Mathematical models and structures of the vehicle lateral stability stabilization system
- Authors: Abakumov A.M.1, Goryachkin A.A.1, Ovsyannikov V.N.1
-
Affiliations:
- Samara State Technical University
- Issue: Vol 31, No 1 (2023)
- Pages: 60-75
- Section: Energy and Electrical Engineering
- URL: https://journals.rcsi.science/1991-8542/article/view/142720
- DOI: https://doi.org/10.14498/tech.2023.1.5
- ID: 142720
Cite item
Full Text
Abstract
Currently, intensive research is being carried out to improve the operational characteristics of the car: vibration protection, smoothness, stability, controllability. These properties are largely determined by the characteristics of the vehicle suspension, which provides a connection between the carrier system and the wheels of the vehicle. Significant attention is paid to the development of active suspensions, in which additional actuators are used to form the necessary characteristics, in particular, linear DC motors. The use of active actuators allows you to control the position of the car body, including its lateral roll. In the article, relations are obtained that establish the dependence of additional elastic deformations in the suspension and the car's roll angle on the centrifugal force in a stationary mode. When developing a linearized mathematical model of the control object for the study of non-stationary modes, a two-mass design scheme was used and operator equations were obtained that take into account the elastic-dissipative properties of the sprung and unsprung parts of the car, as well as an additional control action created by the actuator. It is shown that the dynamic properties of the studied control object can be approximately described by the transfer functions of a second-order aperiodic link or an oscillatory link. For the first case, a single-loop system was developed, closed in terms of the angle of heel with a PID controller. In the second situation, it is advisable to use a two-loop system with an internal flexible feedback loop for suspension deformation and an external loop closed for the roll angle using a PID controller. The possibility of forming a feedback signal on the strain rate of the suspension in the wind circuit with the help of an EMF sensor of a linear DC motor is shown.
On the basis of the block diagram, a computer model of the system was developed, and for typical parameters of the control object, a study was made of transient processes of working off a disturbance in the form of a change in centrifugal force. Based on the simulation results, it was found that the use of the developed ACS provides high accuracy in stabilizing the vehicle roll angle.
Full Text
Введение
В современном автомобилестроении значительное внимание уделяется проблемам обеспечения виброзащиты, плавности хода, устойчивости, управляемости автотранспортных средств [1]. Среди большого разнообразия устройств и систем управления, обеспечивающих решение указанных проблем, важное место занимают системы обеспечения поперечной устойчивости автомобиля (транспортного средства) [2].
Системы и устройства стабилизации поперечной устойчивости в значительной мере обеспечивают комфортабельность и безопасность движения и, в частности, определяют предельные скорости маневров «переставка» и «вход в поворот».
Решение задачи повышения показателей поперечной устойчивости непосредственно связано с совершенствованием конструкции подвески и систем управления ее элементами.
Подвеска транспортного средства – это совокупность устройств, связывающих мост или колеса с рамой (кузовом) автомобиля и предназначенных для уменьшения динамических нагрузок, передающихся автомобилю при движении по неровностям опорой поверхности дороги, а также обеспечивающих передачу всех сил и моментов, действующих между колесами и рамой (кузовом) [3].
Подвеска содержит параллельно соединенные упругий элемент – пружину и демпфирующий элемент, установленные между ступицей колеса и кузовом автомобиля.
Традиционный механический стабилизатор поперечной устойчивости как составляющий элемент подвески выполняется в виде П-образного стержня (торсиона), концы которого соединены через тяги с нижней частью подвески одной оси, как правило передней, а средняя часть закреплена на кузове с возможностью поворота [4].
При кренах автомобиля под действием центробежной силы упругие элементы подвески внешних по отношению к центру поворота колес сжимаются, упругий стержень закручивается и создает сжимающее усилие упругих элементов подвески внутренних колес, что уменьшает крен кузова автомобиля.
Требования к характеристикам подвески имеют противоречивый характер: для повышения эффективности стабилизации крена требуется обеспечить увеличение жесткости скручивания стержня стабилизатора, однако при этом утрачивается независимость отдельных подвесок, что приводит к ухудшению виброзащитных свойств и проходимости автомобиля. Ухудшение виброзащиты связано с появляющейся взаимосвязью подвесок, когда движение колеса одной стороны по неровностям через стабилизатор создает реактивное действие в подвеске связанного колеса. Проходимость автомобиля снижается вследствие ограничения стабилизатором хода подвески.
Для устранения отмеченных противоречий используют стабилизаторы с активным разделением торсионного стержня на две части, которые в зависимости от дорожной ситуации могут соединяться или разъединяться гидравлическим либо электромеханическим исполнительным элементом [2]. Дополнительный эффект стабилизации достигается при использовании систем управления, обеспечивающих активное закручивание частей торсионного стержня.
Нашли также применение полностью гидравлические системы стабилизации крена, в которых для формирования требуемых силовых воздействий на подвеску используются управляемые гидроцилиндры.
Перспективными для решения рассматриваемых задач, особенно учитывая тенденции развития электромобиля, являются исполнительные элементы в виде линейных двигателей [5, 6]. Линейный двигатель устанавливается параллельно упругому элементу и амортизатору традиционной подвески каждого колеса одной или двух осей. Это позволяет обеспечить независимую работу подвесок при отработке неровностей полотна дороги и повысить плавность движения. В случае входа в поворот по информации об угле поворота рулевого колеса и скорости движения система переключается в режим стабилизации крена и обеспечивается взаимосвязанное управление подвесками соответствующей оси.
В предлагаемой статье рассмотрена математическая модель объекта управления, ориентированная на исследование системы управления углом крена автомобиля, приведена методика синтеза регулятора системы управления креном и обсуждаются результаты компьютерного моделирования динамических характеристик системы.
Актуальность темы исследования определяется также тем, что в известных публикациях приводится в основном описание принципа действия систем активного управления подвеской и не рассматриваются математические модели объекта управления, что не позволяет использовать известные в теории управления методики анализа и синтеза систем управления.
Математическая модель объекта управления
При построении математической модели объекта управления в качестве выходной координаты рассматривается угол крена автомобиля, порождаемый действием центробежной силы на повороте. Для парирования этого возмущения используется управляющее воздействие в виде дополнительного усилия в подвеске, создаваемого исполнительным элементом.
Схема сил, действующих на автомобиль и подвеску при повороте, приведена на рис. 1.
Рис. 1. Схема сил, действующих на автомобиль и подвеску на повороте: а – вид сверху; б – вид сбоку
На рис. 1, а показан вид сверху движения автомобиля по окружности радиуса . При расчете сил используются общепринятые для подобных задач допущения; в частности, кузов автомобиля считают абсолютно жестким телом и принимают, что подрессоренная масса автомобиля сосредоточенна в точке – центре масс.
Расположение центра масс опишем относительно точек опирания на подвеску. Так как расположение подвесок по продольной оси автомобиля совпадает с расположением ходовых осей, то центр масс подрессоренной части автомобиля находится на расстоянии и от осей ходовой части автомобиля, где – расстояние между осями ходовой части автомобиля.
Аналогично по вертикальной (нормальной) оси (рис. 1, б): – расстояние между точками крепления подрессоренной части автомобиля к подвескам. Значение для передней и задней ходовых осей может отличаться. В таком случае при расчете усилий значение применяется для соответствующей оси.
Расположение центра масс по поперечной оси автомобиля относительно точек крепления подрессоренной части автомобиля к подвескам обозначим (рис. 1, б). Значение для передней и задней ходовых осей может отличаться. В таком случае при расчете усилий значение применяется для соответствующей оси. Центр масс может располагаться ниже точек крепления подрессоренной части автомобиля к подвескам. В этой ситуации направление вектора силы , действующей на подвеску при повороте, изменится на противоположное.
Расчет сил, действующих на автомобиль при повороте в режиме установившегося движения, в общем виде приводится в [7, 8]. Однако авторы приводят расчет в упрощенной форме, не позволяющей рассчитать усилия на подвеску при повороте.
На объект массой , движущийся со скоростью по окружности радиусом , действует центробежная сила :
.
В случае поворота с заносом направление центробежной силы изменяется, что влечет за собой изменение сил, действующих на подвески [7]:
.
Дополнительное усилие, действующее на автомобиль на поворотах, приводит к упругим деформациям подвески и неподрессоренной массы. В соответствии с рис. 1, б взаимосвязь деформирующего усилия в подвеске с центробежной силой для «малых» отклонений может быть описана коэффициентом передачи:
, (1)
где индекс ( или ) определяет геометрический размер, связывающий рассматриваемую подвеску с центром масс в соответствии с рис. 1.
Рассмотрим ситуацию, когда заноса автомобиля не происходит, то есть угол и пренебрежем смещением центра масс. В таком случае выражение (1) примет вид:
.
В стационарном режиме деформация подвески и неподрессоренной массы определяется эквивалентной жесткостью :
.
В ситуации, когда центр масс находится на пересечении продольной и поперечной осей (, ) и автомобиль входит в поворот без заноса, угол крена автомобиля на повороте определяется только параметром и величиной :
. (2)
Если рассматривать ситуацию со смещением центра масс, то величина воздействия на подвески будет различной, соответственно величина деформаций подвесок также будет различной. С учетом этого выражение (2) преобразуется:
,
где и – деформация левой и правой подвески соответственно.
Изменение угла крена в переходных режимах и поворот автомобиля вокруг продольной оси, проходящей через центр тяжести, приводят к возникновению инерционного (динамического) момента , где – момент инерции автомобиля относительно продольной оси. Этот момент несущественно влияет на перераспределение усилий в подрессоренной и неподрессоренной частях автомобиля, и его действием пренебрегают [9].
Система стабилизации угла крена содержит аналогичные каналы, формирующие управляющие воздействия на подвески. Направление крена определяется по знаку сигнала датчика крена. При этом в замкнутых контурах управления, внешних и внутренних по отношению к центру поворота подвесок, исполнительными элементами создаются противоположные по знаку дополнительные усилия (на сжатие или отбой). Вводя допущение о том, что центр масс находится на пересечении продольной и поперечной осей автомобиля, и учитывая аналогию каналов и реализуемых алгоритмов управления, далее будем рассматривать систему управления отдельной подвеской.
Для исследования динамики объекта управления должны быть учтены упруго-диссипативные свойства подвески. Используем расчетную схему двухмассовой колебательной системы, представленную на рис. 2, где обозначено: , – неподрессоренная и подрессоренная масса; , и , – жесткости и коэффициенты вязкого трения неподрессоренных и подрессоренных элементов подвески соответственно; , , – перемещения неподрессоренной и подрессоренной масс и кинематическое воздействие со стороны дорожного полотна соответственно.
Рис. 2. Расчетная схема двухмассовой колебательной системы
На основе уравнений Лагранжа второго рода дифференциальные уравнения движения для «малых» отклонений расчетной колебательной системы с учетом дополнительного силового воздействия , создаваемого исполнительным элементом, и усилия , порождаемого в подвеске центробежной силой, получены в виде:
(3)
. (4)
Преобразовав по Лапласу (3) и (4), получим:
; (5)
. (6)
Введем обозначения
, (7)
и запишем уравнения (5), (6) с учетом (7) в виде
; (8)
. (9)
Приведенной системе операторных уравнений (8) – (9) соответствует структурная схема объекта управления, приведенная на рис. 3.
Рис. 3. Структурная схема объекта управления
В соответствии со структурной схемой после преобразований передаточная функция объекта по управляющему воздействию в виде усилия, создаваемого исполнительным элементом, и выходной переменной – угол крена – может быть представлена в виде
, (10)
где
; (11)
; ; ; ; . (12)
Для рассматриваемого объекта управления жесткость существенно выше , а на порядок меньше . Соответственно, на порядок меньше . С учетом этого, как показывает анализ, вторым слагаемым в знаменателе (11) без существенной погрешности можно пренебречь и на этапе структурно-параметрического синтеза использовать приближенную передаточную функцию
. (13)
Структурно-параметрический синтез САУ
Система стабилизации угла крена автомобиля может быть реализована на основе как принципа управления по возмущению, так и принципа управления по отклонению. В первом случае для расчета центробежной силы может использоваться информация о скорости автомобиля и угле поворота рулевого колеса либо об ускорении по поперечной оси автомобиля, получаемая с помощью акселерометра.
Имея в виду известные недостатки систем со связью по возмущению, предпочтительно использовать принцип управления по отклонению и выполнять систему замкнутой по углу крена автомобиля.
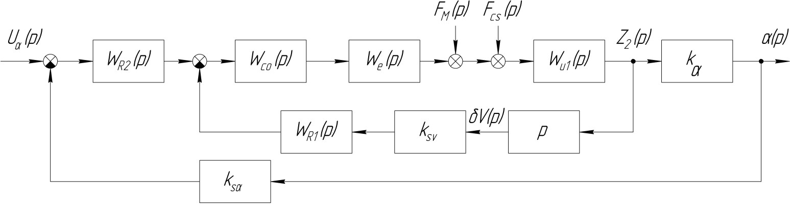
Структурная схема такой системы приведена на рис. 4.
Рис. 4. Структурная схема системы управления углом крена автомобиля
Она наряду со звеньями, отражающими динамические свойства объекта управления, содержит в прямой цепи передаточные функции регулятора , управляемого силового преобразователя , исполнительного элемента и звено с коэффициентом передачи датчика угла крена в цепи обратной связи.
Назначение дополнительной цепи обратной связи (звенья , ) поясняется далее.
Рассматривается работа системы стабилизации угла крена при движении на повороте по дороге без неровностей дорожного полотна: .
Электромеханические исполнительные элементы и силовые управляемые преобразователи имеют высокое быстродействие, и их динамика может быть учтена передаточными функциями апериодических звеньев:
,
.
Постоянная времени исполнительного элемента и управляемого силового преобразователя , как правило, на порядок меньше постоянных и , что позволяет при синтезе регулятора принять
за «малую» постоянную времени и представить их эквивалентную передаточную функцию в виде
. (14)
Для синтеза регуляторов передаточную функцию (13) необходимо привести к типовому виду. При выполнении условия
(15)
выражение (13) преобразуется к виду передаточной функции двух апериодических звеньев
, (16)
где
. (17)
Соответственно передаточная функция нескорректированной разомкнутой системы с учетом (14) будет
. (18)
Система в этом случае выполняется как одноконтурная, и синтез регулятора ведется известными методами, используемыми при построении систем подчиненного регулирования координат [10, 11, 12].
Для компенсации «больших» постоянных времени и придания системе астатических свойств в системе используется ПИД-регулятор
,
постоянные времени которого для выполнения условий модульного оптимума выбираются по соотношениям:
; ; .
Если условие (15) не выполняется, что имеет место в случае слабого демпфирования в упруго-диссипативной системе, выражение (13) преобразуются к виду передаточной функции колебательного звена:
, (19)
где коэффициент демпфирования .
Колебательные свойства объекта управления в случае включения корректирующих звеньев в прямой цепи приводят к необходимости применения нестандартных регуляторов.
Для упрощения регуляторов используем структуру с корректирующим звеном в цепи обратной связи. Организуем в системе внутренний замкнутый контур с отрицательной обратной связью по скорости (см. рис. 4).
Передаточная функция прямой цепи этого контура, содержащая звенья , , ,
. (20)
Используем в цепи обратной связи внутреннего контура ПД-регулятор с передаточной функцией
и примем .
Несложно показать, что в этом случае эквивалентная передаточная функция замкнутого внутреннего контура будет
, (21)
где
. (22)
Из сравнения (20) и (21) следует, что отличается от (20) только значением коэффициента при p в первом сомножителе знаменателя. Причем, выбрав значение коэффициента регулятора
,
можно увеличить постоянную времени так, чтобы выполнялось соотношение
,
и получить передаточную функцию внутреннего замкнутого контура в виде
, (23)
где постоянные времени определяются выражением, аналогичным (17):
.
В результате передаточная функция внешнего нескорректированного контура в разомкнутом состоянии будет иметь вид, аналогичный (18):
.
Соответственно, задача синтеза регулятора и расчета его параметров решается аналогично ситуации, когда выполняется соотношение (15).
Рассмотрим особенности построения САУ при использовании в качестве исполнительного элемента линейного двигателя постоянного тока (ЛДПТ). Операторные уравнения движения ЛДПТ имеют вид [1]:
; (24)
; (25)
, (26)
где – ток якоря; – наведенная в якоре ЭДС; – индуктивность цепи якоря; – сопротивление якорной цепи двигателя; – коэффициент передачи двигателя; – конструктивный коэффициент; – электромагнитная постоянная ЛДТП.
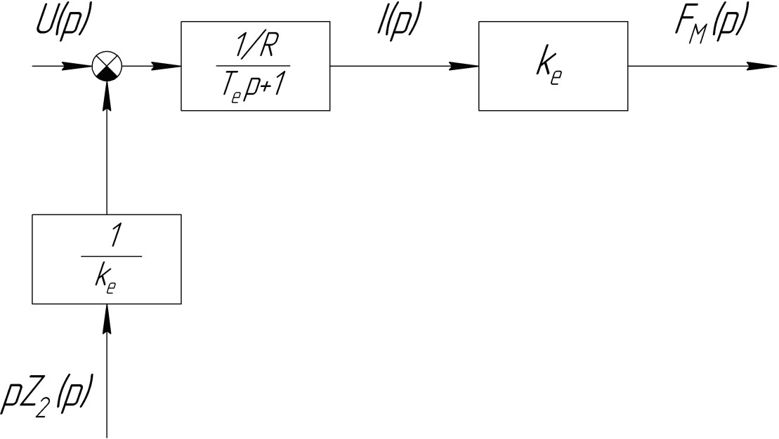
Структурная схема исполнительного элемента , показанного на рис. 4, с учетом соотношений (24) – (26) приобретает вид, представленный на рис. 5, где
.
Рис. 5. Структурная схема исполнительного элемента
Согласно (25) ЭДС линейного двигателя постоянного тока пропорциональна производной от деформации подвески . Причем при указанном выше соотношении жесткости подрессоренной и неподрессоренной частей деформация подвески . Эти обстоятельства позволяют упростить внутренний контур двухконтурной системы.
ЭДС двигателя в соответствии с (24) определяется соотношением
.
В автоматизированном электроприводе постоянного тока используются датчики ЭДС, выполненные по известной схеме: в соответствии с последним выражением дифференцирующий вход датчика ЭДС подключается к выходу датчика тока, а пропорциональный вход – к датчику напряжения.
Напряжение на выходе датчика ЭДС определяется его коэффициентом передачи и, согласно изложенному, производной от перемещения :
.
Следовательно, в цепи обратной связи внутреннего контура вместо датчика перемещения можно использовать датчик ЭДС линейного двигателя. В этом случае отпадает необходимость дифференцирования сигнала датчика обратной связи внутреннего контура.
Синтез регулятора внешнего контура при этом выполняется по рассмотренной выше методике.
Моделирование системы
Расчеты и моделирование проведены для типичных для легкового автомобиля параметров элементов системы: кг, Н/м, с, с, с, Н/А, , град/м, В/град.
В соответствии со структурной схемой САУ (см. рис. 5) разработана компьютерная модель системы.
Передаточная функция для принятых параметров имеет вид выражения (19), где . Коэффициент передачи регулятора внутреннего контура выбран по условию
.
При этом замкнутый внутренний контур содержит апериодические звенья (23) с равными постоянными времени с.
Переходный процесс изменения угла крена при действии наиболее неблагоприятного ступенчатого изменения центробежной силы приведен на рис. 6, кривая 1. Величина возмущающего воздействия выбрана по условию: установившееся отклонение угла крена в разомкнутой системе равно 1 град.
Рис. 6. Графики отработки ступенчатого возмущения: кривая 1 – для расчетных значений параметров; кривая 2 – при увеличении массы на 30 %
Как следует из графика, максимальное динамическое отклонение угла крена составляет 0,15 град, то есть снижается более чем в 6 раз по сравнению с установившимся отклонением в разомкнутой системе.
Оценено влияние вариаций массы (загрузки) автомобиля на качество регулирования. На рис. 6 показан график отработки ступенчатого возмущения при увеличении массы на 30 % относительного расчетного значения (кривая 2). Максимальное динамическое отклонение угла крена в этом случае возрастает несущественно – до 0,16 град.
Кроме того, как показывают результаты компьютерного моделирования, без существенной потери качества регулирования во внутреннем контуре системы с датчиком перемещения ПД-регулятор может быть упрощен до Д-регулятора: . А при использовании в цепи обратной связи датчика ЭДС линейного двигателя можно, с учетом вышеизложенного, использовать пропорциональный регулятор.
Заключение
Для достижения высокой точности стабилизации угла крена автомобиля систему управления необходимо выполнять замкнутой по регулируемой переменной с использованием в подвеске активных исполнительных элементов, в частности линейных двигателей постоянного тока. Динамические свойства объекта управления для рассматриваемых переменных в зависимости от характеристик элементов подвески можно приближенно представить передаточными функциями апериодического звена второго порядка либо колебательного звена. Для первой ситуации систему управления следует выполнять одноконтурной и использовать ПИД-регулятор. Во второй ситуации, когда объект управления имеет колебательные свойства, систему управления целесообразно выполнять как двухконтурную, с внутренним контуром, замкнутым по скорости деформации подвески, используя в качестве датчика обратной связи датчик ЭДС линейного двигателя. Во внешнем контуре при этом также используется ПИД-регулятор. Компьютерное моделирование показало, что в разработанной системе управления при выборе параметров ПИД-регулятора по условиям модульного оптимума динамическое отклонение угла крена при отработке возмущающего воздействия снижается примерно в 6 раз по сравнению с установившимся отклонением в разомкнутой системе.
About the authors
Alexander M. Abakumov
Samara State Technical University
Email: abakumov-am@yandex.ru
SPIN-code: 5684-8133
(Dr. (Techn.)), Professor
Russian Federation, 244, Molodogvardeyskaya st., Samara, 443100Alexander A. Goryachkin
Samara State Technical University
Email: gor.al.al@yandex.ru
ORCID iD: 0000-0003-4431-8638
SPIN-code: 1951-4865
Scopus Author ID: 57408579100
Posgraduate Student
Russian Federation, 244, Molodogvardeyskaya st., 443100, SamaraVladimir N. Ovsyannikov
Samara State Technical University
Author for correspondence.
Email: ovsyannikov0512@mail.ru
SPIN-code: 4202-5786
(Ph.D. (Techn.)), Associate Professor
Russian Federation, 244, Molodogvardeyskaya st., 443100, SamaraReferences
- Volchenko T.S. Optimization of vibration protection parameters of cargo vehicles according to the criterion of minimum dynamic loads [Optimizaciya parametrov vibrozashchity gruzovyh avtotransportnyh sredstv po kriteriyu minimuma dinamicheskih nagruzok], South Ural State University (NRU), Chelyabinsk, dis. ... kan. of technical Sciences: 01.02.06, 2014. (In Russian).
- Popov A.V., Gorbunov A.A. The choice of the type of active transverse stability stabilization system in the design of motor vehicles [Vybor tipa aktivnoj sistemy stabilizacii poperechnoj ustojchivosti pri proektirovanii avtomobil'nyh transportnyh sredstv] // Modern scientific research and innovation. 2016. No. 8 [Electronic resource]. URL: https://web.snauka.ru/issues/2016/08/70289 (accessed: 07/28/2022). (In Russian).
- OST 37.001.277-84 Suspension of motor vehicles. Terms and definitions [Podveska avtotransportnyh sredstv]. M.: Ministry of Automotive Industry, 1984. (In Russian).
- Tyagunov A.E., Kartashov A.B. Calculation and justification of design parameters of automotive mechanical stabilizers of transverse stability with adjustable rigidity [Raschet i obosnovanie konstruktivnyh parametrov avtomobil'nyh mekhanicheskih stabilizatorov poperechnoj ustojchivosti s reguliruemoj zhestkost'yu] // Izvestia of MSTU "MAMI", Vol. 11, No 2 (32), 2017. Pp. 64–71. (In Russian).
- Abakumov A.M., Randin D.G., Bochkov V.V. Investigation of an active vibration protection system based on a linear DC motor [Issledovanie aktivnoj sistemy vibrozashchity na osnove linejnogo dvigatelya postoyannogo toka] // Bulletin of Samara State Technical University, No. 3 (59), 2018. Pp. 118–128. (In Russian).
- Rasid S.M.R., Mizuno T., Ishino Y., Takasaki M., Hara M., Yamaguchi D. Design and control of active vibration isolation system with an active dynamic vibration absorber operating as accelerometer // Journal of Sound and Vibration, Vol. 438, January 2019. Pp. 175–190.
- Sazonov I.S., Kim V.A., Ki Yong Choi. The theory of the car: a textbook [Teoriya avtomobilya]. Mogilev: GUVPO "Belarusian-Russian University", 2017. 164 p. (In Russian).
- Selifonov V.V., Khusainov A.Sh., Lomakin V.V. The theory of the car: a textbook [Teoriya avtomobilya]. M.: MSTU "MAMI", 2007. 102 p. (In Russian).
- Stukanov V.A. Fundamentals of the theory of automobile engines and automobiles: textbook [Osnovy teorii avtomobil'nyh dvigatelej i avtomobilej]. M.: FORUM: INFRA-M, 2005. 368 p. (In Russian).
- Rapoport E.Ya. Systems of subordinate regulation of DC electric drives [Sistemy podchinennogo regulirovaniya elektroprivodov postoyannogo toka]. Kuibyshev: KPTI, 1985. 56 p. (In Russian).
- Terekhov V.M., Osipov O.I. Control system of electric drives [Sistema upravleniya elektroprivodov]. Textbook. ster., 2nd ed. M.: Publishing Center "Academy", 2003. 304 p. (In Russian).
- Frere F., Orttenburger F. Introduction to electronic control technology [Vvedenie v elektronnuyu tekhniku regulirovaniya]. M.: Energiya, 1973. 192 p. (In Russian).
- Chichvarin A.V. Dynamics of an active vibration isolation system with parallel structure mechanisms [Dinamika aktivnoj sistemy vibroizolyacii s mekhanizmami parallel'noj struktury]. Oryol State Technical University, Orel, dis. ... can. of technical sciences: 01.02.06, 2006. (In Russian).
- Apresov S., Mamontov D., Chernyauskas V. Invisible guardianship [Nezrimaya opeka] // Popular Mechanics, No. 1 (99), January 2011. (In Russian).
- Lukoševičius V., Makaras R., Rutka A., Kersys R. Investigation of vehicle stability with consideration of suspension performance // Applied sciences, Vol. 11, 9778, No. 20, October 2021. Pp. 1–32.
- Ahmed A.E.N.S., Ali A.S., Ghazaly N.M., Abd el-Jaber G.T. PID controller of active suspension system for a quarter car model // International journal of advances in engineering & technology, Vol. 8, No. 6, December 2015. Pp. 899–909.
- Kulagin V.A. Development of a complex of mathematical models of passenger car suspension for fatigue durability analysis [Razrabotka kompleksa matematicheskih modelej podveski legkovogo avtomobilya dlya analiza ustalostnoj dolgovechnosti] // Izvestia of MSTU "MAMI", Vol. 15, No 4 (50), 2021. Pp. 32–42. (In Russian).
Supplementary files








