Comparison of Bio-Optical Properties of Optically Complex Waters with Different Trophic Status
- Authors: Churilova T.Y.1, Efimova T.V.1, Moiseeva N.A.1, Skorokhod E.Y.1, Kalmykova D.V.1, Sutorikhin I.A.2, Kirillov V.V.2
-
Affiliations:
- A. O. Kovalevsky Institute of Biology of the Southern Seas of RAS
- Institute for Water and Environmental Problems of SB of RAS
- Issue: Vol 31, No 4 (2024)
- Pages: 507-526
- Section: Analysis of observational results and methods of calculation of ocean hydrophysical fields
- URL: https://journals.rcsi.science/1573-160X/article/view/264785
- ID: 264785
Cite item
Full Text
Abstract
Purpose. Development of regional satellite algorithms requires the information on bio-optical properties of a particular water area. The present study is aimed at comparative analysis of bio-optical properties of optically complex waters differing in their trophic status.
Methods and Results. The study combined the results of measuring the spectral bio-optical properties in the waters of the Black, Azov, Barents and Norwegian seas, the Arctic and Southern oceans (Atlantic sector) and Baikal and Teletskoye lakes. Spectral coefficients of light absorption by phytoplankton, non-algal particles and colored dissolved organic matter were measured in accordance with the International Ocean Colour Coordinating Group Protocols. The study areas included the waters with trophic levels from the oligotrophic to the eutrophic ones (the chlorophyll a concentrations in the surface layers varied from 0.066 to 24 mg×m-3) and with high heterogeneity in their bio-optical properties: the total non-water light absorption at the wavelength of 438 nm varied from 0.021 to 0.97 m-1.
Conclusions. In all the regions, a high (within an order of magnitude or higher) spatial variability in the values of light absorption coefficients by all the optically active components and their ratios was noted. This fact indicates the optical complexity of waters in each of the regions under study. The regional specificity of parameterization coefficients for light absorption by phytoplankton, non-algal particles and colored dissolved organic matter was shown. The revealed parameterization coefficients for light absorption by the optically active environment components can be used to develop regional satellite algorithms for assessing water quality and productivity indicators. Based on the empirically revealed dependencies, the following additional indicators of water quality were proposed: the euphotic zone depth and the spectral characteristics of downwelling irradiance which can be retrieved based on remote sensing data.
Full Text
Introduction
In the context of a changing climate [1] and an increasing negative impact of human activity on nature, the issues of operational monitoring of the aquatic ecosystem state and forecasting its changes under the influence of natural and anthropogenic factors are becoming increasingly relevant [2, 3]. Remote sensing approach provides an unique opportunity for multiscale recording of aquatic environment parameters and monitoring of the marine areas [4, 5]. However, to date, the complete realization of the unique potential of remote sensing approach has been limited by the capabilities of bio-optical algorithms. Their standard solutions do not provide correct assessments of water quality and productivity indicators on a global scale [6], which is associated with high heterogeneity of the World Ocean in terms of bio-optical water properties [7–9].
Case 2 waters [7], which are typically characterized by a high content of non-algal particles (NAP) and colored dissolved organic matter (CDOM), as well as the lack of correlation between the content of chlorophyll a (a marker of phytoplankton biomass – the third optically active component), are the most difficult to solve the problem of transforming a satellite signal into inherent optical properties of waters (IOPs) [8, 9]. A three-band Chl-CDM algorithm [10] has been developed for the Black Sea (Case 2 waters [11]). It ensures accurate retrieval of the IOPs of the Black Sea waters [12]. This algorithm can be adapted for other water bodies of the Russian Federation as well as for the polar regions of the World Ocean, which are of political and economic interest to our country. Empirically revealed dependences of variability of bio-optical properties of waters are required to adapt the Chl-CDM algorithm to other water areas, in particular, parameterization of light absorption by all optically active components (phytoplankton, NAP and CDOM), assessment of each component contribution to the total non-water light absorption at different wavelengths.
The bio-optical studies carried out at the modern methodological and technological level in different areas of the World Ocean (the Azov-Black Sea basin, the Arctic, Antarctica, Baikal and Teletskoye lakes) [13–19] make it possible to combine the results obtained in waters with different trophic levels (trophic status) and with different optical complexity. The trophic status of waters is determined based on productivity indicators: chlorophyll a concentration and primary production. The Sea of Azov is a highly trophic region with a high phytoplankton content, high chlorophyll a concentrations and high primary production [20]. The open Black Sea waters are classified as mesotrophic waters [21]. The coastal Black Sea waters are affected by coastal and river runoff and are therefore characterized by high heterogeneity in productivity indicators [22], which is accompanied by a change in the trophic level from mesotrophic to eutrophic. In the Atlantic sector of the Southern Ocean a unique situation was revealed – a high content of nutrients, but a low concentration of chlorophyll a [23], which allows to conclude that the waters in this area are oligotrophic. The waters of the European sector of the Arctic (the Norwegian and Barents seas, the Arctic Ocean) are mostly (namely the Arctic Ocean waters) oligotrophic [24, 25]. The waters of Lake Baikal have a unique transparency – they are oligotrophic. The highly trophic waters of Lake Teletskoye are subject to intense coastal and river runoff, which determines the ecological state of the waters and their optical properties [26].
The present research is aimed at generalizing the results obtained and at comparative analyzing of bio-optical properties of waters with different trophic status.
Methods
The data obtained in different areas of the World Ocean (Fig. 1) were summarized:
1) the Norwegian Sea, Barents Sea and Arctic Ocean – cruise No. 80 of R/V Akademik Mstislav Keldysh (August 2020);
2) the Atlantic sector of the Southern Ocean – cruise No. 79 of R/V Akademik Mstislav Keldysh (January – February 2020);
3) the Black Sea, coastal waters of Crimea – cruises No. 106 (April – May 2019) and No. 113 (June 2020) of R/V Professor Vodyanitsky, regular weekly bio-optical monitoring on the small R/V Victoria (2009 – 2022);
4) the Black Sea, deep-water region – cruise No. 122 of R/V Professor Vodyanitsky (June 2022);
5) the Sea of Azov – scientific expeditions on R/V Professor Vodyanitsky carried out in different seasons (2016 – 2020);
6) Lake Baikal – expeditions on R/V G. Yu. Vereshchagin (July 2018) and on R/V G. Titov (September 2019);
7) Lake Teletskoye – expedition on IVEP SB RAS R/V No. 209 (Yaroslavets type) (August 2022).
The water samples were collected using a cassette of GO-Flo bottles or single bottle. The chlorophyll a concentration in total with phaeopigments (TChl-a) was determined spectrophotometrically [27, 28]. The water samples were filtered through glass fiber filters (Whatman GF/F) under a vacuum (< 0.2 atm). The filters with the particles were folded, wrapped in foil and stored in dewar with liquid nitrogen until measurement in the laboratory. The pigments were extracted with a 90% acetone solution (5 ml) using a two-stage approach and a vibratory homogenizer for completeness of extraction. The tubes with acetone extracts of the pigments were stored in a refrigerator (+8 °C) for 18 h. The pigment extracts were clarified by sedimentation of the particles by centrifugation for 5 minutes (at a centrifugal acceleration of 5000 g). The optical density (OD) of the acetone extracts of pigments was measured with a Lambda 35 dual-beam spectrophotometer (PerkinElmer).
F i g. 1. Location of stations (marked with colored circles) in the study areas of the World Ocean (a); enlarged image of the study areas: b – Lake Baikal (yellow), c – Barents and Norwegian seas, and Arctic Ocean (green), d – Atlantic sector of the Southern Ocean (red), e – Lake Teletskoye (purple), f – Black (blue) and Azov (brown) seas
The spectral light absorption coefficients by in-water optically active components (OAC): phytoplankton (), non-algal particles ) and colored dissolved organic matter () were measured in accordance with modern protocols [29, 30] using a Lambda 35 dual-beam spectrophotometer (PerkinElmer) equipped with an integrating sphere. The methodology for , , and determination is described in detail in the article [17].
The parameterization of light absorption by in-water optically active components was carried out in accordance with modern approaches [31, 32]. The parameterization of phytoplankton light absorption is aimed at obtaining the relationship between and TChl-a. Chlorophyll a is the main photosynthetically active pigment, which determines its ecological significance and explains its use in the analysis of the variability, despite the fact that light absorption by phytoplankton is associated not only with chlorophyll a, but with the complex of pigments that differ in their function [33, 34]. To describe the relationship between and TChl-a, a power function was used [31]:
. (1)
The coefficients A(λ) and B(λ) were determined by the method of least squares using the logarithmic form of equation (1).
The spectra of the NAP and CDOM light absorption coefficients have an exponential form [35]. The NAP and CDOM light absorption parameterization are aimed at determining the parameters of the equation that describes the shapes of the and spectra [32]:
, (2)
where i denotes NAP and CDOM; wavelength λr is the reference wavelength (in our studies we used 438 nm); Si denotes the spectral slope SNAP and SCDOM.
The SNAP was determined in the 400–700 nm wavelength range. The SCDOM value varies depending on the selected wavelength range [36]. The SCDOM was determined in the 350–500 nm wavelength range, which is used in most studies [32, 37] and allows for a comparative assessment of the obtained values using literature data.
The contribution of phytoplankton, NAP and CDOM to the total non-water light absorption by suspended and dissolved organic matter (atot-w), was estimated at particular wavelengths selected based on their significance: 1) at 438 nm, which is physiologically significant for phytoplankton due to the fact that at this wavelength the phytoplankton light absorption is maximum within the visible light spectrum (400–700 nm); 2) at 490 nm, which corresponds to the spectral band of optical scanners (Sea-WiFS, MERIS, MODIS, VIIRS, OLCI) and is used in the developed three-band Chl-CDM algorithm for assessing chlorophyll a concentration based on remote sensing data [10].
The downwelling irradiance spectra Ed(λ) were measured with the 1 m step within the euphotic zone using a RAMSES submersible spectroradiometer (TrioOS, Germany) or were modeled [38] using the measured spectral bio-optical properties as input parameters [38]. The values of photosynthetically available radiation (PAR) were obtained by integrating Ed(λ) within the visible light spectrum (400–700 nm). The euphotic zone (Zeu) was estimated by the penetration depth of 1% of the PAR value incident on the sea surface. The first optical depth (1opt) was determined in accordance with the formula [35]:
The wavelength of maximum of the Ed(λ) spectrum (λmax) was used as a feature of spectral properties of the downwelling irradiance.
Results and discussion
The , and measured in the 1opt layer are shown in Figs. 2–4. High (within an order of magnitude) variability of all the parameters studied was noted in the Sea of Azov. The chlorophyll a concentration (TChl-a) in the surface layer varied during the year in the range from 1.7 to 22 mg×m−3. A relationship between the and TChl-a was revealed at particular wavelengths (Table 1), described by a power function (equation (1)). Seasonal differences between the A(λ) coefficient values (equation (1)) have been revealed, most pronounced in the blue range of the spectrum (almost two-fold differences) [19]. It is explained by a change in the degree of pigment packing [39] due to phytoplankton adaptation to the intra-annual variability in environmental conditions, which leads to a change in the intracellular composition and concentration of pigments [40].
The analysis of variability of the light absorption coefficient NAP () and CDOM () showed high (within an order of magnitude) variability (0.036–0.58 м−1) and (0.083–0.54 m−1). It was found that the light absorption of CDOM did not correlate with TChl-a. The SNAP and SCDOM varied in the 0.0080 – 0.014 nm−1 (0.010 ± 0.0015 nm−1) and 0.014 – 0.024 nm−1 (0.018 ± 0.0024 nm−1) ranges (Table 2), respectively. The relation between SCDOM and , described by the equation (Table 3), was revealed. A similar dependence was obtained for the total light absorption coefficient of NAP and CDOM () (Table 3). The value of varied from 0.31 to 0.68 and averaged 0.61 ± 0.45 m−1 (Table 2). The relative contribution of phytoplankton to varied from 7% in spring and autumn to 51% in winter (January) and reached 70% in summer (July). The contribution of CDOM and NAP to varied from 13 to 76% and from 10 to 52%, respectively.
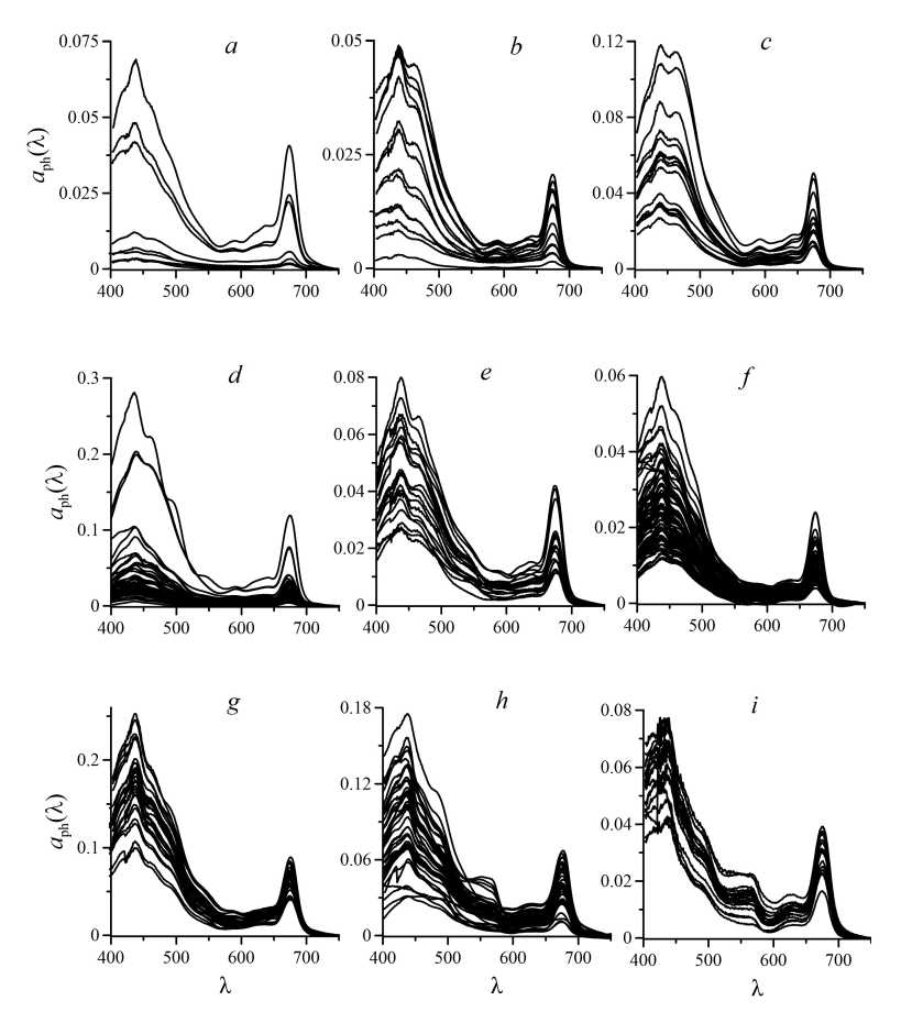
F i g. 2. Spectra of light absorption coefficients of phytoplankton (aph(λ)) in the surface layers of the Arctic Ocean (a), the Barents (b) and Norwegian (c) seas, Atlantic sector of the Southern Ocean (d), the Black Sea in winter (e) and summer (f), the Sea of Azov (g), and the Baikal (h) and Teletskoye (i) lakes
F i g. 3. Spectra of light absorption coefficients of non-algal particles (aNAP(λ)) in the surface layers of the Arctic Ocean (a), the Barents (b) and Norwegian (c) seas, Atlantic sector of the Southern Ocean (d), the Black Sea in winter (e) and summer (f), the Sea of Azov (g), and the Baikal (h) and Teletskoye (i) lakes
F i g. 4. Spectra of light absorption coefficients of colored dissolved organic matter (aCDOM(λ)) in the surface layers of the Arctic Ocean (a), the Barents (b) and Norwegian (c) seas, the Atlantic sector of the Southern Ocean (d), the Black Sea in winter (e) and summer (f), the Sea of Azov (g), and Baikal (h) and Teletskoye (i) lakes
The coastal waters in Sevastopol Bay differed in trophic status. A high range of TChl-a variability (from 0.19 to 5.6 mg m−3) was noted in the surface layer (1opt). The and values also varied by an order of magnitude. Unlike suspended matter, CDOM showed lower variability of light absorption coefficients (Table 2). No relationship was observed between and TChl-a. It was found that the relationship between TChl-a and reflects the common dependence in a wide range of water trophicity, namely the A(λ) and B(λ) coefficients in equation (1) are the same [13]. At the same time, seasonal differences were revealed between the values of coefficient A in equation (1) for at particular wavelengths (Table 1), which emphasizes the prevailing influence of environmental conditions (primarily radiance) on the values of the TChl-a specific light absorption coefficients of phytoplankton.
T a b l e 1
Coefficients of the power-law dependence of the light absorption coefficient by phytoplankton at 490 nm (aph(490), m−1) upon the chlorophyll a concentration in total with phaeopigments (TChl‑a, mg×m−3)
Region | A(490), m2×mg−1 | B(490) | r2 | n |
Southern Ocean | 0.021 | 0.93 | 0.83 | 126 |
Norwegian Sea | 0.033 | 0.99 | 0.97 | 41 |
Barents Sea | ||||
Arctic Ocean | ||||
Black Sea * | 0.031 | 0.79 | 0.78 | 79 |
Black Sea ** | 0.048 | 0.78 | 0.66 | 39 |
Sea of Azov ** | 0.050 | 0.59 | 0.74 | 39 |
Sea of Azov * | 0.016 | 0.95 | 0.53 | 7 |
Lake Baikal | 0.039 | 0.62 | 0.83 | 58 |
Lake Teletskoye | 0.018 | 0.74 | 0.54 | 39 |
* Measurements were taken during a winter season.
** Measurements were taken during a summer season.
N o t e: r2 is the determination coefficient; n is a number of measurements.
T a b l e 2
Mean value of bio-optical water properties ± standard deviation
Region | TChl-a | aNAP(490) | aNAP(438) | SNAP | aCDOM(490) | SCDOM | aCDM(490) | SCDM | atot-w(438) |
ap(438) | |||||||||
Southern Ocean | 0.97 ±0.47 | 0.0071 ±0.0042 | 024 ±0.12 | 0.011 ±0.004 | 0.02/±0.023 | 0.014 ±0.008 | 0.034 ± 0.023 | 0.012 ± 0.016 | 0.11 ± 0.076 |
Norwegian Sea | 1.0 ±0.44 | 0.011± 0.005 | 0.27 ±0.13 | 0.011 ±0.003 | 0.028 ± 0.022 | 0.017 ±0.005 | 0.039 ± 0.024 | 0.016 ± 0.004 | 0.12 ± 0.079 |
Barents Sea | 0.41 ±0.26 | 0.0073 ± 0.0046 | 0.34 ±0.12 | 0.011 ±0.003 | 0.030 ± 0.032 | 0.017 ±0.005 | 0.037 ± 0.035 | 0.016 ±0.004 | 0.12 ±0.10 |
Arctic Ocean | 0.43 ± 0.54 | 0.0037 ±0.0019 | 0.39 ±0.17 | 0.011 ±0.003 | 0.011 ±0.010 | 0.017 ±0.005 | 0.015 ±0.010 | 0.016 ± 0.004 | 0.063 ± 0.039 |
Black Sea, coastal region* | 1.2 ±0.7 | 0.019 ±0.018 | 0.33 ±0.15 | 0.011 ±0.002 | 0.038 ±0.018 | 0.019 ±0.003 | 0.054 ± 0.022 | 0.017 ±0.002 | 0.27 ±0.12 |
Black Sea, coastal region** | 0.50 ± 0.20 | 0.017 ±0.017 | 0.34 ±0.11 | 0.011 ±0.002 | 0.035 ±0.019 | 0.019 ±0.003 | 0.049 ± 0.025 | 0.017 ±0.002 | 0.30 ±0.16 |
Sea of Azov | 6.0 ± 2.3 | 0.094 ± 0.079 | 0.41 ±0.20 | 0.011 ±0.0014 | 0.097 ±0.031 | 0.019 ± 0.0024 | 0.19 ±0.15 | 0.015 ± 0.0026 | 0.61 ± 0.45 |
Lake Baikal | 2.2 ± 1.2 | 0.023 ±0.021 | 0.23 ±0.11 | 0.01 ±0.0017 | 0.059 ±0.038 | 0.018 ± 0.0028 | 0.081 ±0.056 | 0.016 ±0.0019 | 0.28 ±0.19 |
Lake Teletskoye | 1.7 ±0.37 | 0.038 ± 0.012 | 0.54 ±0.10 | 0.009 ±0.0006 | 0.24 ± 0.034 | 0.018 ± 0.0007 | 0.28 ± 0.044 | 0.017 ±0.0008 | 0.72 ± 0.09 |
* Measurements were taken during a winter season
** Measurements were taken during a summer season.
Note: TChl-a is the chlorophyll a concentration in total with pheopigments, mg×m−3; аNAP(490) is the light absorption coefficient by non-algal particles (m-1), aCDOM(490) is the light absorption coefficient by colored dissolved organic matter (m-1), and aCDM(490) is the light absorption coefficient by colored detrital matter (m-1) at the wavelength 490 nm: atot-w{438) is the total non-water light absorption at 438 nm (m-1); аNAP(438)/ар(438) is the ratio of aNAP(438) to the particulate absorption coefficient at the wavelength 438 nm (ap(438)); Snap is the spectral slope of light absorption by non-algal particles (nm-1), .Scdom is the spectral slope of light absorption by colored detrital matter (nm-1), and Scdm is the spectral slope of light absorption by colored detrital matter (nm-1) for the upper mixed layer.
The SNAP value averaged 0.011 ± 0.002 nm−1 (Table 2), which is consistent with the results obtained in other areas of the World Ocean [32, 37]. The SCDOM decreased from 0.019 to 0.015 nm−1 when water trophicity increased, which reflected a change in the chemical composition of CDOM, namely an increase in the proportion of high-molecular weight compounds [36] that was probably due to the influence of river runoff (the Chernaya River runoff) as well as a lower degree of CDOM photodegradation in turbid trophic waters [35]. A relationship between SCDOM (SCDM) and () was revealed (Table 3). The value varied in winter from 0.11 to 0.82 m−1 (on average 0.27 ± 0.12 m−1) and in summer from 0.069 to 0.90 m−1 (on average 0.30 ± 0.16 m−1) (Table 2). Due to the lack of co-variability of the CDOM absorption and TChl-a, the assessment of the light absorption budget at the 438 nm wavelength showed significant variability in the CDOM contribution and the dominance of phytoplankton in the most trophic waters.
Studies in the surface layer of the Norwegian and Barents seas as well as the Arctic Ocean [14] showed high variability of TChl-a (from 0.058 to 1.5 mg×m−3) and light absorption coefficients by all in-water optically active components: (0.0014 – 0.12 m−1), (0.00031 – 0.068 m−1) and (0.0074 – 0.20 m−1) (Table 2). Light absorption by NAP correlated with light absorption by phytoplankton and with TChl-a. The NAP contribution to the particulate light absorption at the 438 nm wavelength in the Norwegian and Barents seas and the Arctic Ocean averaged 27, 34 and 39%, respectively (Table 2). No correlation between the light absorption by CDOM and TChl-a was observed.
T a b l e 3
Coefficients of power-law dependence
Region | ACDOM | ВCDOM | r2 | n | ACDM | ВCDM | r2 | n |
Southern Ocean | 0.0045 | −0.27 | 0.60 | 126 | 0.0034 | −0.380 | 0.52 | 126 |
Norwegian Sea * | 0.0056 | −0.28 | 0.81 | 80 | 0.0052 | −0.320 | 0.73 | 80 |
Barents Sea * | ||||||||
Arctic Ocean * | ||||||||
Black Sea ** | 0.0065 | −0.29 | 0.77 | 138 | 0.009 | −0.200 | 0.63 | 138 |
Sea of Azov ** | 0.012 | −0.19 | 0.41 | 118 | 0.013 | −0.060 | 0.32 | 118 |
Lake Baikal | 0.011 | −0.15 | 0.39 | 82 | 0.012 | −0.091 | 0.31 | 82 |
*Common dependencies for the Norwegian and Barents seas, and the Arctic Ocean.
** Common dependencies for all the seasons.
N o t e: 1. For Lake Teletskoye no dependence was found.
- ACDOM and ВCDOM are the coefficients of power-law dependence of the spectral slope of light absorption by colored dissolved organic matter (SCDOM, nm−1) upon the light absorption coefficient by colored dissolved organic matter (aCDOM(490), m−1); ACDM and ВCDM are the coefficients of power-law dependence of the spectral slope of light absorption by colored detrital matter (SCDM, nm-1) upon the light absorption coefficient (aCDM(490), m-1); r2 is the determination coefficient; n is a number of measurements.
For the Norwegian and Barents seas, as well as for the Arctic Ocean, a relationship between and TChl-a was revealed, which was described by unified equations for particular wavelengths (Table 1) without statistically significant differences between water areas [14]. As a result of parameterization (equation (2)) the SNAP and SCDOM values were obtained. The values of these parameters were on average 0.011 ± 0.003 and 0.017 ± 0.004 nm−1, respectively (Table 2). The SCDOM values (0.010–0.025 nm−1) increased with decreasing , which was described by a power equation with the same coefficients for the Norwegian and Barents seas and the Arctic Ocean (Table 3). A similar relationship was established for SCDM и (Table 3). The value in the surface layer of the Norwegian and Barents seas and the Arctic Ocean varied from 0.067 to 0.25 m−1 (0.12 ± 0.079 m−1), from 0.025 to 0.24 m−1 (0.12 ± 0.10 m−1) and from 0.021 to 0.15 m−1 (0.063 ± 0.039 m−1) (Table 2), respectively. An absorption budget assessment at the 438 and 490 nm wavelengths showed that CDOM dominated in the light absorption over most of the studied water area. The share of CDOM in the total non-water light absorption at the 438 nm wavelength varied from 80 to 20%. Such a wide range of relative light absorption by CDOM is associated with increase in CDOM share in absorption due to the river runoff [41–43]. Phytoplankton biomass increase, if TChl-a is considered as a marker of phytoplankton biomass, led to the dominance (65%) of phytoplankton in light absorption, and, consequently, to a decrease in the CDOM share in the total non-water light absorption.
The research in the Southern Ocean showed that bio-optical properties of the surface waters (1opt layer) changed by an order of magnitude or more: TChl‑a – 0.20–4.4 mg×m−3, – 0.0051–0.29 m−1, – 0.0038–0.022 m−1, – 0.0054–0.19 m−1. There was a relationship between and TChl‑a (Table 1). A correlation between and TChl-a and no connection between and TChl-a was noted. As a result of parameterization of light absorption by non-algal optical components, spectral slopes were obtained for and . Their mean values were SNAP = 0.010 ± 0.0021 nm−1 and SCDOM = 0.013 ± 0.0059 nm−1 (Table 2). A negative (inverse) correlation between () and SCDOM (SCDM), which is described by a power law (Table 3), was revealed. The value in the surface layer of the Southern Ocean varied from 0.039 to 0.37 m−1 (0.11 ± 0.076 m−1) (Table 2). An assessment of the light absorption budget at the 438 nm wavelength showed that under conditions of high variability of CDOM light absorption uncorrelated with TChl-a, a shift in the dominating component occurs: CDOM dominates (about 60%) in light absorption in waters with low
TChl-a values, phytoplankton dominates (about 80%) in waters with high TChl-a values. The waters of the Atlantic sector of the Southern Ocean are optically contrasting in the content of both phytoplankton and CDOM [17].
Research on Lake Baikal has shown high (within an order of magnitude or more) variability of all bio-optical properties studied [16, 18]. TChl-a in the surface layer (1opt layer) varied within 0.58–5.3 mg×m−3. A connection between and TChl-a at separate wavelengths, which is described by a power law (Table 1), was revealed. The and values at the 438 nm wavelength varied within 0.0024–0.099 m−1 and 0.035–0.31 m−1. A correlation between and TChl-a was found. No connection between CDOM light absorption and TChl-a was observed. The SNAP parameter was 0.010 ± 0.0017 nm−1 in average (Table 2). The SCDOM values varied from 0.011 to 0.026 nm−1. A negative correlation between () and SCDOM (SCDM), which was described by a power equation (Table 3), was revealed. The values in the surface layer varied within 0.12–0.57 m−1 and were 0.28 ± 0.19 m−1 in average (Table 2). Due to the high variability of all bio-optical parameters and the absence of correlation between CDOM light absorption coefficient and TChl-a, a change in the component dominating in light absorption was noted. In some areas of the lake, CDOM dominated in the light field formation, its contribution to the total non-water light absorption reached ~ 85%. In the lake areas where a high TChl-a content (over 1.5 mg×m−3) was noted, phytoplankton dominated and its contribution to the total non-water light absorption reached ~ 80%.
The bio-optical studies on Lake Teletskoye revealed high contents of phytoplankton, NAP and CDOM. TChl-a values during the study period varied from 1.1 to 2.3 mg×m−3. Relationship between the and TChl-a were revealed at particular wavelengths (Table 1). The and coefficients varied from 0.029 to 0.14 m−1 and from 0.46 to 0.76 m−1. The mean values of light absorption coefficients of NAP and CDOM at the 490 nm wavelength are given in Table 2. The atot-w(438) varied from 0.56 to 0.97 m−1, averaging 0.72 ± 0.02 m−1 (Table 2). For light absorption CDOM and CDM, relationships between the spectral slope (SCDOM and SCDM) and the light absorption coefficients at the 490 nm wavelength (Table 3) were revealed. On average, in the Lake Teletskoye waters, the / ratio was 0.54 ± 0.10, which significantly exceeded the values of this ratio obtained in other water areas under consideration (Table 2).
Based on the combined dataset, a comparative analysis and systematization of the areas under consideration was carried out for TChl-a and in the 1opt layer (Table 2). It was found that the TChl-a values varied by several orders of magnitude (0.066–24 mg×m−3), while the values varied by more than an order of magnitude (0.021–0.97 m−1). The average TChl-a values varied by an order of magnitude from 0.41 ± 0.26 mg×m−3 to 6.0 ± 2.3 mg×m−3 in the Barents Sea – the Arctic Ocean – the Crimean coastal waters – the Southern Ocean – the Norwegian Sea – Lake Teletskoye – Lake Baikal – the Sea of Azov series. The coefficient on average also changed by an order of magnitude from 0.063 ± 0.039 m−1 to 0.90 ± 0.21 m−1 in the Arctic Ocean – the Southern Ocean – the Barents Sea – the Norwegian Sea – the Crimean coastal waters – Lake Baikal – the Sea of Azov – Lake Teletskoye series (Table 2). Based on the average TChl-a values (Table 2), it can be concluded that the most trophic region among those studied is the Sea of Azov. In all regions, the CDM (= NAP + CDOM) prevailed in light absorption. At the same time, in Lake Teletskoye, CDM dominated in the total light absorption to a greater extent than was observed in the most trophic waters – in the Sea of Azov. As a result, the maximum values were noted in Lake Teletskoye. In fact, this is due to the distinctive feature of this water body, which consists in the predominance of NAP in the particulate light absorption (), which is due to the influence of abundant coastal runoff on the bio-optical properties of the lake. This feature of Lake Teletskoye distinguishes it from other studied water areas, where phytoplankton dominates in the particulate light absorption.
For all the studied water areas, the absence of co-variability of the and was revealed, and, consequently, the absence of co-variability of TChl-a and .
The generalized results obtained in waters (deep-water and coastal areas of the Black Sea, the Sea of Azov and Lake Teletskoye) with values of varying by more than an order of magnitude were used to obtain relationships:
1) between Zeu and in the surface layer of the sea. Since Zeu is associated with the diffuse attenuation coefficient of photosynthetically available radiation Kd () [35], Kd can be estimated by ;
2) between λmax near the bottom of the euphotic zone and in the surface layer of the sea [44]:
;
.
Taking into account that represents the sum of the coefficients + , which are retrieved using the regional Chl-CDM algorithm, the revealed relationships allow increasing the number of parameters (by adding Zeu, Kd and λmax), retrieved based on satellite data using the regional Chl-CDM algorithm.
The revealed regionally specific coefficients of light absorption parameterization by all in water optically active components (Tables 1–3) enable to modify the regional three-band Chl-CDM algorithm [10] and expand this algorithm application geography. The obtained regional coefficients of the relationship between TChl-a and at the 490 nm wavelength (Table 1) will allow to correct TChl-a determination based on the modelled . The regionally revealed coefficients of the relationship between TChl-a and are different due to the packing effect, i.e. the influence of the packing of pigments in cells on the ability of these cells to absorb light. Consequently, the relationship between TChl-a and takes into account (indirectly) the adaptive changes in phytoplankton at the cell and community levels in response to changes in environmental factors of a particular water area. The revealed regional relationships between and the SCDM (Table 3) will allow correct retrieval of . The regionally specific coefficients of this relationship will enable (indirectly) to take into account the relationship between NAP and CDOM, as well as the chemical structure of CDOM [36], which determines the spectral slope of in a particular water area. The regionally specific coefficients of light absorption parameterization by in-water optically active components (Tables 1–3) will permit to adapt Chl‑CDM algorithm [11] to the water areas under consideration.
Conclusions
Regional relationships between and TChl-a will make it possible to determine TChl-a correctly based on the value of , retrieved using regional algorithms (including the three-channel Chl-CDM algorithm), since the parameterization of the relationship between and TChl-a takes into account (indirectly) the influence of environmental conditions on the intracellular pigment composition and concentration, as well as on the size-species structure of phytoplankton. The revealed regionally specific relationships between () and SCDM are used to retrieve the parameter. The regionally specific parameterization coefficients of NAP and CDOM light absorption make it possible (indirectly) to take into account the relationship between NAP and CDOM, as well as the chemical structure of CDOM, which determines the spectral slope of CDOM light absorption in a particular region.
Based on empirically revealed dependencies, additional indicators of the water quality (the euphotic zone and the spectral properties of light in the sea), which can be assessed using satellite data, were proposed.
The development of regional algorithms based on empirically revealed dependencies opens up the perspective of operational monitoring of the pelagic ecosystem state based on a set of water quality and productivity indicators. This will allow to track the spread of organic dissolved matter and suspended matter in coastal waters affected by industrial wastewater and sewage and also to assess the wastewater impact on water transparency which is crucial for the functioning of the primary producers and, therefore, for pelagic ecosystem.
About the authors
Tatyana Ya. Churilova
A. O. Kovalevsky Institute of Biology of the Southern Seas of RAS
Author for correspondence.
Email: tanya.churilova@ibss-ras.ru
ORCID iD: 0000-0002-0045-7284
Leading Researcher, Head of the Laboratory of Photosynthesis and Marine Biooptics, CSc. (Biology)
Russian Federation, SevastopolTatyana V. Efimova
A. O. Kovalevsky Institute of Biology of the Southern Seas of RAS
Email: tefimova@ibss-ras.ru
ORCID iD: 0000-0003-3908-4160
Senior Researcher the Laboratory of Photosynthesis and Marine Biooptics, CSc. (Biology)
Russian Federation, SevastopolNatalya A. Moiseeva
A. O. Kovalevsky Institute of Biology of the Southern Seas of RAS
Email: moiseeva@ibss-ras.ru
ORCID iD: 0000-0003-1356-7981
Researcher the Laboratory of Photosynthesis and Marine Biooptics
Russian Federation, SevastopolElena Yu. Skorokhod
A. O. Kovalevsky Institute of Biology of the Southern Seas of RAS
Email: elenaskorokhod@ibss-ras.ru
ORCID iD: 0000-0002-3057-3964
Researcher the Laboratory of Photosynthesis and Marine Biooptics
Russian Federation, SevastopolDarya V. Kalmykova
A. O. Kovalevsky Institute of Biology of the Southern Seas of RAS
Email: daria-k.kalmykova@ibss-ras.ru
Junior Researcher the Laboratory of Photosynthesis and Marine Biooptics
Russian Federation, SevastopolIgor A. Sutorikhin
Institute for Water and Environmental Problems of SB of RAS
Email: sia@iwep.ru
ORCID iD: 0000-0002-7037-4812
Chief Researcher of Hydrology and Geoinformatics Laboratory, DSc. (Phys.-Math.), Professor
Russian Federation, BarnaulVladimir V. Kirillov
Institute for Water and Environmental Problems of SB of RAS
Email: vkirillov@iwep.ru
ORCID iD: 0000-0003-1080-737X
Head of Aquatic Ecology Laboratory, Assistant Professor
Russian Federation, BarnaulReferences
- Doney, S.C., Ruckelshaus, M., Duffy, E.J., Barry, J.P., Chan, F., English, C.A., Galindo, H.M., Grebmeier, J.M., Hollowed, A.B. [et al.], 2012. Climate Change Impacts on Marine Ecosystems. Annual Review of Marine Science, 4, pp. 11-37. https://doi.org/10.1146/annurev-marine-041911-111611
- Groom, S., Sathyendranath, S., Ban, Y., Bernard, S., Brewin, R., Brotas, V., Brockmann, C., Chauhan, P., Choi, J.-K. [et al.], 2019. Satellite Ocean Colour: Current Status and Future Perspective. Frontiers in Marine Science, 6, 485. https://doi.org/10.3389/fmars.2019.00485
- Sathyendranath, S., Brewin, R.J.W., Brockmann, C., Brotas, V., Calton, B., Chuprin, A., Cipollini, P., Couto, A.B., Dingle, J. [et al.], 2019. An Ocean-Colour Time Series for Use in Climate Studies: The Experience of the Ocean-Colour Climate Change Initiative (OC-CCI). Sensors, 19(19), 4285. https://doi.org/10.3390/s19194285
- Adjovu, G.E., Stephen, H., James, D. and Ahmad, S., 2023. Overview of the Application of Remote Sensing in Effective Monitoring of Water Quality Parameters. Remote Sensing, 15(7), 1938. https://doi.org/10.3390/ rs15071938
- Mobley, C.D., ed., 2022. The Oceanic Optics Book. Dartmouth: International Ocean Colour Coordinating Group (IOCCG), 924 p. https://doi.org/10.25607/OBP-1710
- Mélin, F., ed., 2019. Uncertainties in Ocean Colour Remote Sensing. OCCG Report Series; No. 18. Dartmouth: International Ocean-Colour Coordinating Group (IOCCG), 170 p.
- Morel, A. and Prieur, L., 1977. Analysis of Variations in Ocean Color. Limnology and Oceanography, 22(4), pp. 709-722. https://doi.org/10.4319/lo.1977.22.4.0709
- Mobley, C.D., Stramski, D., Bissett, W.P. and Boss, E., 2004. Optical Modeling of Ocean Waters: Is the Case 1 - Case 2 Classification Still Useful? Oceanography, 17(2), pp. 60-68. https://doi.org/10.5670/oceanog.2004.48
- Mélin, F. and Vantrepotte, V., 2015. How Optically Diverse Is the Coastal Ocean? Remote Sensing of Environment, 160, pp. 235-251. https://doi.org/10.1016/j.rse.2015.01.023
- Suslin, V. and Churilova, T., 2016. A Regional Algorithm for Separating Light Absorption by Chlorophyll-a and Coloured Detrital Matter in the Black Sea, Using 480–560 nm Bands from Ocean Colour Scanners. International Journal of Remote Sensing, 37(18), pp. 4380-4400. https://doi.org/10.1080/01431161.2016.1211350
- Kopelevich, O.V., Burenkov, V.I., Ershova, S.V., Sheberstov, S.V. and Evdoshenko, M.A., 2004. Application of SeaWiFS Data for Studying Variability of Bio-Optical Characteristics in the Barents, Black and Caspian Seas. Deep Sea Research Part II: Topical Studies in Oceanography, 51(10-11), pp. 1063-1091. https://doi.org/10.1016/s0967-0645(04)00101-8
- Suslin, V.V., Churilova, T.Ya., Lee, M., Moncheva, S. and Finenko, Z.Z., 2018. Comparison of the Black Sea Chlorophyll-A Algorithms for SeaWiFS and MODIS Instruments. Fundamental and Applied Hydrophysics, 11(3), pp. 64-72. https://doi.org/10.7868/S2073667318030085 (in Russian).
- Efimova, T., Churilova, T., Moiseeva, N., Zemlianskaia, E., Krivenko, O. and Sakhon, E., 2018. Dynamics in Pigment Concentration and Light Absorption by Phytoplankton, Non-Algal Particles and Colored Dissolved Organic Matter in the Black Sea Coastal Waters (Near Sevastopol). In: SPIE, 2018. Proceedings of SPIE. 24th International Symposium on Atmospheric and Ocean Optics: Atmospheric Physics. Tomsk: SPIE. Vol. 10833, 108336C. https://doi.org/10.1117/12.2504657
- Efimova, T., Churilova, T., Skorokhod, E., Suslin, V., Buchelnikov, A., Glukhovets, D., Khrapko, A. and Moiseeva, N., 2023. Light Absorption by Optically Active Components in the Arctic Region (August 2020) and the Possibility of Application to Satellite Products for Water Quality Assessment. Remote Sensing, 15(17), 4346. https://doi.org/10.3390/rs15174346
- Moiseeva, N.A., Churilova, T.Ya., Efimova, T.V., Sutorikhin, I.A., Kirillov, V.V. and Skorokhod, E.Yu., 2023. Spectral Bio-Optical Properties of Lake Teletskoye in Summer. In: SPIE, 2023. Proceedings of SPIE. 29th International Symposium on Atmospheric and Ocean Optics: Atmospheric Physics. Moscow: SPIE. Vol. 12780, 1278049. https://doi.org/10.1117/12.2690958
- Churilova, T.Ya., Moiseeva, N.A., Latushkin, A.A., Suslin, V.V., Usoltseva, M.V., Zakharova, Yu.R., Titova, L.A., Gnatovsky, R.Yu. and Blinov, V.V., 2018. Preliminary Results of Bio-Optical Investigations at Lake Baikal. Limnology and Freshwater Biology, (1), pp. 58-61. https://doi.org/10.31951/2658-3518-2018-a-1-58
- Churilova, T., Moiseeva, N., Skorokhod, E., Efimova, T., Buchelnikov, A., Artemiev, V. and Salyuk, P., 2023. Parameterization of Light Absorption of Phytoplankton, Non-Algal Particles and Coloured Dissolved Organic Matter in the Atlantic Region of the Southern Ocean (Austral Summer of 2020). Remote Sensing, 15(3), 634. https://doi.org/10.3390/rs15030634
- Churilova, T., Moiseeva, N., Efimova, T., Skorokhod, E., Sorokovikova, E., Belykh, O., Usoltseva, M., Blinov, V., Makarov, M. [et al.], 2020. Study of Absorption Characteristics of Phytoplankton, Particles and Colored Dissolved Organic Matter in Lake Baikal (July 2018 and September 2019). Limnology and Freshwater Biology, (2), pp. 387-390. https://doi.org/10.31951/2658-3518-2020-A-2-387
- Churilova, T.Ya., Efimova, T.V., Moiseeva, N.A. and Skorokhod, E.Yu., 2022. Spectral Light Absorption Coefficient of Particles and Colored Dissolved Organic Matter in the Sea of Azov. Fundamental and Applied Hydrophysics, 15(3), pp. 73-83. https://doi.org/10.59887/fpg/ex1p-9vtp-phu8 (in Russian).
- Matishov, G.G., Povazhnyi, V.V., Berdnikov, S.V., Moses, W.J. and Gitelson, A.A., 2010. Satellite Estimation of Chlorophyll-a Concentration and Phytoplankton Primary Production in the Sea of Azov. Doklady Biological Sciences, 432(1), pp. 216-219. https://doi.org/10.1134/S0012496610030142
- Yunev, O.A., Vedernikov, V.I., Basturk, O., Yilmaz, A., Kideys, A.E., Moncheva, S. and Konovalov, S.K., 2002. Long-Term Variations of Surface Chlorophyll a and Primary Production in the Open Black Sea. Marine Ecology Progress Series, 230, pp. 11-28. https://doi.org/10.3354/meps230011
- Stelmakh, L.V., 1992. Intensity of Photosynthesis in Two Size Fractions of Phytoplankton in Eutrophic Waters of the Sevastopol Bay. Hydrobiological Journal, 28(3), pp. 14-20 (in Russian).
- Pitchford, J.W. and Brindley, J., 1999. Iron Limitation, Grazing Pressure and Oceanic High Nutrient-Low Chlorophyll (HNLC) Regions. Journal of Plankton Research, 21(3), pp. 525-547. https://doi.org/10.1093/plankt/21.3.525
- Le Fouest, V., Zakardjian, B., Xie, H., Raimbault, P., Joux, F. and Babin, M., 2013. Modeling Plankton Ecosystem Functioning and Nitrogen Fluxes in the Oligotrophic Waters of the Beaufort Sea, Arctic Ocean: A Focus on Light-Driven Processes. Biogeosciences, 10(7), pp. 4785-4800. https://doi.org/10.5194/bg-10-4785-2013
- Ardyna, M., Babin, M., Gosselin, M., Devred, E., Bélanger, S., Matsuoka, A. and Tremblay, J. É., 2013. Parameterization of Vertical Chlorophyll a in the Arctic Ocean: Impact of the Subsurface Chlorophyll Maximum on Regional, Seasonal, and Annual Primary Production Estimates. Biogeosciences, 10(6), pp. 4383-4404. https://doi.org/10.5194/bg-10-4383-2013
- Kuderina, Т., Suslova, S., Grabenko, Е., Kuhta, А. and Medvedev, А., 2019. The Ecological Situation of Teletskoe Lake to Environmental Changes. Field Studies in the Altaisky Biosphere Reserve, (1), pp. 86-91 (in Russian).
- Jeffrey, S.W. and Humphrey, G.F., 1975. New Spectrophotometric Equations for Determining Chlorophylls a, b, c1 and c2 in Higher Plants, Algae and Natural Phytoplankton. Biochemie und Physiologie der Pflanzen, 167(2), pp. 191-194. https://doi.org/10.1016/S0015-3796(17)30778-3
- Lorenzen, C.J., 1967. Determination of Chlorophyll and Pheo-Pigments: Spectrophotometric Equations. Limnology and Оceanography, 12(2), pp. 343-346. https://doi.org/10.4319/lo.1967.12.2.0343
- Neeley, A.R. and Mannino, A., eds., 2018. Inherent Optical Property Measurements and Protocols: Absorption Coefficient. Dartmouth, NS, Canada, 83 p. (IOCCG Protocol Series Ocean Optics & Biogeochemistry Protocols for Satellite Ocean Colour Sensor Validation; vol. 1). https://doi.org/10.25607/OBP-119
- Mannino, A., Novak, M.G., Nelson, N.B., Belz, M., Berthon, J.-F., Blough, N.V., Boss, E., Bricaud, A., Chaves, J. [et al.], 2019. Measurement Protocol of Absorption by Chromophoric Dissolved Organic Matter (CDOM) and Other Dissolved Materials. Dartmouth, Canada: IOCCG, 77 p. (Inherent Optical Property Measurements and Protocols: Absorption Coefficient). Available at: https://ioccg.org/wp-content/uploads/2019/10/cdom_abs_protocol_public_draft-19oct-2019-sm.pdf [Accessed: 30 July 2024].
- Bricaud, A., Babin, M., Morel, A. and Claustre, H., 1995. Variability in the Chlorophyll-Specific Absorption Coefficients of Natural Phytoplankton: Analysis and Parameterization. Journal of Geophysical Research, 100(C7), pp. 13321-13332. https://doi.org/10.1029/95jc00463
- Babin, M., Stramski, D., Ferrari, Gm., Claustre, H., Bricaud, A., Obolensky, G. and Hoepffner, N., 2003. Variations in the Light Absorption Coefficients of Phytoplankton, Nonalgal Particles, and Dissolved Organic Matter in Coastal Waters around Europe. Journal of Geophysical Research: Oceans, 108(C7), 3211. https://doi.org/10.1029/2001jc000882
- Jeffrey, S.W., Mantoura, R.F.C. and Wright, S.W., 1997. Phytoplankton Pigments in Oceanography: Guidelines to Modern Method. Paris: UNESCO Publishing, 661 p.
- Churilova, T.Ya., Finenko, Z.Z. and Akimov, A. I., 2008. Microalgal Pigments. In: Yu. N. Tokarev, Z. Z. Finenko and N. V. Shadrin, eds., 2008. The Black Sea Microalgae: Problems of Biodiversity Preservation and Biotechnological Usage. Sevastopol: EСOSI-Gidrofizika, pp. 301-319 (in Russian).
- Kirk, J.T.O., 2011. Light and Photosynthesis in Aquatic Ecosystems. Cambridge: Cambridge University Press, 3rd ed., 665 p.
- Helms, J.R., Stubbins, A., Ritchie, J.D., Minor, E.C., Kieber, D.J. and Mopper, K., 2008. Absorption Spectral Slopes and Slope Ratios as Indicators of Molecular Weight, Source, and Photobleaching of Chromophoric Dissolved Organic Matter. Limnology and Oceanography, 53(3), pp. 955-969. https://doi.org/10.4319/lo.2008.53.3.0955
- Nelson, N.B. and Siegel, D.A., 2013. The Global Distribution and Dynamics of Chromophoric Dissolved Organic Matter. Annual Review of Marine Science, 5, pp. 447-476. https://doi.org/10.1146/annurev-marine-120710-100751
- Churilova, T.Ya., Suslin, V.V., Efimova, T.V., Moiseeva, N.A. and Skorokhod, E.Yu., 2020. Effect of Dissolved and Suspended Matter on Light in the Sea and Phytoplankton Light Absorbance Capacity in Coastal Waters of the Black Sea. Fundamental and Applied Hydrophysics, 13(2), pp. 43-50. https://doi.org/10.7868/S2073667320020057 (in Russian).
- Morel, A. and Bricaud, A., 1981. Theoretical Results Concerning Light Absorption in a Discrete Medium, and Application to Specific Absorption of Phytoplankton. Deep Sea Research Part A. Oceanographic Research Papers, 28(11), pp. 1375-1393. https://doi.org/10.1016/0198-0149(81)90039-X
- Finenko, Z., Hoepffner, N., Williams, R. and Piontkovskj, S., 2003. Phytoplankton Carbon to Chlorophyll a Ratio. Response to Light, Temperature and Nutrient Limitation. Marine Ecology Journal, 2(2), p. 40-64.
- Fichot, C.G., Kaiser, K., Hooker, S.B., Amon, R.M.W., Babin, M., Bélanger, S., Walker, S.A. and Benner, R., 2013. Pan-Arctic Distributions of Continental Runoff in the Arctic Ocean. Scientific Reports, 3(1), 1053. https://doi.org/10.1038/srep01053
- Sánchez-García, L., Alling, V., Pugach, S., Vonk, J., van Dongen, B., Humborg, C., Dudarev, O., Semiletov, I. and Gustafsson, Ö., 2011. Inventories and Behavior of Particulate Organic Carbon in the Laptev and East Siberian Seas. Global Biogeochemical Cycles, 25(2), GB2007. https://doi.org/10.1029/2010gb003862
- Zatsepin, A.G., Zavialov, P.O., Kremenetskiy, V.V., Poyarkov, S.G. and Soloviev, D.M., 2010. The Upper Desalinated Layer in the Kara Sea. Oceanology, 50(5), pp. 657-667. https://doi.org/10.1134/s0001437010050036
- Churilova, T.Ya., Moiseeva, N.A., Efimova, T.V., Skorokhod, E.Yu., Vazyulya, S.V., Buchelnikova, V.A., Zemlianskaia, E.A., Kalmykova, D.V., Sutorikhin I.A. [et al.], 2023. Water Transparency and Spectral Downwelling Irradiance in the Black and Azov Seas and in Lake Teletskoye. In: SPIE, 2023. Proceedings of SPIE. 29th International Symposium on Atmospheric and Ocean Optics: Atmospheric Physics. Moscow: SPIE. Vol. 12780, 1278047. https://doi.org/10.1117/12.2690845
Supplementary files







