Компьютерный анализ и экспресс-оценка данных, полученных в результате измерения остаточных напряжений после виброударного упрочнения образцов
- Авторы: Галимов Э.Р.1, Тюрин А.В.1, Гимбицкий А.В.1
-
Учреждения:
- Казанский национальный исследовательский технический университет им. А.Н. Туполева–КАИ»
- Выпуск: Том 19, № 2 (2023)
- Страницы: 68-74
- Раздел: НОВЫЕ МАТЕРИАЛЫ И ТЕХНОЛОГИИ
- URL: https://journals.rcsi.science/1816-9228/article/view/253720
- DOI: https://doi.org/10.18822/byusu20230268-74
- ID: 253720
Цитировать
Полный текст
Аннотация
Предмет исследования: применение компьютерного анализа при измерении остаточных напряжений.
Цель исследования: создание программы для оценки и кластеризации числовых данных, получаемых в ходе измерения остаточных напряжений.
Объект исследования: компьютерная модель обработки экспериментальных данных. Данная модель использует измененный порядок аппроксимации данных, получаемых с датчиков.
Основные результаты исследования: разработана программа компьютерного анализа и экспресс-оценки числовых данных. С помощью программного продукта, на языке программирования R, в автоматическом режиме обработаны расчетные и экспериментальные данные. В структуре математической модели вычисления остаточных напряжений введен принцип иного порядка аппроксимации, который аппроксимирует не результат многоступенчатых вычислений, а данные, полученные с датчиков. Данное решение позволяет снизить погрешность вычислений и повысить адекватность модели в целом, а разработанная программа дает возможность быстро оценить результаты измерений.
Полный текст
Введение
В результате упрочнения поверхностного слоя металлов поверхностным наклепом (виброударным методом) возникают технологические остаточные напряжения. Остаточными технологическими напряжениями называют напряжения, которые существуют в деталях при отсутствии внешних воздействий. Основой в определении остаточных напряжений является метод, разработанный Давиденковым Н.Н. и Биргером И.А. [1, 2].
Программа компьютерного анализа, рассматриваемая в данной работе, построена на языке R. Язык R является языком программирования, который используется в целях статистической обработки данных и работой с графическим компонентом. Данный язык является свободной программной средой вычисления с открытым исходным кодом.
Результаты и обсуждение
Представленная методика компьютерного анализа и экспресс-оценки данных регламентирует процесс определения остаточных напряжений в образцах, вырезанных из лонжерона, после виброударного упрочнения. Лонжерон должен иметь технологический паспорт с отметкой БТК о приемке его по операциям механической обработки и результатов испытаний образцов, изготовленных из сплава АВ-Т1.
В современной среде промышленным предприятиям необходимо внедрять информационные системы, которые способны обеспечить запросы сотрудников, занимающихся как решением текущих вопросов при работе с оборудованием, так и определением путей стратегического развития деятельности организации. Работа элементов такой системы должна направляться на структурирование фундамента для быстрого реагирования на изменение условий, а также для оперативного и стратегического планирования.
Недостаток подобных систем ведёт к снижению конкурентоспособности, а иногда может оказаться фактором выживания на рынке. При постановке стратегических задач, организации испытывают острую необходимость в комплексном представлении процесса обеспечения формирования и развития программных продуктов организации.
Вопросы измерения и анализа остаточных напряжений были изучены И.А. Биргером, Н.Н. Давиденковым, С.П. Буркиным, H.E. Jaramillo S, F.J. Belzunce и другими учеными [1, 2, 4–7].
Анализ экспериментальных данных, а также цифровизация и автоматизация процессов были рассмотрены С.Д. Бодруновым и другими учеными [3].
В настоящее время существует множество программных пакетов для компьютерного анализа, среди которых выделяются SPSS, SAS и MatLab. Однако, наряду с высокой конкуренцией, R стал одним из самых используемых программных продуктов в статистическом анализе среди научных публикаций.
Одним из вариантов сортировки информации является кластерный анализ. Кластерный анализ представляет собой набор разнообразных алгоритмов классификации. Техника кластеризации применяется в самых разнообразных областях науки и техники.
Рассмотрим применение языка программирования R для компьютерного анализа остаточных напряжений в образцах из сплава АВ-Т1.
R – это специальная среда вычислений, разработанная для обработки данных, математического моделирования, а также работы с графикой.
Разработанный нами алгоритм на языке программирования R позволяет производить компьютерный экспресс-анализ числовых массивов информации. В рамках компьютерного анализа программа в автоматическом режиме работает с числовыми значениями количественной информации по всему массиву (рисунок 1), а также строит эпюру остаточных напряжений в разных вариантах визуализации, с функцией кластерного анализа.
На рисунке 1 представлен фрагмент рабочей области программы, в котором реализован экспресс-анализ массива данных. Программа определяет минимальные, средние, максимальные значения из любых массивов количественной информации, и средние квадратичные отклонения результатов.
Рисунок 1 – Реализация алгоритма анализа данных
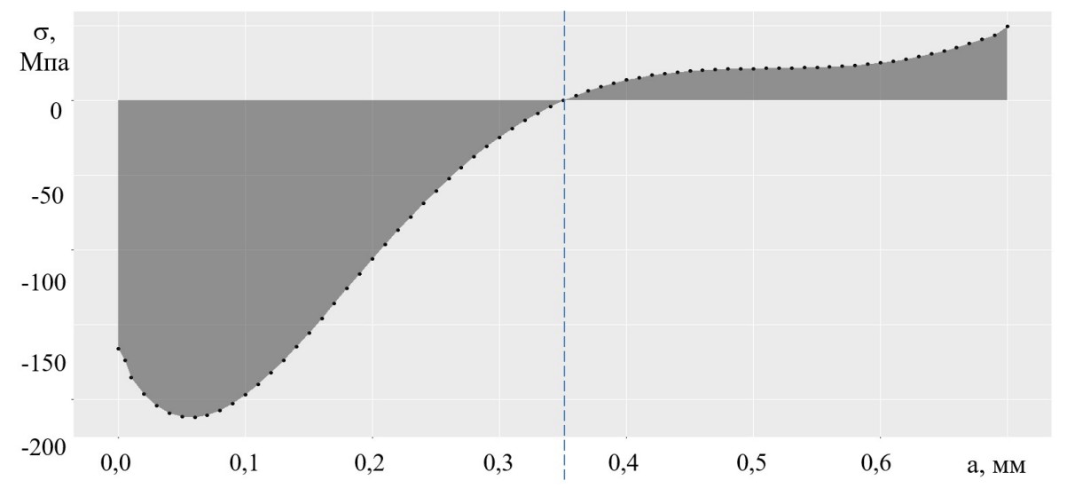
Программное обеспечение в автоматизированном режиме строит эпюру аппроксимированных значений остаточных напряжений по глубине упрочнённого слоя образца.
Рисунок 2 – Эпюра остаточных напряжений
Как мы знаем, эпюра позволяет судить о величине остаточных напряжений в пределах упрочнённого слоя. При этом глубина упрочнённого слоя (ан) определяется точкой пересечения значения на эпюре остаточных напряжений. В основу определения остаточных напряжений положен метод, разработанный Биргером И.А. и Давиденковым Н.Н. [1, 5].
С точки зрения анализа результатов нас особенно интересует группа значений, которая располагается в непосредственной близости к . Ввиду этого, было принято решение отобразить в алгоритме расчет интересующих нас показателей и принять число кластеров . Результат автоматического кластерного анализа представлен на рисунке 3.
Рисунок 3 – Кластеризация результатов измерения остаточных напряжений
В качестве альтернативного варианта визуализации эпюры остаточных напряжений мы предлагаем вариант гистограммы, изображенной на рисунке 4. В данном случае выбор цвета осуществляется программой автоматически, однако при необходимости мы можем задать необходимые нам цвета, и/или их оттенки.
Следует заметить, что алгоритм обработки данных универсален, и применим для других вариантов количественной информации. При изменении технического задания, программа может подлежать корректировке и отладке для другого спектра задач.
Рисунок 4 – Альтернативная визуализация эпюры напряжений
Заключение и выводы
В исследовании разработана программа компьютерного анализа и экспресс-оценки числовых данных. С помощью программного продукта, на языке программирования R, в автоматическом режиме обработаны расчетные и экспериментальные данные. В структуре математической модели вычисления остаточных напряжений введен принцип иного порядка аппроксимации, который аппроксимирует не результат многоступенчатых вычислений, а данные, полученные с датчиков. Данное решение позволяет снизить погрешность вычислений и повысить адекватность модели в целом, а разработанная программа дает возможность быстро оценить результаты измерений.
Программа позволят производить компьютерный анализ данных (рисунок 1), построение необходимых графиков (рисунки 2, 4), кластеризацию (рисунок 3) и сортировку числовых данных по требуемым критериям. В данном эксперименте глубина упрочненного слоя была определена как ан = 0,355 мм. Анализ серии проведенных экспериментов позволяет сделать заключение о том, что погрешность при вычислении остаточных напряжений и построении эпюры снижается в среднем своем значении на 8,4%. На данный момент осуществляется работа над усовершенствованием алгоритма, с добавлением компонента глубокого анализа данных, а также стратегического анализа поведения требуемых параметров от компонентного состава материала, параметров тока, состава электролита, а также других параметров системы, необходимых в решении конкретных задач.
Об авторах
Энгель Рафикович Галимов
Казанский национальный исследовательский технический университет им. А.Н. Туполева–КАИ»
Автор, ответственный за переписку.
Email: 89871726737@mail.ru
доктор технических наук, профессор заведующий кафедрой материаловедения, сварки, и производственной безопасности, Институт авиации, наземного транспорта и энергетики
Россия, КазаньАндрей Викторович Тюрин
Казанский национальный исследовательский технический университет им. А.Н. Туполева–КАИ»
Email: kai.tyurin@gmail.com
аспирант, ассистент кафедры материаловедения, сварки, и производственной безопасности, Институт авиации, наземного транспорта и энергетики
Россия, КазаньАртур Вячеславович Гимбицкий
Казанский национальный исследовательский технический университет им. А.Н. Туполева–КАИ»
Email: avgimbitskiy@kai.ru
доцент кафедры теплотехники и энергетического машиностроения, Институт авиации, наземного транспорта и энергетики
Россия, КазаньСписок литературы
- Биргер, И. А. Остаточные напряжения / И. А. Биргер. – М. : Машгиз, 1963. – 232 с. – Текст : непосредственный.
- Биргер, И. А. Расчет на прочность деталей машин: справочник / И. А. Биргер, Б. Ф. Шор, Б. Иосилевич. – М. : Машиностроение, 1993. – 640 с. – Текст : непосредственный.
- Бодрунов, С. Д. Интеграция производства, науки и образования как основа реиндустриализации российской экономики / С. Д. Бодрунов. – Текст : непосредственный // Экономическое возрождение России. – 2015. – № 1 (43). – С. 7-22.
- Буркин, С. П. Остаточные напряжения в металлопродукции / С. П. Буркин, В Шимов., Е. А. Андрюкова. – Текст : непосредственный // Екатеринбург : Издательство Уральского университета, 2015. – 239 с.
- Давиденков, Н. Н. К вопросу о классификации и проявлении остаточных напряжений / Н. Н. Давиденков. – Текст : непосредственный // Заводская лаборатория. – 1959. – № 3. – С. 318–319.
- Jaramillo S, H. E.; de Sánchez, N.A.; Avila D, J.A. Effect of the shot peening process on the fatigue strength of SAE 5160 steel. Proc. Inst. Mech. Eng. Part C J. Mech. Eng. Sci. 2018, 0954406218816349 [CrossRef].
- Segurado, E. Effects of low intensity shot peening treatments applied with different types of shots on the fatigue performance of a high-strength steel / F. J. Belzunce, I. F. Pariente // Surf. Coat. Technol. – 2018, 340, pp. 25–35. [CrossRef].
- Кирпичёв, В. А. Конечно-элементное моделирование поверхностного слоя деталей, подвергаемых упрочнению методами поверхностного пластического деформирования / В. А. Кирпичёв, А. С. Букатый, В. К. Шадрин, Н. И. Яковенко. – Текст : непосредственный // Математическое моделирование и краевые задачи: МЗЗ 4.1: Математические модели механики, прочности и надёжности элементов конструкций. – Самара : СамГТУ, 2009. – С. 121-122.
- Кирпичёв, В. А. Исследование степени наклёпа и сопротивления усталости сплава ЭИ 968 после упрочнения стеклянными и стальными микрошариками / В. А. Кирпичёв, А. А. Иванов, А. С. Букатый, О. Ю. Семёнова. – Текст : непосредственный // Международная научно-техническая конференция «Проблемы и перспективы развития двигателестроения» : в 2-х ч. – Самара: СГАУ, 2009. – Ч. 2. – С. 180-181.
- Букатый, С. А. Автоматизированный прибор для определения остаточных напряжений / С. А. Букатый, А. С. Букатый. – Текст : непосредственный // Ташкент, «Янгиасравлоди». Республика Узбекистан. Сб. научных статей Международной научно-практ. конференции «Инновация-2008», 2008. – С. 275-276.
- Макаров, В. Ф. Применение методов ППД при обработке деталей ГТД / В. Ф. Макаров, А. С. Горбунов. – Текст : непосредственный // Материалы Всеросс. Научно-практической конференции «Наукоемкие технологии в машиностроении», Ишимбай, 10-12 июня 2012 г., с. 12-13.
- Лабутин, А. Ю. Исследование изменения шероховатости поверхности лопаток авиадвигателей в ходе её модификации при пневмогидроструйной обработке в среде жидкости / А. Ю. Лабутин, А. В. Тюрин. – Текст : непосредственный.// Тезисы докл. АКТО – 2014.
- Лабутин, А. Ю. Патент RU 2211755 C2 МПК 7 B 24C 5/04, опуб. 10.09.2003 бюл. № 25. Эжектор для пневмогидроструйной обработки деталей.
- Лабутин Ю. П., Устройство для упрочнения контрольных пластин / Р. М. Халимулин, В. И. Горинов, А. Ю. Лабутин // Патент РФ № 2068333 С1. Кл. 6 В 24 С 3/00. Опубл. 27.10.96 бюл. № 30.
Дополнительные файлы






