Эффекты финансовой репрессии и внешнего шока в малой открытой сырьевой экономике
- Авторы: Пак Е.А.1
-
Учреждения:
- ТОО «Центр исследований прикладной экономики
- Выпуск: Том 28, № 3 (2024)
- Страницы: 427-467
- Раздел: Статьи
- URL: https://journals.rcsi.science/1813-8691/article/view/271817
- DOI: https://doi.org/10.17323/1813-8691-2024-28-3-427-467
- ID: 271817
Цитировать
Полный текст
Аннотация
В статье исследуются макроэкономические эффекты от политики финансовой репрессии в малой открытой экономике, зависящей от экспорта нефти. Автор рассматривает воздействие финансовой репрессии в форме ограничения на процентную ставку по кредитам для производителей на макропеременные, в особенности на инфляцию, отмечая, что конечный результат от политики репрессии со стороны фискального органа может зависеть от канала ее проведения. В работе строится DSGE-модель малой открытой экономики, зависящей от экспорта сырья, в которую инкорпорируется финансовая репрессия в форме предоставления отдельным производителям доступа к кредитованию по субсидированной процентной ставке за счет бюджетных средств. Рассматриваются два эксперимента. В первом анализируются эффекты от перманентного шока финансовой репрессии (выдачи дополнительного объема кредитования по сниженной процентной ставке отдельным отечественным производителям промежуточных товаров). Во втором эксперименте сравнивается действие шока цены на нефть для двух экономик: в одной уже случился перманентный шок льготного кредитования, и экономика перешла в новое долгосрочное равновесие, а во второй льготное кредитование отсутствует. Особое внимание в обоих экспериментах уделяется реакции общей инфляции. На откалиброванной для экономики Казахстана версии модели продемонстрировано, что финансовая репрессия в виде предоставления некоторым отечественным производителям льготного кредитования по сниженной процентной ставке не дает однозначного повышения уровня волатильности макроэкономических переменных в ответ на шок цены на нефть. Результаты текущей модели показали, что волатильность и общая реакция инфляции, совокупного выпуска и потребления в ответ на шок цены на нефть в модели с указанной формой финансовой репрессии ниже, чем в модели без репрессии. На основании данных результатов и с учетом выводов работы [Пак, Пекарский, 2022], где был рассмотрен схожий механизм финансовой репрессии, делается вывод, что центральному банку в малой сырьевой экономике при проведении ДКП оказывается важным сам канал, через который государство осуществляет финансовую репрессию в форме льготного кредитования.
Полный текст
Введение
Согласно докладу Всемирного банка «Перспективы мировой экономики» (январь, 2024), глобальная экономика к концу 2024 г. может отметить 5-летие самых медленных темпов роста реального ВВП за последние 30 лет. Прогноз Всемирного банка в очередной раз подчеркивает актуальность задачи по достижению устойчиво высоких темпов экономического роста для правительств стран. Однако привычная как для развитых, так и для развивающихся стран стимулирующая фискальная политика, выражающаяся в росте государственных расходов, должна сейчас реализовываться в нехарактерных для последнего десятилетия условиях – условиях высоких процентных ставок. Последнее является результатом реакции центральных банков на ускорение инфляции после шока пандемии COVID-19 и ряда геополитических факторов. Ужесточение монетарной политики наряду с устоявшейся практикой многих стран по принятию дефицитных бюджетов и, как следствие, нарастанию государственного долга поставило под угрозу стабильность финансовой системы. В поиске баланса между целью по экономическому росту и соображениями финансовой стабильности правительства применяют меры, которые подпадают под определение финансовой репрессии.
Термин финансовой репрессии впервые был введен Эдвардом Шоу [Shaw,1973] и Рональдом Маккинноном [McKinnon, 1973] для обозначения совокупности мер политики правительства, проявляющихся в жестком регулировании финансового сектора и препятствующих эффективному функционированию финансовых посредников. Термин имеет негативную коннотацию, так как Маккиннон и Шоу, назвав указанным образом меры правительства в области финансового контроля, делали акцент на его отрицательном влиянии на экономический рост. Однако с такой однозначно негативной позицией в отношении мер финансового контроля согласились не все исследователи. В начале 1980-х работы [Shaw,1973; McKinnon, 1973] вызвали критику со стороны неоструктуралистов, считавших, что финансовая либерализация замедлит темпы экономического роста. В частности, Тейлор [Taylor, 1983] подчеркивал, что результаты финансовой либерализации в развивающихся странах зависят от того, какой характер носит инфляция. Если в стране присутствует инфляция издержек, то повышение процентных ставок обернется удорожанием кредитных средств для производителей, еще больше поднимая цены вверх. Активным противником финансовой либерализации в этот период был и Стиглиц [Stiglitz, 1989], аргументировавший необходимость вмешательства государства в финансовый сектор наличием провалов рынка. Но подавляющее большинство эмпирических и теоретических исследований финансовой репрессии 1980–1990 гг. все же сошлись в негативной оценке влияния финансовой репрессии на экономический рост [Fry, 1980; Haslag, Koo, 1999]. Критика мер финансовой репрессии положила начало периоду финансовой либерализации, продлившейся до мирового финансового кризиса.
Тем не менее после 2007–2009 гг. ужесточение финансового контроля вернулось в большинство развитых и развивающихся стран [Пак, Пекарский, 2024], что вновь подняло исследовательский интерес к вопросу последствий финансовой репрессии. Работы о финансовой репрессии, представленные после 2007–2009 гг., акцентировали внимание на отрицательных последствиях финансовой репрессии не только для экономического роста, но и для других макроэкономических показателей, в числе которых инвестиции и сбережения в экономике, налоговые поступления от потребления и труда и др. [Heng, 2015; Safavian, Zia, 2018; Исаков, Пекарский, 2016]. Однако в указанных исследованиях в качестве финансовой репрессии рассматриваются только меры по расширению спроса на государственный долг. В свою очередь, авторы работы [Reinhart, Sbrancia, 2015] причисляют к финансовой репрессии и ряд иных инструментов политики, например, прямые или косвенные ограничения на процентную ставку по кредитам и/или депозитам, владение или управление банками и другими финансовыми учреждениями. И, по данным обзора Всемирного Банка[1], наиболее часто используемой странами формой финансовой репрессии в 2019 г. стало директивное установление потолка процентных ставок по кредитам или депозитам.
Учитывая, что процентная ставка является инструментом монетарной политики, давление на нее может ограничивать возможность центрального банка влиять на инфляцию. Так, в работе [Пак, Пекарский, 2022], авторы, отмечая пробелы в исследовании данного вопроса, попытались оценить влияние наличия потолка процентной ставки по кредитам для домохозяйств на отклики инфляции, а также занятости и экономического роста в ответ на шок цен на нефть. Для этого была построена DSGE-модель малой открытой экспортирующей экономики. За основу при калибровке авторы использовали модель Казахстана, где меры контроля процентных ставок по кредитам охватывают многие сектора экономики. Тем не менее ограничением указанной работы является рассмотрение в качестве финансовой репрессии установления потолка процентной ставки по кредитам только для домохозяйств. На практике же, по данным обзора Всемирного банка, большинство стран используют политику потолка процентных ставок в отношении кредитов для производителей, имея конечной целью стимулирование производства определенных секторов экономики, в то время как стимулирование потребительского спроса при помощи удешевления стоимости кредитов применяется реже.
Более того, последствия политики ограничения процентной ставки по кредитам домохозяйств интуитивно понятны: инфляция при искусственном стимулировании спроса должна расти и быть более подверженной внешним шокам, что в работе [Пак, Пекарский, 2022] подтверждается модельными расчетами. В то же время результаты стимулирования производственного сектора кредитами по сниженной процентной ставке не столь очевидны. Если рассматривать ограничение процентной ставки по кредиту для производителей как инструмент стимулирующей фискальной политики, то в рамках стандартной неоклассической модели общего равновесия с абсолютно гибкими ценами такая политика правительства не должна приводить к долгосрочному росту выпуска, так как экономические агенты, максимизируя благосостояние на бесконечном горизонте времени, учитывают, что стимулирование экономики за счет увеличения государственных расходов в текущий момент приведет в будущем к росту налогов [Barro, 1984]. Но в современных неокейнсианских DSGE-моделях эффект стимулирующей фискальной политики на экономический рост, инфляцию и потребление будет зависеть от масштаба увеличения агрегированного спроса и предложения, от номинальных жесткостей и проводимой денежно-кредитной политики [Linnemann, Schabert, 2003]. Например, авторы работы [Liu et al., 2009] показывают, что, хотя финансовая репрессия имеет множество негативных последствий, финансовая либерализация в условиях нерыночной структуры экономики, обусловленной в том числе определенным этапом экономического развития страны, не обязательно улучшает благосостояние. Акцентируя внимание на конкретном механизме финансовой репрессии – в виде ограничений на процентную ставку по кредитам для некоторых производителей, – исследователи [Wu, Xu, Yan, 2022] на примере Китая также приходят к нетипичному для ортодоксальных моделей выводу. В частности, авторы рассматривают следующий механизм репрессии: Правительство Китая предоставляет государственным предприятиям (state-owned entrepreneurs), имеющим рыночную власть, доступ к кредитам по сниженной процентной ставке; в то же время частные предприниматели могут занимать средства на рынке только по рыночной процентной ставке. Авторы, строят DSGE-модель с двумя типами фирм – государственными монополиями и частными предприятиями – и показывают, что финансовая репрессия в виде доступа первых к дешевым заемным средствам компенсирует потери в эффективности, связанные с монопольным положением государственных предприятий.
Таким образом, влияние финансовой репрессии в виде ограничения процентной ставки по кредитам для предпринимателей на экономический рост, инфляцию и потребление в нерыночных условиях развивающейся страны все же необязательно будет негативным. Можно предположить, что конечный результат такой политики зависит от самого механизма ограничения процентной ставки, а также от подверженности экономики внешним шокам, что особенно характерно для малых экспортирующих экономик.
В настоящей работе автор ставит целью дополнить результаты исследования [Пак, Пекарский, 2022] путем анализа двух экспериментов. В первом эксперименте анализируется динамика перехода макропеременных к новому долгосрочному равновесию (функции импульсного отклика) в результате шока репрессии (выдачи дополнительного объема кредитов по сниженной процентной ставке отдельным отечественным производителям промежуточных товаров). Во втором эксперименте сравнивается действие шока цены на нефть для двух экономик: в одной уже случился перманентный шок льготного кредитования для производителей промежуточных товаров, и экономика перешла в новое долгосрочное равновесие, а во второй льготное кредитование отсутствует. Работа построена следующим образом: в первом разделе представлено описание DSGE-модели, во втором – описаны особенности калибровки; в третьем разделе представлены результаты и их интерпретация.
Важно заметить, что основанием для калибровки выбрана экономика Казахстана, поскольку, как отмечают исследователи [Пак, Пекарский, 2022], контроль процентных ставок в этой стране охватывает больший, по сравнению с Россией, объем кредитного рынка. Однако калибровка и структура модели в целом типична для экспортирующих экономик, вследствие чего выводы могут быть качественно применены и к другим экспортирующим малым открытым экономикам.
1. Описание модели
В работе строится теоретическая DSGE-модель для малой открытой экономики, зависящей от экспорта нефти. Построение данной модели опирается на работы [Полбин, 2013; Полбин, Дробышевский, 2014]. Однако модель существенно корректируется с учетом задач текущего исследования. В частности, в модель инкорпорируется финансовый посредник по принципу работы [Gerali et al., 2010], а также усложняется описание производственного сектора и вводится финансовая репрессия в виде доступа некоторых отечественных производителей промежуточных товаров к кредитным средствам по сниженной (относительно рыночной) процентной ставке. А именно, в модели производство конечной продукции осуществляется двумя типами фирм, разница между которыми – в долях использования отечественных промежуточных товаров при производстве конечных товаров: фирмы конечного производства 2 типа используют большую долю отечественных промежуточных товаров по сравнению с фирмами конечного производства 1 типа. Далее политика финансовой репрессии рассматривается с позиции того, что государство заинтересовано в поддержке отечественного производства, а потому предоставляет доступ к кредитам по сниженной процентной ставке отечественным производителям промежуточных товаров для цепочки производства конечного продукта фирмами 2 типа (для краткости отечественных производителей промежуточных товаров для фирм 2 типа называем «производителями промежуточных товаров 2 типа»).
1.1. Домохозяйства
Домохозяйства максимизируют функцию полезности следующего вида:
(1)
где – объем потребления; – количество часов труда; y – величина, обратная эластичности труда по Фришу; – величина, отражающая привычки потребления; – субъективный коэффициент дисконтирования, .
В выражении (1), по аналогии с работой [Smets, Wouters, 2003], член отражает привычки потребления и составляет величину . Домохозяйство не оптимизирует по величине потребления, от которого зависят привычки.
Домашние хозяйства предлагают свой труд по номинальной ставке посреднику на рынке труда, который в последующем предоставляет данный труд двум производителям промежуточных товаров. Также домохозяйства сдают капитал и в аренду двум типам производителей по ставкам и соответственно. Часть своего дохода домохозяйства тратят на текущее потребление и на оплату налога на потребление по фиксированной ставке , часть – на инвестиции в капитал и , а часть – сберегают в виде депозитов на внутреннем рынке финансового капитала под ставку и вложений в иностранные облигации под постоянную ставку при номинальном обменном курсе . Таким образом, в модели и труд, и производственный капитал принадлежат домохозяйствам. Домохозяйства принимают решения об инвестициях, за счет которых и происходит изменения объемов капитала. При этом, как и в работе [Полбин, 2013], в рамках рассматриваемой модели будем предполагать, что долгосрочный уровень вложений в иностранные облигации равен нулю. Таким образом, бюджетное ограничение домохозяйств выглядит следующим образом:
(2)
где – сумма прибыли агентства занятости, прибыли двух типов производителей, прибыли финансового посредника и выручки от экспорта нефти. При этом – это цена на конечный продукт в экономике; – постоянная цена за рубежом.
Слагаемое – издержки на изменение уровня инвестиций – в выражении (2) означает, что если домохозяйства меняют уровень инвестиций относительно некоторого долгосрочного уровня, то несут издержки [Rotemberg, 1982]. При этом в рамках стандартного для данного механизма подхода, моделирующего жесткость цен на инвестиции, мы предполагаем, что домохозяйства не интернализируют возможность изменения нормирующего множителя .
Инвестиции и капитал для обоих секторов производства связаны стандартными уравнениями динамики, отражающими прирост капитала за счет инвестиций и выбытие за счет амортизации с нормой :
(3)
(4)
Функция из бюджетного ограничения домохозяйств, по аналогии с работой [Полбин, 2013], отражает издержки на покупку облигаций на внешнем рынке, введенные для обеспечения стационарности динамики чистых иностранных активов и потребления, и имеет следующую квадратичную форму:
(5)
Обозначая множители Лагранжа при ограничениях (2), (3), (4) через , , , а инфляцию через , получаем следующие условия оптимальности:
(6)
(7)
(8)
(9)
(10)
(11)
(12)
(13)
Уравнение (6) определяет предельную полезность потребления. Уравнение (7) является уравнением Эйлера, задающим связь между текущим и будущим уровнями потребления. Уравнение (8) связывает предельную полезность потребления с предельным неудовольствием от труда. Уравнение (9) с уравнением (7) совместно отражают паритет внешней и внутренней процентной ставки, скорректированный на издержки вложений в иностранные облигации. Уравнения (10), (12) связывают арендную стоимость капитала с теневой ценой ограничений и амортизацией капитала. Уравнения (11) и (13) определяют теневую цену капитала , , т.е. цену ограничений (3), (4). Чем выше значение параметра в уравнениях (11) и (13), определяющего издержки на изменение капитала, тем более активно теневая цена сдерживает подстройку инвестиций.
Для понимания взаимосвязей между разными доходностями сравним в долгосрочном равновесии значения доходностей по депозитам, по вложениям в иностранные облигации и по вложениям в производственный капитал. Так, из выражений (7)–(13) следует, что в долгосрочном равновесии
(а)
(б)
где переменные без индексов – это долгосрочные значения динамических переменных; – реальная доходность капитала.
Уравнение (а) демонстрирует, что выполняется паритет процентных ставок, а уравнение (б) означает, что процентная ставка в экономике и долгосрочная доходность по капиталу связаны между собой с учетом нормы амортизации.
1.2. Жесткость заработных плат
Далее в модель вводится жесткость заработных плат по Ротембергу [Rotemberg, 1982], по аналогии с работой [Пак, Пекарский, 2022]. Предполагается, что домохозяйства предлагают свой труд отечественным производителям промежуточных товаров не напрямую, а через посредника – «агентство занятости». Данное агентство трансформирует услуги по технологии Диксита – Стиглица:
(14)
где – эластичность спроса на труд домохозяйств.
При этом, будучи монополистом, агентство занятости предлагает услуги труда отечественным производителям промежуточных товаров по номинальной ставке заработной платы . Изменение для агентства занятости сопряжено с издержками, которые могут быть формализованы в виде выпуклой квадратичной функции:
(15)
Одновременно агентство занятости сталкивается со следующей функцией спроса на труд домохозяйств со стороны производителя:
(16)
Таким образом, агентство занятости максимизирует прибыль:
(17)
где
(18)
Важно заметить, что если параметр , то, в предположении о симметричности равновесия, , из решения оптимизационной задачи агентства занятости можно вывести следующие соотношения заработной платы, устанавливаемой домохозяйствами и непосредственно агентством:
(19) ,
где
(20)
(21)
Уравнение (19) демонстрирует, что агентство труда, имея монопольную власть, создает наценку.
1.3. Производственный сектор
Производство конечной продукции. Конечный продукт агрегируется из выпуска фирм двух типов на основе CES-функции:
(22)
где и – выпуск двух типов конечных производителей; – вес выпуска фирмы 1 в общем выпуске; – параметр, который определяет эластичность замещения: . Параметр берется близким к единице: это позволяет, с одной стороны, двум типам продукта быть близкими по качествам к совершенным субститутам, с другой стороны, позволяет гарантировать, что обе фирмы будут производить ненулевое количество продукции.
Фирма, занимающаяся процессом агрегирования, продает общий выпуск по цене , сталкиваясь с издержками по покупке конечных товаров фирм и . Ее функция прибыли выглядит следующим образом:
(23)
Условия оптимальности для агрегирующей фирмы, нацеленной на максимизацию прибыли (23) при ограничении (22), представлены ниже:
(24)
(25)
В свою очередь, фирма первого типа производит конечные товары, используя промежуточную продукцию отечественного производителя первого типа и импортные промежуточные товары. Технология производства описывается функцией Кобба – Дугласа [Полбин, 2013]:
(26)
Фирма – конечный производитель первого типа максимизирует прибыль:
(27)
где – цена продукции первой фирмы; – цена промежуточного продукта .
Решая данную оптимизационную задачу, получаем условия оптимальности:
(28)
(29)
Аналогично фирма – конечный производитель второго типа производит конечную продукцию при помощи промежуточных товаров, закупаемых у отечественного производителя второго типа, и импортных товаров.
(30)
Разница между фирмой первого типа и фирмой второго типа – в долях использования импортных товаров при производстве конечной продукции. Предполагается, что фирма второго типа использует в производстве конечных товаров отечественную продукцию в большей степени, чем фирма первого типа, что выражается через условие Далее в модели предполагается, что государство заинтересовано в поддержке отечественного производства, а потому оно через финансового посредника выдает кредиты по сниженной процентной ставке отечественным производителям промежуточных товаров для цепочки производства конечных товаров фирмы 2.
Внутреннее производство промежуточной продукции. Отечественные производители промежуточных товаров для цепочек производства фирмы 1 и фирмы 2 описываются в модели одинаково, за исключением части с государственной поддержкой, ввиду чего далее в формулах используется общий индекс (i), который равен 1 или 2 соответственно.
Отечественный производитель промежуточных товаров имеет производственную функцию с постоянной эластичностью, зависящую от трех факторов производства – капитала , труда , и объема кредитования :
(31)
За пользование кредитами производитель выплачивает кредитору в период величину . Использование финансовых ресурсов в производственной функции, хотя и не является частым способом моделирования потребности в займах, тем не менее допускается в научной литературе. Еще авторы работы [Sinai, Houston, 1975] эмпирически исследовали возможность использования денежных средств в производственной функции наряду с трудом и капиталом. Позже в моделях общего равновесия кредиты в производственной функции использовались в исследованиях [Prescott, Wessel, 2018; Benchimol, 2015]. В финансовой сфере производственная функция с денежными агрегатами использовалась в работах [Christiano et al., 2010; Goodfriend, McCallum, 2007]. Данный подход имеет преимущество в отсутствии необходимости описывать спрос на деньги со стороны производителей с помощью залогового ограничения или ограничения ликвидности. Последние два подхода, хотя и отражены во множестве работ, но не имеют общепринятого, устоявшегося выражения в математических моделях, зачастую приводя на практике к нарушению условия существования единственности равновесия [Blanchard, Kahn, 1980]. В то же время использование кредитных средств в производственной функции отражает необходимую реакцию производителя на изменение процентных ставок: чем выше процентные ставки, тем меньший спрос на кредиты предъявляет производитель. Также расширение производства производителем требует увеличения спроса на кредитные средства.
Далее мы также предполагаем, что производитель промежуточных товаров действует на рынке монополистической конкуренции и сталкивается со следующим спросом на свою продукцию:
(32)
Цель деятельности производителя промежуточных товаров – максимизация приведенной прибыли, которая определяется следующим образом:
(33)
где прибыль производителя:
(34)
Функция Лагранжа выглядит следующим образом:
(35)
Множитель Лагранжа в выражении (35) – – соответствует объединенной паре ограничений (31)–(32), из которой исключена переменная . Выражение (32) используется для исключения в выражении (34).
В выражении (33) множитель отражает норму дисконтирования прибыли. Мы будем предполагать, что
(36)
Следует напомнить, что домохозяйства в модели в соответствии с уравнением (2) получают прибыль двух производителей , т.е. имеют дивидендные выплаты.
Это, в свою очередь, предполагает, что производители в своей деятельности должны руководствоваться некоторой дивидендной политикой, которая бы отвечала интересам домохозяйств. Такая дивидендная политика и задается неявно через множитель Лагранжа. Если , то производитель дисконтирует будущую прибыль наиболее благоприятным для собственников образом. Заданный принцип фактически описывает дивидендную политику фирм-производителей промежуточных товаров, при которой они в случае экономического спада и снижения доходов домохозяйств должны будут стремиться сохранить дивидендные выплаты домохозяйствам, сокращая свои издержки. В целом подобная «контрцикличность» дивидендной политики нередко встречается в исследованиях [Liu, Miao, 2015; Hirshleifer, Li, Yu, 2015]. При этом важно также заметить, что, хотя в литературе встречается и критика указанного подхода, в рамках текущего исследования результаты модели робастны к смягчению условия дивидендной политики (см. Приложение).
В выражении (34) – процентная ставка по займам. Из уравнения прибыли видно, что производитель получает некоторый объем кредита в настоящем времени, отдавая займы предыдущего периода по рыночной процентной ставке .
Оптимизация производится по переменным . Соответственно, условия оптимальности для задачи максимизации принимают вид
(37)
(38)
(39)
(40)
В уравнении (40) учтем симметричность равновесия и выразим . Тогда уравнение (40) можно переписать в следующем виде:
Уравнения (37)–(40) демонстрируют, что отечественный производитель тратит все средства, за исключением доли , на три фактора производства: труд, капитал и заемные средства. Одновременно, сама по себе величина имеет содержательную интерпретацию предельных издержек. Если то в соответствии с уравнением (40) предельные издержки постоянны. И, соответственно, постоянна доля выручки, которую производитель перечисляет собственникам. Если , то предельные издержки переменны во времени и действует механизм жесткости внутренних цен: чем выше значение , тем менее активно внутренние цены подстраиваются под изменение макроэкономических условий.
1.4. Финансовый посредник
В модели предполагается наличие финансового посредника, который осуществляет следующую функцию: принимает средства у домохозяйств под ставку (данная процентная ставка задается ЦБ в рамках инструментального правила) и выдает этот же объем средств в виде кредитов для государства по процентной ставке , а также для производителей первого типа и для производителей второго типа под ставку . При этом, по аналогии с работой [Gerali et al., 2010], мы предполагаем, что финансовый посредник обладает монопольной властью на рынке кредитов. Поэтому между процентными ставками по депозитам и по кредитам образуется спред :
(41)
Важно заметить, что в текущем исследовании описание финансового посредника ограничивается указанным выражением. В отличие от работы [Gerali et al., 2010], здесь не предполагается монополизма посредника на депозитном рынке, не задаются издержки на изменение процентных ставок, что могло бы вести к жесткости реакции ставок. Также текущая модель не содержит описания динамики собственного капитала банка, поскольку это не привносит в модель содержательных изменений и не является фокусом данной работы. Полученную прибыль финансовый посредник передает домохозяйствам.
1.5. Финансовая репрессия
Финансовая репрессия в модели специфицируется в качестве доступа отдельных отечественных производителей промежуточных товаров к определенному объему кредитов по льготной (сниженной) процентной ставке . Такой доступ в модели получают промежуточные производители второго типа, т.е. те производители, товары которых используются при производстве конечной продукции фирмами с меньшей долей использования импорта (фирмы второго типа).
Мы будем считать, что на микроуровне производителей промежуточных товаров второго типа – континуум. Каждый производитель получает одинаковую долю кредитов по льготной ставке . В результате фактическая процентная ставка , по которой производители получают кредиты, определяется соотношением
(42)
где представляет собой рыночную процентную ставку, по которой берут кредиты производители первого типа, – тот объем кредитов, который производитель второго типа берет по рыночной процентной ставке на открытом рынке. Получается, что производитель промежуточных товаров для фирмы 2 сталкивается с процентной ставкой по займам, которая является средневзвешенной от рыночной процентной ставки по кредитам и субсидируемой процентной ставки .
В работе мы исследуем влияние политики правительства через рассмотрение эффектов от шока в виде дополнительно выданных кредитов по сниженной процентной ставке. Шок вводится в модель через уравнение (43):
(43)
В соответствии с уравнением (42), шок субсидий меняет реальный объем субсидируемых кредитов. Уравнение (43) гарантирует, что в результате разового шока экономика перейдет в новое долгосрочное равновесие.
1.6. Монетарная политика
В модели монетарная политика ограничивается установленным ЦБ инструментальным правилом Тейлора:
(44)
Данная процентная ставка соответствует ставке процента по депозитам.
1.7. Фискальная политика
Правительство формирует доходную часть бюджета за счет налогообложения потребления по фиксированной ставке и за счет налогообложения выпуска отечественных производителей промежуточных товаров по ставке . Одновременно правительство в рамках стандартной фискальной политики осуществляет расходы , но при этом дополнительно несет расходы на реализацию программы субсидирования кредитов (политики финансовой репрессии) – выдачи объема кредитов по льготной процентной ставке – . Бюджетный баланс правительства выглядит следующим образом:
(45)
Выражение (45) также демонстрирует, что правительство от выдачи льготного объема кредитов в следующем периоде получает процентный доход , где ниже, чем . Вместе с тем правительство для реализации политики финансовой репрессии также вынуждено занимать средства на рынке в объеме у домохозяйств по процентной ставке . Объем занимаемых государством средств задается следующим выражением:
(46)
Уравнение (46) в модели обеспечивает устойчивость государственных финансов, позволяя сохранять безопасный уровень государственного долга. Подставляя выражение (45) в (44) при = 0, мы получаем, что величина государственных расходов в модели корректируется только на величину выплачиваемых процентных платежей по собственным займам для финансирования программы субсидирования процентных ставок[2]. Следовательно, государственные расходы в модели эндогенны. Уравнение (46) выражает цель привлечения кредитов: кредиты идут на финансирование льготного кредитования, а потому с определенными оговорками данное выражение можно назвать бюджетным правилом.
Бюджетные правила для открытых экономик, зависящих от экспорта сырья, описаны в работе [Medina, Soto, 2007]. Важность применения бюджетного правила при моделировании экономики, зависящей от экспорта сырьевого ресурса, показало и исследование [Андреев, 2023].
1.8. Цены на нефть и платежный баланс
С учетом целей текущего исследования, в частности рассмотрения эффектов от шока цен на нефть в двух состояниях – после реализации шока льготных кредитов и в отсутствии такого шока, – в модель вводится уравнение цены на нефть, задаваемое AR (1) процессом, по аналогии с работой [Пак, Пекарский, 2022]:
(47)
Далее приведено уравнение (48), отражающее равновесие на рынке импорта товаров. Уравнение (49) описывает равновесие платежного баланса, где export – объем экспорта (фиксированная величина), – реальный обменный курс валюты.
(48)
(49)
1.9. Условия равновесия
Ниже приведены условия равновесия на рынках в реальном выражении:
(50)
(51)
Уравнение (50) является условием равновесия на рынке труда. Уравнение (51) соответствует равновесию на рынке товаров, которое отражает равенство произведенного продукта спросу на данный продукт и затратам, связанным с изменением цен, зарплат и инвестиций.
2. Калибровка параметров модели
Поскольку цель построения модели в текущем исследовании – это выявление теоретических эффектов от применения финансовой репрессии, а не точное описание экономики Казахстана, большая часть параметров, отвечающих за динамику, калибровалась в соответствии с оценками, принятыми в литературе. Так, параметр предпочтения времени () брался равным 0,99, что соответствует значению реальной эффективной процентной ставки в модели – 4% годовых (1% в квартал) и является стандартным для ряда работ [Kydland, Prescott, 1982; Gertler, Karadi, 2011]. Процентная ставка по вложениям в иностранные облигации предполагается заданной на уровне . Норма амортизации капитала берется равной 0,025 (2,5% в квартал), по аналогии с работами [Шульгин, 2014; Полбин, 2013], где строилась DSGE-модель для российской экономики. Предполагаем для простоты параметр привычек в потреблении домохозяйств равным нулю.
Параметр жесткости заработных плат () и жесткости цен для двух категорий отечественных производителей ( и ) берется равным 20. Параметр издержек по размещению (покупке) облигаций на международном финансовом рынке () калибруется на уровне 0,1 [Полбин, 2013]. Параметр жесткости инвестиций () = 4 [Полбин, 2013]. Параметр консолидации государственного долга (изменяемый параметр). Коэффициент реакции процентной ставки на отклонение инфляции () в правиле Тейлора задается на уровне 1,5 [Gertler, Karadi, 2011]. Параметр автокорреляции процесса мировых цен на нефть калибруется на уровне 0,9 – близко к значению, используемому в работе [Полбин, 2013]. Эластичность выпуска отечественных производителей по капиталу где – это эластичность выпуска по кредитам. Значение 0,35 взято из работы [Полбин, 2013], что означает, что соотношение затрат на факторы производства предполагается в пропорции 0,35/0,65. В свою очередь, параметр задается в модели на уровне 0,1. Указанное значение параметра означает, что расходы фирм на процентные выплаты по кредитам составляют 10% от всех расходов фирм и одновременно дает модельное соотношение . Технологическая эффективность производителей конечной продукции зависит в модели от доли импортируемого товара:
(52)
где i = 1,2.
Эластичность спроса на труд по заработной плате () в модели берется на уровне 10, что означает низкую эластичность, которая позволяет делать наценку к заработной плате со стороны профсоюзов. Вес выпуска фирмы 1 в общем выпуске, , равен 0,5, т.е. для простоты исходно мы предполагаем одинаковое соотношение выпусков фирмы 1 и фирмы 2 в экономике. Параметр, который определяет эластичность замещения , равен 0,9, что означает, что товары фирмы 1 и 2 близки к совершенным субститутам. Эластичность спроса на промежуточные товары отечественного производства по цене , которая определяет возможность наценки над предельными издержками, задается на уровне 5 для обоих цепочек производства конечного товара.
Спред между процентной ставкой по кредиту (рыночной) и процентной ставкой по депозиту (x) в уравнении (41) задается экзогенно на уровне 1,02, что соответствует значению в 8% годовых. Субсидируемая ставка процента также задается в модели экзогенно на уровне 2% годовых, что предполагает значение в модели на уровне 1,005. Ставка налога на потребление () в модели равна 0,1, а ставка налога на выпуск отечественных производителей () задается на уровне 0,2. Это предполагает соотношение в модели на уровне 0,23, что близко к фактическому соотношению переменных в казахстанской экономике: государственные расходы к ВВП в среднем за период 2018–2023 гг. составляли 24,8. Мы предполагаем, что у фирмы 1 доля отечественных промежуточных товаров, задействованных в производстве, составляет 60% , а у фирмы 2 – 80% .
3. Результаты и интерпретация
В данном разделе мы рассматриваем два эксперимента, характеризующих воздействие политики репрессии в виде предоставления определенного объема кредитов по сниженной процентной ставке отечественным производителям промежуточных товаров для цепочки производства фирмы 2 (далее – производителям промежуточных товаров второго типа). В первом эксперименте анализируется долгосрочное влияние политики финансовой репрессии, для чего сравниваются долгосрочные равновесия для двух случаев: без дополнительного предоставления кредитов по сниженной процентной ставке для производителей промежуточных товаров и с предоставлением (далее – льготное кредитование). В рамках первого эксперимента анализируется и сама динамика перехода к новому долгосрочному положению равновесия (функции импульсного отклика) в результате шока репрессии (выдачи дополнительного объема кредитования по сниженной процентной ставке отечественным производителям промежуточных товаров в модели).
Во втором эксперименте сравнивается действие шока цены на нефть для двух экономик: в одной репрессия отсутствует, а в другой – присутствует. Последний эксперимент связан с тем, что политика репрессии в виде льготных кредитов некоторым производителям промежуточных товаров может носить долгосрочный характер или может быть растянута на несколько деловых циклов. Тогда для экспортирующей экономики на протяжении делового цикла определяющим будет шок цены на нефть, и именно он будет определять кратко- и среднесрочную динамику. Роль же политики репрессии в данном случае заключается в создании фона (долгосрочных условий), при котором действует шок цены на нефть, а также реализует свою политику монетарный регулятор. Данный эксперимент, по аналогии с работой [Пак, Пекарский, 2022], позволяет нам проанализировать, становятся ли условия для проведения денежно-кредитной политики центральным банком более жесткими.
3.1. Изменение долгосрочного равновесия в результате перманентного шока субсидирования кредитов
В текущем подразделе рассмотрим изменение самих равновесных уровней макропеременных в ответ на шок финансовой репрессии (табл. 1). Под шоком финансовой репрессии подразумевается выдача государством дополнительного объема кредитования по сниженной процентной ставке некоторым отечественным производителям промежуточных товаров. Напомним, что такой доступ получают именно отечественные производители промежуточных товаров второго типа. Размер шока составляет 0,01 стандартное отклонение, что соответствует 1-процентному увеличению объемов кредита по сниженной процентной ставке для производителей промежуточных товаров второго типа.
Таблица 1.
Сравнение долгосрочных равновесий в модели с шоком и без шока финансовой репрессии (при = 0,5)
Показатель | Равновесный | Равновесный | Изменение |
Общий выпуск, Y | 1,0000 | 1,0008 | 0,08 |
Выпуск конечных товаров фирмы 1, | 0,5000 | 0,4988 | –0,24 |
Выпуск конечных товаров фирмы 2, | 0,5000 | 0,5019 | 0,38 |
Объем импорта промежуточных товаров фирмы 1, | 0,2000 | 0,1996 | –0,20 |
Объем импорта промежуточных товаров фирмы 2, | 0,1000 | 0,1004 | 0,40 |
Цена на конечные товары фирмы 1, | 1,0000 | 1,0003 | 0,03 |
Цена на конечные товары фирмы 2, | 1,0000 | 0,9997 | –0,03 |
Показатель | Равновесный | Равновесный | Изменение |
Выпуск промежуточных товаров отечественного производителя 1, | 0,3000 | 0,2992 | –0,27 |
Выпуск промежуточных товаров отечественного производителя 2, | 0,4000 | 0,4016 | 0,40 |
Потребление, C | 0,6904 | 0,6908 | 0,06 |
Инвестиции производителя 1, | 0,0431 | 0,0430 | –0,23 |
Инвестиции производителя 2, | 0,0574 | 0,0576 | 0,35 |
Иностранные облигации, | 0,0000 | 0,0000 | 0,00 |
Реальный обменный курс, | 1,0000 | 0,9999 | –0,01 |
Занятость, L | 1,0000 | 1,0001 | 0,01 |
Занятость 1, | 0,4286 | 0,4273 | –0,30 |
Занятость 2, | 0,5714 | 0,5728 | 0,25 |
Номинальная заработная плата, W | 0,2359 | 0,2361 | 0,08 |
Жесткая зарплата, | 0,2621 | 0,2623 | 0,08 |
Общая инфляция, P | 1,0000 | 1,0000 | 0,00 |
Цена отечественных промежуточных товаров 1, | 1,0000 | 1,0006 | 0,06 |
Цена отечественных промежуточных товаров 2, | 1,0000 | 0,9996 | –0,04 |
Капитал 1, | 1,7230 | 1,7196 | –0,20 |
Капитал 2, | 2,2974 | 2,3015 | 0,18 |
Займ 1, | 0,9600 | 0,9581 | –0,20 |
Займ 2, | 1,2800 | 1,2969 | 1,32 |
Государственные расходы, G | 0,2090 | 0,2093 | 0,14 |
Процентная ставка ЦБ, R | 1,0101 | 1,0101 | 0,00 |
Как видно из табл. 1, перманентный шок льготного кредитования для производителей промежуточных товаров второго типа приводит к изменению равновесного уровня потребления, общего выпуска, реального обменного курса (падение = укрепление национальной валюты, по табл. 1 – на 0,01%), заработных плат и государственных расходов. При этом шок репрессии в отношении производителя промежуточных товаров второго типа приводит к следующему перераспределению ресурсов: долгосрочный уровень капитала и занятости производителя первого типа снижается, зато растет долгосрочный уровень капитала и занятости производителя второго типа. Одновременно шок репрессии оборачивается перераспределительными процессами между фирмами-производителями конечных товаров первого и второго типа: равновесный уровень выпуска фирмы 1 уменьшается на 0,24% относительно предыдущего равновесного уровня, а фирмы 2 – растет сразу на 0,38%.
При этом увеличение равновесного выпуска самим производителем промежуточных товаров второго типа при доступе к дополнительному объему заемных средств по сниженной процентной ставке объясняется снижением ограничивающего действия финансового фактора на производство (т.е. снижением стоимости одного из факторов производства – кредитов ). На фоне роста равновесного уровня выпуска производителем второго типа увеличивается его спрос на труд и капитал. Увеличение спроса на труд приводит к росту уровня заработных плат, что означает расширение бюджетного ограничения домохозяйств. Прирост заработной платы, будучи постоянным (увеличивается сам равновесный уровень заработной платы), приводит к росту уровня потребления домохозяйств. В то же время производитель промежуточных товаров первого типа, сталкиваясь с удорожанием трудовых и капитальных ресурсов, снижает долгосрочные объемы выпуска и спрос на кредиты по рыночной процентной ставке .
Что касается реакции цен, то, увеличивая объемы выпуска и сталкиваясь с более низкими расходами на обслуживание заемных средств (вследствие того, что дополнительные заемные средства доступны по сниженной процентной ставке), производитель промежуточных товаров второго типа, как было отмечено, увеличивает выпуск и снижает цену на промежуточные товары , вслед за которой снижаются цены конечных товаров фирм 2 . Равновесная цена на промежуточный товар производителя 1 в результате шока репрессии, наоборот, растет ввиду того, что производитель промежуточных товаров первого типа, не имея выгод от льготного кредитования (оно ему недоступно), сталкивается с удорожанием труда и капитала. Это, в свою очередь, приводит к росту цен на конечные товары фирм 1 . Но общая инфляция (Р) возвращается после шока репрессии к прежнему долгосрочному (равновесному) значению вместе с изменением равновесного уровня реального обменного курса.
Таким образом, в общем случае при указанной спецификации модели и заданных параметрах жесткости шок государственной политики, в виде выдачи производителям отечественных промежуточных товаров дополнительного объема льготного кредитования, положительно сказывается на общем выпуске и потреблении – они достигают более высокого равновесного уровня. Тем не менее важно учитывать, что шок финансовой репрессии запускает механизм долгосрочного перераспределения выпуска, капитала и труда между производителями первого и второго типа, создавая перекосы в распределении ресурсов, не свойственные модели без шока. Вдобавок отметим, что рассматриваемая политика финансовой репрессии фактически направлена на изменение структуры экономики, а потому на практике должна побуждать фирмы менять степень импортозамещения. Иными словами, в реальности мы не сталкиваемся с фиксированными долями использования экспортных и импортных промежуточных товаров, и рассматриваемая политика репрессии может повлиять на само изменение структуры производства.
Также заметим, что полученные результаты характерны для спецификации модели, где были взяты равные доли выпуска фирм 1 и 2 в общем объеме выпуска конечных товаров . Поэтому дополнительно важно посмотреть на устойчивость результатов при изменении соотношения выпуска фирм 1 и 2 в общем объеме выпуска конечных товаров. В этой связи ниже приведено сравнение долгосрочных равновесий в модели с шоком репрессии и без шока репрессии при увеличении доли фирм первого типа, использующих в большем объеме импортные промежуточные товары, до 80% . Заметим, что направления реакции переменных при изменении остаются прежними: шок льготного кредитования все также положительно сказывается на общем выпуске и потреблении. Реакция общей инфляции и процентной ставки ЦБ в целом не меняется. Общая логика изменения показателей не нарушается. Но масштаб изменения равновесных значений общего выпуска, занятости, капитала, заработной платы по отношению к исходному равновесию в результате шока репрессии оказывается иным (см. табл. 2).
Таблица 2.
Сравнение долгосрочных равновесий в модели с шоком и без шока финансовой репрессии (при = 0,8)
Показатель | Равновесный | Равновесный | Изменение |
Общий выпуск, Y | 1,0000 | 1,0009 | 0,09 |
Выпуск конечных товаров фирмы 1, | 0,8000 | 0,7981 | –0,24 |
Выпуск конечных товаров фирмы 2, | 0,2000 | 0,2017 | 0,85 |
Показатель | Равновесный | Равновесный | Изменение |
Объем импорта промежуточных товаров фирмы 1, | 0,3200 | 0,3195 | –0,16 |
Объем импорта промежуточных товаров фирмы 2, | 0,0400 | 0,0405 | 1,25 |
Цена на конечные товары фирмы 1, | 1,0000 | 1,0003 | 0,03 |
Цена на конечные товары фирмы 2, | 1,0000 | 0,9987 | –0,13 |
Выпуск промежуточных товаров отечественного производителя 1, | 0,4800 | 0,4786 | –0,29 |
Выпуск промежуточных товаров отечественного производителя 2, | 0,1600 | 0,1623 | 1,44 |
Потребление, C | 0,7092 | 0,7097 | 0,07 |
Инвестиции производителя 1, | 0,0689 | 0,0688 | –0,15 |
Инвестиции производителя 2, | 0,0230 | 0,0233 | 1,30 |
Иностранные облигации, | 0,0000 | 0,0000 | 0,00 |
Реальный обменный курс, | 1,0000 | 0,9996 | –0,04 |
Занятость, L | 1,0000 | 1,0002 | 0,02 |
Занятость 1, | 0,7500 | 0,7473 | –0,36 |
Занятость 2, | 0,2500 | 0,2529 | 1,16 |
Номинальная заработная плата, W | 0,2157 | 0,2160 | 0,14 |
Жесткая зарплата, | 0,2396 | 0,2399 | 0,13 |
Общая инфляция, P | 1,0000 | 1,0000 | 0,00 |
Цена отечественных промежуточных товаров 1, | 1,0000 | 1,0008 | 0,08 |
Показатель | Равновесный | Равновесный | Изменение |
Цена отечественных промежуточных товаров 2, | 1,0000 | 0,9984 | –0,16 |
Капитал 1, | 2,7568 | 2,7510 | –0,21 |
Капитал 2, | 0,9189 | 0,9308 | 1,30 |
Займ 1, | 1,5360 | 1,5328 | –0,21 |
Займ 2, | 0,5120 | 0,5310 | 3,71 |
Государственные расходы, G | 0,1989 | 0,1992 | 0,15 |
Процентная ставка ЦБ, R | 1,0101 | 1,0101 | 0,00 |
Увеличение доли фирм первого типа до 80% означает, что в экономике больше фирм, у которых выше доля использования импортных промежуточных товаров. Поэтому отечественные производители промежуточных товаров сталкиваются с меньшим спросом на свои товары. Следовательно, тот же объем дополнительного льготного кредитования распределяется теперь на меньший объем рынка отечественных промежуточных товаров. Доступ к прежнему объему льготного кредитования меньшего по объему рынка промежуточных товаров приводит к более сильному изменению равновесного уровня выпуска производителей промежуточных товаров второго типа: выпуск растет более значительно к исходному равновесию – на 1,44% (в модели при равновесный выпуск вырос на 0,4% к исходному равновесию (см. табл. 1)). В результате большей реакции выпуска производителя промежуточных товаров второго типа сильнее изменяются его равновесные уровни занятости и капитала. Более высокий спрос на труд приводит к большему увеличению равновесного уровня заработных плат, сильнее расширяя бюджетное ограничение домохозяйств. Выпуск конечных товаров фирм второго типа также растет. На фоне большего увеличения равновесного выпуска фирмы 2 при равновесный уровень совокупного выпуска в ответ на шок льготного кредитования увеличивается сильнее: равновесный общий выпуск растет на 0,09% к исходному равновесию против 0,08% при .
Из проведенного сравнения результатов с изменением доли выпуска фирм первого типа в общем объеме выпуска очевидно, что реакция инфляции и процентной ставки ЦБ в ответ на шок льготного кредитования для отдельных производителей не зависит от структуры производства с точки зрения долей использования импортных и отечественных промежуточных товаров. Однако для реакции общего выпуска указанная структура оказывается более принципиальной. При меньшей доле фирм второго типа (использующих при производстве больший объем отечественных промежуточных товаров) тот же шок льготного кредитования приводит к большему увеличению равновесного общего выпуска по отношению к исходному равновесию. Перераспределение занятости и капитала от шока льготного кредитования становится сильнее при неравных долях фирм первого и второго типа в общем объеме выпуска. Однако направления и логика реакции переменных (выпуска, капитала, занятости, заработных плат и др.) в целом сохраняются. Поэтому далее в анализе будет рассматриваться только случай .
3.2. Динамика переменных в результате перманентного шока субсидирования кредитов
Рассмотрим кратко импульсные отклики отдельных макроэкономических переменных в ответ на перманентный шок финансовой репрессии, в частности динамику перехода к равновесному уровню (рис. 1).
Рис. 1. Импульсные отклики переменных в ответ на перманентный шок кредитования по сниженной процентной ставке для фирмы 2
На рис. 1 по оси абсцисс отображены кварталы, а по оси ординат – процентные отклонения анализируемых переменных от стационарного состояния; в случае с процентной ставкой ЦБ, процентной ставкой по кредитам 1 и 2, инфляцией – абсолютное отклонение от стационарного уровня. Под перманентным шоком, как было отмечено ранее, подразумевается 1-процентное увеличение объемов кредита по сниженной процентной ставке для производителя второго типа. На рис. 1 под «Выпуском 1» и «Выпуском 2» представлены объемы выпуска фирм – конечных производителей первого и второго типа соответственно.
Если выше был сделан акцент на макропеременных, которые достигают нового равновесного уровня, то здесь отметим, что часть переменных, в числе которых инфляция, вложения во внешние облигации и процентная ставка ЦБ, возвращаются к прежнему равновесному уровню, только временно отклонившись от него. И одновременно важно заметить, что поскольку инфляция временно снижается, это приводит к реакции монетарного органа: он снижает процентную ставку до того момента, пока дезинфляционный эффект от репрессии не будет исчерпан. Следовательно, финансовая репрессия в виде льготного кредитования некоторых отечественных производителей в экономике, будучи механизмом снижения издержек, приводит к дезинфляции, которая, в свою очередь, вынуждает ЦБ реагировать понижением процентной ставки. Другими словами, финансовая репрессия в данном случае влияет на процентные ставки в экономике через воздействие на инфляцию. Напомним, что данная реакция инфляции и процентной ставки ЦБ устойчива в модели к изменению доли фирм первого типа (к изменению параметра ).
Отдельно стоит обратить внимание и на то, что в результате шока финансовой репрессии государственные расходы временно снижаются. Такая реакция государственных расходов объясняется заданным в модели выражением (45), в рамках которого кредиты по сниженной процентной ставке для производителей второго типа частично финансируются за счет сокращения государственного потребления. Принимая во внимание, что в результате шока репрессии потребление домохозяйств в моменте реагирует ростом, незначительное сокращение государственных расходов немного сглаживает реакцию общего выпуска в краткосрочном периоде. Но в последующем государственные расходы растут и достигают нового более высокого равновесного уровня, что уже связано с ростом налоговой базы на фоне увеличения общего выпуска. Вложения во внешние облигации после шока репрессии резко увеличиваются. Это происходит на фоне того, что домохозяйства часть прироста заработных плат сберегают – как в виде депозитов, так и в форме вложений в облигации.
Дополнительно заметим, что рис. 1 демонстрирует тот факт, что динамика перехода к равновесию после шока репрессии довольно длительная. В частности, подстройка к новому положению равновесия, несмотря на то что шок льготного кредитования случается лишь в первый момент времени, занимает более 20 кварталов. Это связано в первую очередь с тем, что процесс изменения капитала за счет инвестиций очень инерционен. Также это связано с неоптимальностью быстрой подстройки других переменных в связи с наличием издержек на изменение цен, заработных плат, инвестиций. Направление изменений переменных в динамике совпадает в целом с направлением изменений долгосрочных равновесий (см. раздел 3.1).
3.3. Финансовая репрессия и влияние шока цены на нефть
Далее сравним влияние шока цены на нефть на макроэкономические переменные в двух экономиках: в одной уже случился перманентный шок льготного кредитования для производителей промежуточных товаров второго типа, и экономика перешла в новое долгосрочное равновесие, а во второй – льготное кредитование отсутствует. Указанное сравнение позволит ответить на вопрос, приводит ли наличие финансовой репрессии в виде доступа к льготному кредитованию производителей промежуточных товаров второго типа к большей волатильности макроэкономических параметров при внешнем шоке, по аналогии с работой [Пак, Пекарский, 2022], где доступ к льготному кредитованию имели домохозяйства. В первую очередь нас интересует изменение реакции инфляции: если на фоне льготного кредитования отклик инфляции будет иметь больший масштаб, то можно говорить об ухудшении условий проведения денежно-кредитной политики (ДКП).
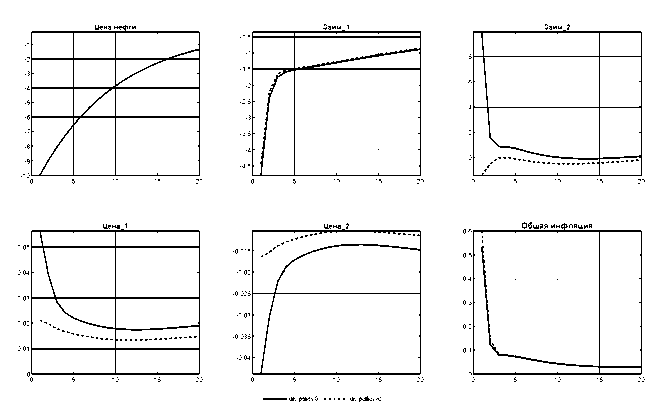
Результаты отрицательного 10-процентного шока цены на нефть для двух моделей – где был ранее перманентный шок льготного кредитования и где его ранее не было – представлены на рис. 2.
Рис. 2. Импульсные отклики переменных в ответ на шок цены на нефть (сравнение реакции в модели, где ранее был шок перманентного льготного кредитования и где его не было; сплошная линия – отклик в модели без финансовой репрессии; пунктирная линия – отклик в модели с финансовой репрессией)
По оси абсцисс отображены кварталы, а по оси ординат – процентные отклонения анализируемых переменных от стационарного состояния; в случае с процентной ставкой ЦБ, процентной ставкой по кредитам 1 и 2, инфляцией – абсолютное отклонение от стационарного уровня. Отдельно отметим два обозначения, представленных на рис. 2: под «ценой 1» и «ценой 2» подразумевается цена конечных товаров фирмы 1 и 2 соответственно; под «внутренней ценой первого сектора» и «внутренней ценой второго сектора» подразумевается цена на промежуточную продукцию отечественных производителей первого и второго типов.
Действие отрицательного шока цены на нефть оказывается в целом стандартным для DSGE-моделей экспортоориентированной экономики. Снижение цены на нефть действует по двум каналам: во-первых, снижает доходы домохозяйств, во-вторых, приводит к ослаблению национальной валюты. Домохозяйства снижают потребление, вслед за которым снижается объем производства конечных товаров. При этом выпуск фирмы – конечного производителя первого типа снижается сильнее, поскольку он использует выросший в цене импорт в большей мере. Снижение спроса на отечественные товары производителя 1 приводит к снижению спроса на факторы производства – капитал, труд. При этом труд производителя первого типа перераспределяется в пользу производителей промежуточных товаров второго типа, которые производят их для цепочки конечных товаров фирмы 2 на фоне того, что выпуск фирмы второго типа снижается в меньшей степени, чем фирм первого типа. Производственный капитал обоих производителей промежуточных товаров снижается на протяжении длительного времени вследствие инерционности процесса подстройки уровня капитала. Вслед за снижением спроса на факторы производства падают их цены: оплата труда и рентная стоимость капитала, а также падают цены на промежуточные товары (на рис. 2 – внутренние цены сектора 1 и 2).
Что касается инфляции, то ее отклик положительный в силу того, что реакция инфляции является результатом взаимодействия двух процессов: падения внутренних цен и обесценения обменного курса национальной валюты (из-за чего происходит удорожание импорта). При этом эффект от роста (обесценения) обменного курса национальной валюты превалирует над эффектом падения внутренних цен, поэтому общая инфляция растет. Объяснение превалирующего влияния эффекта переноса обменного курса на инфляцию в случае значительного шока цены основного экспортируемого товара по сравнению с влиянием внутренней компоненты приведено в работе [Пак, Пекарский, 2022] со ссылкой на работу [Medina, Soto, 2007]. Таким образом, импульсные отклики на рис. 2 соответствуют обшеэкономической логике.
В отношении основного вопроса данного подраздела – влияния репрессии (в виде доступа к льготному кредитованию производителей второго типа) на реакцию переменных в ответ на шок цены на нефть – остановимся на двух наиболее ярких моментах, отмеченных на рис. 2:
1) при наличии репрессии реакция объема займа производителей, имеющих доступ к кредитованию по сниженной процентной ставке, в ответ на падение цены нефти различается;
2) инфляция демонстрирует меньший масштаб реакции при наличии финансовой репрессии.
Поясняя первый момент, важно заметить, что в условиях отсутствия репрессии (кредитования по сниженной процентной ставке производителей второго типа) реакция спроса на займы обоих производителей в ответ на кризис отрицательная: при снижении цены на нефть оба производителя промежуточных отечественных товаров (в отсутствие финансовой репрессии) снижают спрос на заемные средства. Такую реакцию можно объяснить, используя уравнение Эйлера (7) и уравнение процентной наценки (41) вместо процентной ставки в условии оптимальности по кредитам производителя (39), а также вспоминая, что производитель в модели действует всецело в интересах собственников (= 0 в уравнении (36)):
(53)
Это означает, что в отсутствие репрессии и при действии производителей в интересах собственников внутренняя стоимость кредитования постоянна и составляет . Следовательно, любой шок, приводящий к снижению реальной выручки производителя, вынуждает его сокращать издержки, в том числе издержки, связанные с обслуживанием кредитов, для того чтобы обеспечить дивидендами домохозяйства, поэтому спрос на кредиты падает. Однако аналогичное уравнение при наличии репрессии в виде субсидирования процентной ставки будет иметь иной вид:
(54)
Из выражения (54) видно, что предельная стоимость займа дополнительной единицы кредита для производителя второго типа при наличии репрессии уже не постоянна. Предельная стоимость займов становится функцией темпа предельной склонности к потреблению домохозяйств , который в данном эксперименте убывает. Причем склонность к потреблению домохозяйств убывает так сильно, что превышает темп снижения реальной выручки производителя второго типа. Второе слагаемое в соотношении (54) настолько сильно снижается, что его падение компенсируется лишь ростом кредитов в первом слагаемом.
Наконец, при наличии репрессии в виде субсидирования процентной ставки по кредитам производителей второго типа инфляция в ответ на шок цены на нефть реагирует в меньшем масштабе. Это, в первую очередь, объясняется тем, что в случае репрессии внутренние цены (на отечественные промежуточные товары производителя) падают немного сильнее. Более сильное падение внутренних цен промежуточных товаров приводит к более сильному падению цен на отечественные конечные товары фирм второго типа. И хотя цены конечных товаров фирм первого типа растут на фоне более дорогого импорта, с учетом еще и меньшего масштаба обесценения реального обменного курса при политике финансовой репрессии, суммарный эффект на общую инфляцию оказывается меньшим. В свою очередь, более сильное падение внутренних цен объясняется падением в динамике издержек на один из факторов производства – кредиты (за счет наличия субсидирования процентной ставки).
Таким образом, общая инфляция в модели с финансовой репрессией реагирует меньшим увеличением – всего на 0,68 п.п., в то время как в модели без репрессии – на 0,84 п.п. Это позволяет центральному банку в модели с репрессией увеличивать процентную ставку не так резко при отрицательном шоке цены на нефть.
Вместе с тем в модели с финансовой репрессией уменьшается не только абсолютная величина импульсных откликов ряда переменных, но и связанный с этим напрямую показатель их волатильности (табл. 3). В частности, снижается волатильность инфляции, общего выпуска, потребления, реального обменного курса.
Таблица 3.
Сравнение волатильности (стандартных отклонений) макроэкономических показателей в ответ на шок цен на нефть в модели, где был ранее перманентный шок льготного кредитования фирм 2 и где его не было
Наименование переменной | Стандартное отклонение | |
модель без репрессии | модель с репрессией | |
Общий выпуск, Y | 0,0791 | 0,0779 |
Выпуск промежуточных товаров | 0,0252 | 0,0290 |
Выпуск промежуточных товаров | 0,0107 | 0,0169 |
Потребление, C | 0,0493 | 0,0453 |
Инвестиции производителя 1, | 0,0111 | 0,0116 |
Инвестиции производителя 2, | 0,0073 | 0,0059 |
Импорт, | 0,0620 | 0,0683 |
Вложения в иностранные облигации, | 0,1077 | 0,1154 |
Реальный обменный курс, | 0,1096 | 0,1058 |
Занятость, L | 0,0162 | 0,0224 |
Занятость 1, L1 | 0,0360 | 0,0425 |
Занятость 2, L2 | 0,0302 | 0,0358 |
Номинальная заработная плата, W | 0,0254 | 0,0295 |
Жесткая зарплата, | 0,0191 | 0,0189 |
Общая инфляция, P | 0,0105 | 0,0625 |
Цена отечественных промежуточных товаров 1, | 0,0619 | 0,0378 |
Наименование переменной | Стандартное отклонение | |
модель без репрессии | модель с репрессией | |
Цена отечественных промежуточных товаров 2, | 0,0359 | 0,2294 |
Капитал 1, | 0,1724 | 0,1822 |
Капитал 2, | 0,1347 | 0,1035 |
Займ 1, | 0,1495 | 0,1678 |
Займ 2, | 0,0367 | 0,2245 |
Государственные расходы, G | 0,0147 | 0,0184 |
Можно также заметить, что государственные расходы подвержены более высокой волатильности в ответ на отрицательный шок цены на нефть в модели с льготным кредитованием по сравнению с моделью без льготного кредитования. Это объясняется тем, что государство в модели с репрессией в рамках заданного выражения (45) несет дополнительные расходы на предоставление льготных займов, связанные с процентными выплатами, которые финансируются, как было отмечено ранее, отчасти за счет сокращения государственного потребления. Ввиду выражения (45) в модели с репрессией помимо волатильности наблюдается и более резкая реакция самого отклика государственных расходов в ответ на шок цен на нефть: государственные расходы снижаются на 0,96 п.п. в модели с репрессией против 0,57 в модели без репрессии. Такая процикличность бюджетной политики действительно характерна для экономики Казахстана за больший период наблюдения с 2005 по 2023 гг. (см. рис. 3).
Рис. 3. Темпы прироста реального ВВП (г/г) и государственных расходов (г/г), в % Источник: составлено по данным БНС АСПР РК.
Обсуждение результатов
Финансовая репрессия в виде предоставления отдельным отечественным производителям доступа к кредитованию по сниженной процентной ставке, проводимая в малой экономике, зависящей от экспорта сырьевого ресурса, не дает однозначного повышения уровня волатильности макроэкономических переменных в ответ на шок цены на нефть. Наоборот, волатильность и общая реакция инфляции, совокупного выпуска и потребления при шоке цены на нефть в модели малой открытой экспортирующей экономики с финансовой репрессией ниже, чем в модели без репрессии. Особенно обращает на себя внимание реакция инфляции: если в работе [Пак, Пекарский, 2022] авторы приходят к выводу о том, что финансовая репрессия ухудшает условия для монетарного органа (волатильность инфляции растет), то здесь эффект обратный.
Однако результаты данного исследования содержательно не противоречат результатам работы [Пак, Пекарский, 2022], а являются дополнением к ним: различия в откликах и волатильности макроэкономических показателей в ответ на шок цены на нефть в двух работах объясняются рассмотрением разных механизмов финансовой репрессии. При этом в обоих случаях в полученных реакциях инфляции, на которой сфокусированы оба исследования, принципиальную важность имеет то, что рассматривается экономика, зависящая от экспорта сырьевого ресурса. Именно это предопределяет то, что инфляция подвержена влиянию двух компонент – изменению внутренних цен (цен на товары отечественных производителей) и эффекту переноса обменного курса в инфляцию. И в условиях экономики, сберегающей доходы от экспорта основного ресурса, эффект переноса обменного курса оказывает превалирующее влияние на инфляцию [Medina, Soto, 2007]. Соответственно, в ответ на отрицательный шок цены на нефть инфляция в такой модели реагирует ростом. Финансовая репрессия в таком контексте не определяет направление изменения инфляции в ответ на шок цены на нефть, но влияет на уровень волатильности.
Так, в работе [Пак, Пекарский, 2022] авторы рассмотрели финансовую репрессию в форме кредитования по сниженной процентной ставке домохозяйств. Целью применения такой политики финансовой репрессии выступало расширение бюджетного ограничения домохозяйств, т.е. применяемая правительством мера имела целью стимулирование потребительского спроса. Но поскольку процентные ставки в экономике служат основным инструментом монетарного органа в рамках политики инфляционного таргетирования, сдерживание процентной ставки фискальным органом для некоторых типов домохозяйств оборачивается занижением эффективной процентной ставки – средневзвешенной от процентной ставки ЦБ и фиксированной процентной ставки. Как следствие, фактический масштаб воздействия ЦБ на инфляцию становится ниже. Поэтому в работе [Пак, Пекарский, 2022] при отрицательном шоке цены на нефть инфляция реагирует большим ростом в модели с репрессией, нежели чем в модели без репрессии.
Текущее исследование рассматривает иной механизм финансовой репрессии – направленный на стимулирование совокупного предложения. В данном случае правительство также предоставляет некоторый объем кредитования по фиксированной процентной ставке, которая ниже рыночной, но не для домохозяйств, а для отечественных производителей промежуточных товаров и на перманентной основе. Доступ отдельных отечественных производителей промежуточных товаров к более дешевым заемным средствам фактически означает сокращение их издержек, позволяя снизить цену на промежуточные товары, что, в свою очередь, ведет к снижению цен на конечные товары. Более низкие цены отечественных конечных товаров в модели с репрессией «тянут» общую инфляцию вниз, и потому суммарный эффект на общую инфляцию от шока цены на нефть в модели с репрессией оказывается меньшим, чем в модели без репрессии.
Таким образом, для проведения ДКП центральному банку оказывается важным, через какой канал государство реализует политику финансовой репрессии. Если указанная политика осуществляется через субсидирование процентной ставки по кредитам домохозяйств, то государство тем самым изменяет предельную склонность к сбережению и предельную склонность к потреблению. Если же финансовая репрессия реализуется через субсидирование процентной ставки для некоторых производителей промежуточных товаров, то предельная склонность к потреблению и сбережению домохозяйств не изменяется. Вместо этого изменяется предельная стоимость займов для производителей. Это приводит к тому, что производители в ответ на шок цены на нефть начинают реагировать по-другому, изменяя поведение внутренних цен, что как раз влечет к снижению волатильности общей инфляции. В результате у регулятора смягчаются условия регулирования процентной ставкой при внешнем шоке. Но здесь важно обратить внимание на то, что содержательно оба механизма репрессии в виде кредитования по сниженной процентной ставке – как фирм, так и домохозяйств – в итоге оборачиваются более низкими процентными ставками в экономике по сравнению с теми, которые были бы в отсутствие репрессии.
Заключение
В текущей работе ставится вопрос, приводит ли финансовая репрессия правительства в форме льготного кредитования отдельных отечественных производителей в экономике к тем же выводам, что были получены в исследовании [Пак, Пекарский, 2022], а именно приводит ли такая форма финансовой репрессии к большей подверженности макроэкономических переменных, в частности инфляции, внешним шокам. Текущее исследование может быть дополнением к результатам работы [Пак, Пекарский, 2022]: рассматривается схожая форма финансовой репрессии – субсидирование процентной ставки по заемным средства, – но не для домохозяйств, а для внутренних производителей промежуточных товаров. Рассмотрение данного механизма стимулирования позволяет получить более полную картину влияния финансовой репрессии в форме льготного кредитования на макроэкономические показатели в малой открытой сырьевой экономике.
В работе строится стандартная DSGE-модель малой открытой экономики, зависящей от экспорта нефти. За основу была взята модель из работы [Полбин, 2013], но с инкорпорированием финансового посредника и усложнением производственного сектора в соответствии с поставленной задачей. В рамках модели производственный процесс описан следующим образом: есть отечественные производители промежуточных товаров и есть фирмы, которые производят конечные товары и используют при производстве как импортные промежуточные товары, так и отечественные. Фирмы, производящие конечные товары, делятся на две категории: фирмы второго типа используют больше отечественной промежуточной продукции, чем фирмы первого типа. Далее автор рассматривает политику финансовой репрессии как политику правительства, направленную на стимулирование внутреннего производства, а потому выражающуюся в выдаче некоторого объема кредитования по субсидируемой процентной ставке отечественным производителям промежуточных товаров, поставляющих их фирмам второго типа (которые использует больший объем отечественных промежуточных товаров).
В работе первоначально рассматривается реакция макроэкономических показателей на сам перманентный шок финансовой репрессии. Показано, что перманентный шок финансовой репрессии в отношении отдельных производителей промежуточных товаров приводит к тому, что некоторые показатели, в частности потребление и выпуск, увеличиваются и достигают нового более высокого равновесного уровня. Часть же переменных, в числе которых инфляция, вложения во внешние облигации и процентная ставка ЦБ, возвращаются к прежнему равновесному уровню. Но важно обратить внимание на сам отклик инфляции и процентной ставки: поскольку инфляция временно снижается, это приводит к реакции монетарного органа – он снижает процентную ставку. Другими словами, результаты модели демонстрируют, что финансовая репрессия в виде льготного кредитования некоторых отечественных производителей в экономике, будучи механизмом снижения издержек в модели, приводит к дезинфляции, которая, в свою очередь, вынуждает ЦБ реагировать понижением процентной ставки.
Дополнительно отмечено, что динамика перехода к равновесию после шока репрессии довольно длительная. В частности, подстройка к новому положению равновесия, несмотря на то что шок льготного кредитования случается лишь в первый момент времени, занимает более 20 кварталов. Это связано с неоптимальностью быстрой подстройки других переменных в связи с наличием издержек на изменение цен, заработных плат, инвестиций.
Далее в текущем исследовании рассмотрено влияние отрицательного шока цены на нефть в модели, где ранее произошел перманентный шок финансовой репрессии, и в модели без шока репрессии. Подробно объясняются два наиболее ярких результата от шока цены на нефть в модели: 1) при наличии репрессии реакция объема займа производителей, имеющих доступ к кредитованию по сниженной процентной ставке, в ответ на падение цены нефти отличается от реакции этого объема займа в модели без репрессии; 2) инфляция демонстрирует меньший масштаб реакции при наличии финансовой репрессии. Последнее позволяет сделать вывод, что реакция инфляции при внешнем шоке цены на нефть будет отличаться в зависимости от применяемого механизма финансовой репрессии: если финансовая репрессия в форме кредитования по сниженной процентной ставке домохозяйств, рассмотренная в работе [Пак, Пекарский, 2022], ухудшает условия для монетарного органа (волатильность инфляции в ответ на шок цены на нефть растет), то финансовая репрессия в форме льготного кредитования некоторых отечественных производителей, наоборот, снижает реакцию инфляции на шок цены на нефть.
При этом в обоих случаях в полученных реакциях инфляции, на которой сфокусированы оба исследования, принципиальную важность имеет то, что рассматривается экономика, зависящая от экспорта сырьевого ресурса. Именно это предопределяет то, что инфляция подвержена влиянию двух компонент – изменению внутренних цен (цен на товары отечественных производителей) и эффекту переноса обменного курса в инфляцию. И в условиях экономики, сберегающей доходы от экспорта основного ресурса, эффект переноса обменного курса оказывает превалирующее влияние на инфляцию [Medina, Soto, 2007]. Соответственно, в ответ на отрицательный шок цены на нефть инфляция в такой модели реагирует ростом. Финансовая репрессия в указанном контексте не определяет направление изменения инфляции в ответ на шок цены на нефть, но влияет на уровень волатильности.
С учетом полученных результатов, сделан вывод, что центральному банку в малой сырьевой экономике при проведении ДКП оказывается важным сам канал, через который государство осуществляет финансовую репрессию в форме льготного кредитования. Также в работе замечено, что содержательно оба механизма репрессии в виде кредитования по сниженной процентной ставке – как фирм, так и домохозяйств – в итоге оборачиваются более низкими процентными ставками в экономике по сравнению с теми, которые были бы в отсутствие репрессии.
Приложение.
Несмотря на то, что, как было отмечено ранее, контрциклическая дивидендная политика часто встречается в DSGE-моделях, в литературе представлена и критика такого подхода. Так, [Jermann, Quadrini, 2012; Huang-Meier, Freeman, Mazouz, 2015], ссылаясь на эмпирические данные, указывают на положительную корреляцию между темпами роста ВВП и дивидендными выплатами. В этой связи имеет смысл проверить результаты вышеприведенной модели при шоке цены на нефть, смягчив принцип = 0 в выражении (36).
Допустим, производители промежуточных товаров второго типа, которым доступны льготные кредиты (кредиты по сниженной ставке процента), могут не преследовать интересы собственников или сглаживать трансляцию интересов. Этому условию отвечает положительное значение параметра > 0 в уравнении (36), что означает, что производитель отклоняется от оперативного реагирования на нужды собственника, ориентируясь в некоторой степени на долгосрочное значение показателя (т.е. на ). Для данного случая функции отклика отдельных переменных приведены на рис. П1.
Рис. П1. Импульсные отклики отдельных переменных в ответ на отрицательный шок цены на нефть при наличии репрессии (сравнение двух условий дивидендной политики: = 0 и > 0)
Как видно из рис. П1, отклики кредитов производителей промежуточных товаров 1 и 2 при > 0 при наличии репрессии и внешнем шоке цены на нефть смотрят в одну сторону в случае смягчения условия дивидендной политики: реакция переменной «займ 2» изменила направление. Это означает, что в случае кризиса (отрицательного шока цены на нефть) и при нарушении трансляции интересов собственников производители второго типа даже при наличии доступа к кредитам по сниженной процентной ставке снижают спрос на заемные средства так же, как и производители первого типа. Однако несмотря на то, что реакция переменной «займ 2» в ответ на нефтяной шок при условии > 0 изменилась, общая инфляция реагирует аналогично тому, как реагировала в условиях = 0. Следовательно, отличие в реакции кредитов – это отдельный эффект, который не влияет на реакцию инфляции. Иными словами, общие результаты модели устойчивы к изменению условия трансляции производителями промежуточных товаров интересов собственников. Поэтому в самой работе анализ продолжен для модели с условием = 0.
[1] World Bank Group – Finance, Competitiveness, and Innovation Global Practice. (2020). Survey on Interest Rate Controls 2019 [Data set]. World Bank, Development Data Group. (https://doi.org/10.48529/Q2M7-KD29)
[2] Однако при = 0 модель может не рассчитываться, так как в уравнении (45) появляется единичный корень. Чтобы избежать этой проблемы и сделать уровень госдолга устойчивым к шокам, в модели берут малой положительной величиной [Bergholt et al., 2019].
Об авторах
Евгения Александровна Пак
ТОО «Центр исследований прикладной экономики
Автор, ответственный за переписку.
Email: zheniypak@gmail.com
аспирант Аспирантской школы по экономике Департамента теоретической экономики, Национальный исследовательский университет «Высшая школа экономики», управляющий директор научно-исследовательского центра
Казахстан, АстанаСписок литературы
- Андреев М.Ю. Эффективность бюджетного правила стран-экспортеров // Вопросы экономики. 2022. № 12. С. 72–97.
- Исаков K.C., Пекарский С.Э. Оценка воздействия финансовой репрессии на доходы бюджета // Экономическая политика. 2016. Т. 11. № 5. С. 28–49.
- Пак Е.А., Пекарский С.Э. Внешнеэкономические шоки и инфляция в условиях финансовой репрессии // Экономическая политика. 2022. Т. 17. № 6. С. 8–39.
- Пак Е.А., Пекарский С.Э. Рост государственного долга: возвращение финансовой репрессии и высокой инфляции? // Вопросы экономики. 2024. № 1. С. 33–51.
- Полбин А.В. Построение динамической стохастической модели общего равновесия для экономики с высокой зависимость от экспорта нефти // Экономический журнал ВШЭ. 2013. Т. 17. № 2. С. 347–387.
- Полбин А.В., Дробышевский С.М. Построение динамической стохастической модели общего равновесия для российской экономики. М.: Издательство Института Гайдара, 2014. № 166P.
- Шульгин А. Байесовская оценка DSGE-модели с двумя правилами монетарной политики для России // Научные доклады Лаборатории макроэкономического анализа НИУ ВШЭ. 2014. Серия WP12.
- Barro R. Rational Expectations and Macroeconomics in 1984 // The American Economic Review. Vol. 74. № 2. 1984. Papers and Proceedings of the Ninety-Sixth Annual Meeting of the American Economic Association. P. 179–182.
- Benchimol J. Money in the Production Function: A New Keynesian DSGE Perspective // Southern Economic Journal. 2015. Vol. 82. № 1. P. 152–184.
- Bergholt D., Larsen V., Seneca M. Business Cycles in an Oil Economy // Journal of International Money and Finance. 2019. Vol. 96. P. 283–303.
- Blanchard O., Kahn Ch. The Solution of Linear Difference Models under Rational Expectations // Econometrica. 1980. Vol. 48. № 5. P. 1305–1311.
- Christiano L.J., Motto R., Rostagno M. Financial Factors in Economic Fluctuations // European Central Bank Working Paper Series. 2010. № 1192.
- Fry M.J. Saving, Investment, Growth and the Cost of Financial Repression // World Development. 1980. Vol. 8. № 4. P. 317–327.
- Gerali A., Neri S., Sessa L., Signoretti F.M. Credit and Banking in a DSGE Model of the Euro Area // Journal of Money, Credit and Banking. 2010. Vol. 42. P. 107–141.
- Gertler M., Karadi P. A Model of Unconventional Monetary Policy // Journal of Monetary Eco-nomics. 2011. Vol. 58. P. 17–34.
- Goodfriend M., McCallum B. Banking and Interest Rates in Monetary Policy Analysis: A Quantitative Exploration // Journal of Monetary Economics. 2007. Vol. 54. № 5. P. 1480–1507.
- Haslag J., Koo J. Financial Repression, Financial Development and Economic Growth // Working Papers of the Federal Reserve Bank of Dallas. 1999. № 9902.
- Heng D. Impact of the New Financial Services Law in Bolivia on Financial Stability and Inclusion // IMF Working Paper. 2015. № 15267.
- Hirshleifer D., Li J., Yu J. Asset Pricing in Production Economies with Extrapolative Expectations // Journal of Monetary Economics. 2015. Vol. 76. P. 87–106.
- Kydland F., Prescott E.C. Time to Build and Aggregate Fluctuations // Econometrica. 1982. Vol. 50. № 6. P. 1345–1370.
- Linneman L., Schabert A. Fiscal Policy in the New Neoclassical Synthesis // Journal of Money Credit and Banking. 2003. № 35. P. 911–929.
- Liu H., Miao J. Growth Uncertainty, Generalized Disappointment Aversion and Production-Based Asset Pricing // Journal of Monetary Economics. 2015. Vol. 69. P. 70–89.
- Liu M.-H., Margaritis D., Tourani-Rad A. Monetary Policy and Interest Rate Rigidity in China // Applied Financial Economics. 2009. № 19. P. 647–65.
- McKinnon R.I. Money and Capital in Economic Development. Washington, D.C.: Brookings Institution, 1973.
- Medina J.P., Soto C. Copper Price, Fiscal Policy, and Business Cycle in Chile // Central Bank of Chile Working Papers. 2007. № 458.
- Prescott E., Wessel R. Money in the Production Function // Federal Reserve Bank of Minneapolis. Staff Report. 2018. № 562.
- Reinhart C.M., Sbrancia M.B. The Liquidation of Government Debt // IMF Working Paper. 2015. (https://www.imf.org/external/pubs/ft/wp/2015/wp1507.pdf)
- Rotemberg J. Sticky Prices in the United States // Journal of Political Economy. University of Chicago Press. 1982. Vol. 90. № 6. P. 1187–1211.
- Safavian M., Zia B. The Impact of Interest Rate Caps on the Financial Sector: Evidence from Commercial Banks in Kenya // World Bank, Policy Research Working Paper. 2018. (https://ideas.repec.org/p/wbk/ wbrwps/8393.html)
- Shaw E. Financial Deepening in Economic Development. New York: Oxford University Press, 1973.
- Sinai A., Houston H. Real Money Balances: An Omitted Variable from the Production Function? A Reply // The Review of Economics and Statistics. MIT Press, 1975. Vol. 57. № 2. P. 247–252.
- Smets F., Wouters R. An Estimated Dynamic Stochastic General Equilibrium Model of the Euro Area // Journal of the European Economic Association. 2003. Vol. 1(5). P. 1123–1175.
- Stiglitz J.E. Financial Markets and Development // Oxford Review of Economic Policy. 1989. Vol. 5. № 4. P. 55–68.
- Taylor L. Structuralist Macroeconomics: Applicable Models for the Third World. New York: Basic Books, 1983.
- Wu H., Xu Zh., Yan P. Financial Repression, SOE Reform and Fiscal-Monetary Policy Coordination // China Economic Quarterly International. 2022. Vol. 2. № 2. P. 151–163.
Дополнительные файлы






