределения вероятности, полученная методом «ядерного сглаживания», график квантиль-квантиль.
Рис. 3. Гистограмма распределения выборочной совокупности после отбраковки выбросов: а – поселок № 1; б – поселок № 2
Рис. 4. Плотность распределения вероятности, полученная методом «ядерного сглаживания» после отбраковки выбросов: а – поселок № 1; б – поселок № 2
Анализ графиков позволяет выдвинуть гипотезу о нормальности распределения данных выборок. Данная гипотеза была проверена расчетными тестами.
Наличие «горбов» (см. рис. 4) на графиках плотности распределения вероятности, полученной методом «ядерного сглаживания», позволяет выдвинуть гипотезу о наличии внутри пилотных выборок ОИЖС нескольких обособленных групп.
Выделение групп в совокупности ОИЖС
Исследования проводились на основании данных коттеджных поселков № 1 и № 2. Объем выборочной совокупности поселка № 1 составил 67 объектов, поселка № 2 – 61 объект (из исходной пилотной выборки были исключены объекты в связи с отсутствием данных: количество этажей и площадь).
Данные по площади и количеству этажей ОИЖС коттеджных поселков были получены с официального сайта Федеральной службы государственной регистрации, кадастра и картографии (Росреестр) [26].
Выборки формировались по значениям суточного (за сутки с максимальной нагрузкой) и среднемесячного (за период наблюдений) электропотребления.
Деление ОИЖС на группы по количеству этажей
Выборочные совокупности суточного и среднемесячного электропотребления ОИЖС поселков № 1 и № 2 были разделены на группы в зависимости от количества этажей ОИЖС.
Поселок № 1:
– 1-я группа – одноэтажные коттеджи (13 объектов);
– 2-я группа – двухэтажные коттеджи (49 объектов).
Поселок № 2:
– 1-я группа – одноэтажные коттеджи (12 объектов);
– 2-я группа – двухэтажные коттеджи (44 объекта).
Третья группа (3-этажные коттеджи) у обоих поселков была исключена из дальнейшего рассмотрения ввиду своей малочисленности.
Оценка статистической значимости разделения ОИЖС на группы по количеству этажей
Для проверки предположения о статистической значимости групп ОИЖС отобразим рассчитанные по выборкам групп статистические показатели на ящичной диаграмме. Данные для двух групп ОИЖС обоих поселков по значениям суточного электропотребления за сутки с максимальной нагрузкой и среднемесячного электропотребления за период наблюдений показаны на рис. 5 и рис. 6 соответственно. Для наглядности из групп ОИЖС были исключены грубые выбросы.
Признаком статистической значимости разницы средних в группах ОИЖС является условие, что «ящики» распределений не пересекаются. Как видно из диаграммы на рис. 5, «ящики» распределений 1-й и 2-й групп ОИЖС практически не пересекаются. Это позволяет выдвинуть гипотезу о том, что данные группы являются обособленными. По диаграмме на рис. 6 однозначного вывода сделать нельзя. Результаты проверки выборок двух групп поселков расчетными тестами по параметрам среднесуточного (за сутки с максимальной нагрузкой) и среднемесячного (за период наблюдений) электропотребления представлены в табл. 2.
Рис. 5. Ящичная диаграмма суточного электропотребления групп ОИЖС: а – поселок № 1; б – поселок № 2
Рис. 6. Ящичная диаграмма среднемесячного электропотребления групп ОИЖС: а – поселок № 1; б – поселок № 2
Таблица 2
Значение p-value для рассматриваемых поселков
Показатель | Название теста | |
Тест Уэлча | Тест Уилкоксона | |
Суточное электропотребление | Поселок № 1 | |
7,8·10-05<0,05 – разные группы | 0,001<0,05 – разные группы | |
Поселок № 2 | ||
0,049<0,05 – разные группы | 0,04<0,05 – разные группы | |
Среднемесячное электропотребление | Поселок № 1 | |
3,8·10-06<0,05 – разные группы | 0,0005<0,05 – разные группы | |
Поселок № 2 | ||
0,025<0,05 – разные группы | 0,008<0,05 – разные группы | |
Согласно проведенным тестам (см. табл. 2) отклоняем гипотезу о равенстве средних, т. е. различия значений суточного электропотребления по группам являются статистически значимыми. Значит, принятое разбиение ОИЖС на группы по количеству этажей корректно. На рис. 7 представлен диапазон изменения площади ОИЖС в зависимости от этажности.
Как видно из рис. 7, ОИЖС могут иметь разную этажность, но одинаковую площадь. В связи с этим было выполнено исследование на предмет группировки домов по площади.
Рис. 7. Диапазон изменения площади объектов индивидуального жилищного строительства в зависимости от этажности: а – поселок № 1; б – поселок № 2
Деление ОИЖС на группы по площади
Выборки ОИЖС поселков № 1 и № 2 были разделены на группы в зависимости от площади ОИЖС.
Ввиду своей малочисленности были исключены группы до 100 м2 и свыше 400 м2 для коттеджного поселка № 1 и группы до 100 м2 и свыше 300 м2 для коттеджного поселка № 2.
Для остальных групп была проведена статистическая обработка значений суточного и среднемесячного электропотребления.
Поселок № 1:
– 1-я группа – коттеджи площадью 100÷200 м2 (26 объектов);
– 2-я группа – коттеджи площадью 200÷300 м2 (18 объектов) ;
– 3-я группа – коттеджи площадью 300÷400 м2 (15 объектов).
Поселок № 2:
– 1-я группа – коттеджи площадью 100÷200 м2 (38 объектов);
– 2-я группа – коттеджи площадью 200÷300 м2 (14 объектов).
Оценка статистической значимости разделения ОИЖС на группы по площади
Для проверки предположения о статистической значимости полученных групп ОИЖС отобразим рассчитанные по выборкам групп статистические показатели на ящичной диаграмме. Данные для групп ОИЖС поселков по значениям суточного (за сутки с максимальной нагрузкой) и среднемесячного (за период наблюдений) электропотребления показаны на рис. 8 и рис. 9.
Рис. 8. Ящичная диаграмма суточного электропотребления групп ОИЖС: а – поселок № 1; б – поселок № 2
Рис. 9. Ящичная диаграмма среднемесячного электропотребления групп ОИЖС: а – поселок № 1; б – поселок № 2
Как видно из диаграмм на рис. 8 и рис. 9, «ящики» распределений 1-й и 2‑й групп поселков практически не пересекаются между собой. Это позволило выдвинуть гипотезу о том, что данные группы являются обособленными. «Ящик» 3-й группы поселка № 1 полностью совпадает с «ящиком» 2-й группы, поэтому объединяем их и получаем группу 2.
Проводим проверку групп 1 и 2 на равенство средних поселка № 1. Ящичная диаграмма суточного электропотребления групп 1 и 2 приведена на рис. 10.
Как видно из рис. 10, «ящики» распределений групп ОИЖС пересекаются. Результаты проверки выборок двух групп поселков расчетными тестами по параметрам среднесуточного и среднемесячного электропотребления представлены в табл. 3.
Рис. 10. Ящичная диаграмма суточного электропотребления групп ОИЖС поселка № 1
Таблица 3
Значение p-value для 1-й и 2-й групп коттеджных поселков
Показатель | Название теста | |
Тест Уэлча | Тест Уилкоксона | |
Суточное электропотребление | 1 и 2 | 1 и 2 |
Поселок № 1 | ||
0,015<0,05 – разные группы | 0,011<0,05 – разные группы | |
Поселок № 2 | ||
0,002<0,05 – разные группы | 0,0001<0,05 – разные группы | |
Среднемесячное электропотребление | 1 и 2 | 1 и 2 |
Поселок № 1 | ||
1,3е-04<0,05 – разные группы | 6e-11<0,05 – разные группы | |
Поселок № 2 | ||
0,030<0,05 – разные группы | 0,0008<0,05 – разные группы | |
Согласно проведенным тестам (см. табл. 3) отклоняем гипотезу о равенстве средних, т. е. различия значений суточного электропотребления по группам являются статистически значимыми. Следовательно, принятое разбиение ОИЖС на группы по площади корректно.
Заключение
Для разработки нормативных значений удельных нагрузок на один ОИЖС необходимо оперировать репрезентативными выборками. Результаты выполненных расчетов показали, что полученная информация в количественном отношении недостаточна. Связано это с большим разбросом значений электропотребления в отличие от аналогичных показателей для МКД.
По параметру суточного электропотребления удалось получить выборку, данные которой подчиняются закону нормального распределения, но при этом из пилотной выборки были удалены 17 % объектов, причем исключительно со стороны максимальных значений выборки.
Проведенный анализ выборочных совокупностей ОИЖС поселков № 1 и № 2 показывает, что по параметру электропотребления их можно группировать в зависимости от количества этажей и площади ОИЖС; соответственно, электрическая нагрузка поселка будет зависеть от этих параметров.
В зависимости от количества этажей ОИЖС можно разделять на группы по 1 и 2 этажам и площади до 200 м2 и свыше 200 м2. Также важно отметить, что ОИЖС площадью 200 и 300 м2 относятся к одной группе.
Полученные результаты позволят сформировать будущую методику расчета электрических нагрузок коттеджных поселков с внесением изменений в Федеральный свод правил, что, в свою очередь, приведет к экономическому эффекту за счет выбора силовых трансформаторов с оптимальной загрузкой и кабельно-проводниковой продукцией с оправданным сечением.
Об авторах
Азат Ринатович Ахметшин
Казанский государственный энергетический университет; Ассоциация «Росэлектромонтаж»
Автор, ответственный за переписку.
Email: ahmetshin.ar@mail.ru
кандидат технических наук, доцент кафедры «Энергетическое машиностроение»
Россия, 420066, г. Казань, ул. Красносельская, 51; 123557, г. Москва, пер. Электрический, д. 3/10, стр. 1, ком. 5Список литературы
- Солуянов Ю.И., Федотов А.И., Ахметшин А.Р. и др. Актуализация удельных электрических нагрузок многоквартирных жилых домов Москвы и Московской области // Электричество. 2023. № 7. С. 52–65.
- Жилкина Ю.В. Процессы реформирования электроэнергетики в России // Энергетик. 2020. № 1. С. 29–32.
- Жилкина Ю.В. Концепции интернета вещей как способ мотивации к энергосбережению // Электрические станции. 2020. № 2 (1063). С. 23–26.
- Майоров А.В. Развитие системы оперативно-технологического управления электросетевым комплексом в рамках концепции цифровой трансформации 2030 // Электроэнергия. Передача и распределение. 2019. № S2 (13). С. 2–7.
- Солуянов Ю.И., Федотов А.И., Галицкий Ю.Я. и др. Актуализация нормативных значений удельной электрической нагрузки многоквартирных домов в Республике Татарстан // Электричество. 2021. № 6. С. 62–71.
- Солуянов Ю.И., Федотов А.И., Чернова Н.В. и др. Анализ фактических электрических нагрузок объектов индивидуального жилищного строительства // Электроэнергия. Передача и распределение. 2021. № 5 (68). С. 60–65.
- Морсин И.А., Шведов Г.В. Формирование электрических нагрузок на шинах вводного распре-делительного устройства современных многоквартирных домов // Промышленная энергетика. 2023. № 7. С. 22–29.
- Соловьева А.С., Шведов Г.В. Сравнительный анализ зимних и летних графиков электрической нагрузки рабочих и выходных дней многоквартирных домов с электроплитами в системах электроснабжения крупных городов // Вестник Южно-Уральского государственного университета. Серия: Энергетика. 2023. Т. 23, № 1. С. 27–37.
- Морсин И.А., Шведов Г.В. Математическая модель электрической нагрузки вводного распределительного устройства многоквартирного жилого дома // Электроэнергия. Передача и распре-деление. 2023. № 5 (80). С. 20–25.
- Надтока И.И., Павлов А.В. Повышение точности расчета электрических нагрузок многоквартирных домов с электроплитами // Известия вузов. Северо-Кавказский регион. Технические науки. 2015. № 2. С. 45–48.
- Надтока И.И., Павлов А.В. Расчеты электрических нагрузок жилой части многоквартирных домов с электрическими плитами, основанные на средних нагрузках квартир // Известия вузов. Электромеханика. 2014. № 3. С. 36–39.
- Надтока И.И., Павлов А.В., Новиков С.И. Проблемы расчета электрических нагрузок коммунально-бытовых потребителей микрорайонов мегаполисов // Известия вузов. Электромеханика. 2013. № 1. С. 136–139.
- Таваров С.Ш., Сидоров А.И., Суворов И.Ф., Святых А.Б. Метод прогнозирования и расчета электрической нагрузки коммунально-бытовых потребителей в условиях неопределенности // iPolytech Journal. 2023. Т. 27, № 3. С. 565–573.
- Гольдштейн В.Г., Нурбосынов Д.Н., Табачникова Т.В. Разработка математической модели электротехнического комплекса узловой подстанции // Вестник Самарского государственного технического университета. Серия: Технические науки. 2018. № 1 (57).
- С. 83–91.
- Ведерников А.С., Шипилов А.С., Ярыгина Е.А. Факторы, влияющие на прогнозирование электропотребления системы собственных нужд АЭС // Вестник Самарского государственного технического университета. Серия: Технические науки. 2023. Т. 31. № 2 (78).
- С. 129–141.
- Гофман А.В., Ведерников А.С., Шелушенина О.Н. Применение скользящего смещения средней температуры при прогнозировании электропотребления // Вестник Самарского государственно-го технического университета. Серия: Технические науки. 2012. № 1 (33). С. 114–118.
- Ведерников А.С., Ярыгина Е.А. Разработка программы для решения задач краткосрочного прогнозирования электропотребления на основе искусственных нейронных сетей // Энергетик. 2019. № 2. С. 32–35.
- Грачева Е.И., Наумов О.В., Федотов Е.А. Влияние нагрузочной способности силовых транс-форматоров на их эксплуатационные характеристики // Известия высших учебных заведений. Проблемы энергетики. 2017. Т. 19. № 7–8. С. 71–77.
- Воропай Н.И., Ретанц К., Хэгер У. и др. Разработка инновационных технологий и средств для оценки и повышения гибкости современных энергосистем // Электроэнергия. Передача и распределение. 2021. № 1 (64). С. 52–63.
- Лоскутов А.Б., Лоскутов А.А., Зырин Д.В. Разработка и исследование гибкой интеллектуальной электрической сети среднего напряжения, основанной на гексагональной структуре // Труды НГТУ им. Р.Е. Алексеева. Н. Новгород, 2016. № 3 (114). C. 85–94.
- Лоскутов А.Б., Соснина Е.Н., Лоскутов А.А. и др. Интеллектуальные распределительные сети 10–20 кВ с гексагональной конфигурацией // Промышленная энергетика. 2013. № 12. С. 3–7.
- Воропай Н.И., Стычински З.А., Козлова Е.В. и др. Оптимизация суточных графиков нагрузки активных потребителей // Известия Российской академии наук. Энергетика. 2014. № 1. C. 84–90.
- Илюшин П.В. Особенности учета параметров нагрузки при анализе переходных процессов в сетях с объектами распределенной генерации // Электроэнергия. Передача и распределение. 2018. № 6 (51). С. 54–61.
- Гореева Н.М., Демидова Л.Н. Статистика. М.: Прометей, 2019. 496 c.
- James G., Witten D., Hatie T., Tibshirani R. An introduction to statistical learning with Applications in R 2nd ed. Cham: Springer. 2021. Р. 612.
- Федеральная служба государственной регистрации, кадастра и картографии (Росреестр): официальный сайт [Электронный ресурс]. URL: https://rosreestr.gov.ru/ (дата обращения: 22.11.2023).
Дополнительные файлы












