Зависимость магнитных и магнитоимпедансных свойств образцов аморфных сплавов на основе Fе от их формы. Влияние толщины стеклянной оболочки в случае микропроводов
- Авторы: Перов Н.С.1, Родионова В.В.2, Самченко С.В.1, Молоканов В.В.3
-
Учреждения:
- Московский государственный университет им. М.В. Ломоносова
- Балтийский федеральный университет им. И. Канта
- Институт металлургии и материаловедения им. А.А. Байкова
- Выпуск: № 12 (2024)
- Страницы: 46-52
- Раздел: Статьи
- URL: https://journals.rcsi.science/1028-0960/article/view/286064
- DOI: https://doi.org/10.31857/S1028096024120051
- EDN: https://elibrary.ru/QXDAWE
- ID: 286064
Цитировать
Полный текст
Аннотация
Аморфные магнитные металлические сплавы по сравнению с кристаллическими являются достаточно новым классом материалов. Они значительно отличаются от кристаллических материалов своей структурой, физическими и магнитными свойствами. Аморфное состояние вещества — это состояние, при котором отсутствует дальний порядок в расположении атомов. Отсутствие дальнего порядка часто приводит к таким изменениям физических свойств, которые трудно или невозможно получить в твердом теле с кристаллической структурой. Одним из важных факторов является крайне малое значение магнитокристаллической анизотропии, что приводит к росту вкладов магнитоупругой анизотропии и анизотропии формы. В представленной работе проведен сравнительный анализ магнитных свойств образов трех типов. приготовленных из аморфного сплава Fe77.5Si12.5B10 (ленты, толстые провода и микропровода в стеклянной оболочке). Обнаружено, что импедансные характеристики всех образцов являются весьма малыми, хотя и зависят от вида образца. Для композитных образцов (микропровод в стеклянной оболочке) магнитные свойства сильно зависят как от толщины металлической жилы, так и от отношения полной толщины микропровода к толщине металлической жилы. Полученные экспериментальные результаты представлены в виде графических зависимостей.
Полный текст
ВВЕДЕНИЕ
К настоящему времени свойствам аморфных магнитных металлических сплавов (АММС) посвящено большое количество обзоров и монографий. Исследования этих свойств очень важны как для научного осмысления, так и для практического применения [1]. Например, известно, что коррозионные свойства аморфных сплавов на основе железа с меньшими добавками хрома значительно выше, чем у нержавеющей стали в кристаллическом состоянии. Основными достоинствами магнитных АММС являются малая коэрцитивная сила и высокая магнитная проницаемость [2]. Так, некоторые аморфные магнитные сплавы из ферромагнитных компонентов являются магнитомягкими материалами с характеристиками лучшими, чем у пермаллоев, и одновременно механически прочными, как высокотвердые стали. Удельное электросопротивление аморфной фазы, как правило, выше в 2–4 раза, чем кристаллической, что обеспечивает низкие потери на вихревые токи в лентах аморфных магнитномягких сплавов [3]. Выраженные магнитомягкие свойства и эффект гигантского магнитоимпеданса — зависимости комплексного сопротивления от магнитного поля — позволяют создавать высокочувствительные датчики магнитного поля [4], в частности, для геомагнитных применений [5, 6], а также механических напряжений и температуры [7, 8].
Часто выделяют два типа аморфных ферромагнитных сплавов: на основе кобальта и на основе железа. Из сплавов первого типа делают образцы для использования их, чаще всего, в качестве датчиков магнитного поля на основе гигантского магнитоимпеданса (ГМИ) — изменения импеданса в магнитном поле, достигающего сотен процентов [9]. Образцы для этих целей могут быть получены в виде тонких пленок, слоев, лент, проводов и в других формах. В последнее время наиболее востребованы и активно используемы микропровода в стеклянной оболочке, которым нашли применение в качестве чувствительных элементов, например, в биологических областях [10]. В работе [11] показано, что наличие стеклянной оболочки не приводит к изменениям в механизме отвердевания аморфной жилы микропровода по сравнению с эталонной аморфной лентой. Но наличие стеклянной оболочки у аморфного микропровода, полученного методом Улитовского–Тэйлора, приводит к возникновению сильных внутренних сжимающих напряжений. Эти напряжения вызывают изменения в ближнем порядке аморфной структуры сплава и оказывают влияние на магнитные, электрические и механические свойства микропровода. Также авторами [12] выявлены соотношения геометрических параметров аморфного микропровода, при которых могут быть получены максимальные значения эффекта гигантского магнитоимпеданса.
Микропровода на основе железа не дают большого значения магнитоимпеданса, но они характеризуются бистабильностью — очень узким интервалом магнитных полей, в котором происходит перемагничивание образца. Эта особенность позволяет использовать их, например, для разработки кодирующих систем [13]. Кроме того, благодаря своим магнитостатическим свойствам, а именно, отсутствию наклона спинки петли магнитного гистерезиса, измеренной при ориентации магнитного поля вдоль оси микропровода, и большому набору величин коэрцитивной силы, эти материалы представляют интерес также в качестве чувствительных элементов датчиков магнитного поля (например, феррозонда).
Отметим, что в последние годы объемы производства именно аморфных микропроводов в стеклянной оболочке существенно увеличились в связи с расширением областей их использования. В частности, их используют для изготовления высокочастотных сердечников трансформаторов микроэлектронных устройств, в системах входного/выходного контроля, а также в качестве элементов высокочувствительных датчиков магнитного поля, механических напряжений и температуры [14, 15]. Однако до настоящего времени остаются открытыми вопросы, связанные с механизмами формирования доменной структуры аморфных микропроводов и путями повышения стабильности их свойств. Цель настоящей работы заключалась в анализе влияния геометрических факторов на магнитные и импедансные свойства изделий из АММС.
ЭКСПЕРИМЕНТАЛЬНАЯ ЧАСТЬ
Для приготовления исследуемого в настоящей работе сплава Fe77.5Si12.5B10 использовали компоненты чистотой не ниже 99.8%. Бор вводили в состав сплава в виде лигатур металл — 20% В. Слиток весом 150 г готовили в вакуумной печи с резистивным нагревателем в корундовом тигле. Для повышения чистоты сплава в процессе подготовки расплава проводили вакуумирование, обработку гелий-водородной смесью и гомогенизацию по соответствующей технологии [16]. Стержни быстрозакаленного прекурсора получали насасыванием расплава в заполненные аргоном кварцевые трубки с последующей закалкой водой. Соответствие слитка и прекурсора заданному составу контролировали методами химического и термического анализа.
Из полученных прекурсоров были изготовлены аморфные образцы трех типов: лента шириной 2 мм и толщиной 29 мкм, провод диаметром 180 мкм и микропровод в стеклянной оболочке полным диаметром D = 29 мкм, с металлической жилой толщиной d = 23 мкм.
Быстрозакаленную ленту получали методом литья расплава на вращающийся медный барабан (melt spinning technique) [17]. Провод получали методом вытягивания из расплава с охлаждением в воде [18]. Микропровод в стеклянной оболочке получали методом Улитовского–Тейлора [19, 20] на лабораторной установке, изготовленной с использованием малогабаритного быстродействующего транзисторного преобразователя, оснащенной автоматизированными средствами управления и контроля. Закалку микропровода проводили в струе воды при температуре 20°С. Для формирования микропровода с различной толщиной металлической жилы d от 2.4 мкм до 24 мкм и различной толщиной оболочки D–d = 9–18 мкм варьировали технологические параметры: скорость наматывания микропровода на барабан и температуру расплава. Наличие аморфной структуры металлической жилы контролировали методами рентгеноструктурного и термического анализа.
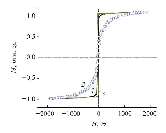
Магнитостатические свойства образцов измеряли на вибрационном магнитометре при комнатной температуре. Использовали образцы длиной L = 1.5 см. Размер определяли с учетом влияния концевых эффектов и диаметра измерительных катушек. Были получены петли магнитного гистерезиса при ориентации магнитного поля намагниченностью 2 кЭ вдоль оси образца. Полученные петли для образцов разной геометрии представлены на рис. 1.
Рис. 1. Петли магнитного гистерезиса при ориентации магнитного поля вдоль оси образца различной формы: 1 — лента; 2 — провод; 3 — микропровод.
В зависимости от размагничивающего фактора образца N = d/L (в общем случае N имеет вид тензора, но в направлении приложения поля его можно считать константой) изменяется наклон петли гистерезиса. Так, для микропровода, у которого N = 0.0015, наклон петли минимальный; у провода с N = 0.012 — максимальный. У бесконечно тонкой ленты при перемагничивании ее магнитным полем, ориентированным в плоскости ленты, N = 0. Для ленты, имеющей некоторую толщину, N уже отличен от 0. Следует отметить, что значения коэрцитивной силы у образцов сильно различаются: у провода (толщина 180 мкм) — 25 Э; у ленты (ширина 2 мм, толщина 29 мкм) — 3.5 Э; у микропровода (толщина 29 мкм, толщина металлической жилы 23 мкм) — 0.4 Э.
Возможной причиной различия в значениях коэрцитивной силы могут быть внутренние напряжения и неоднородности, а также объемные дефекты, роль которых тем больше, чем больше сечение образца.
Измерения магнитоимпедансных (МИ) свойств образцов были выполнены с помощью анализатора спектра НР4395А. Величина переменного тока составляла 20 мА, частота 0.5–20.0 МГц, величину напряженности внешнего магнитного поля изменяли от 0 до 40 Э. Длина образцов для таких измерений составляла 8 мм (при измерении магнитоимпедансных характеристик влияние концевых эффектов не существенно для образцов длиной более ~7 мм [21]).
Было обнаружено, что импеданс данных образцов малочувствителен к изменению величины напряженности магнитного поля. Скорее всего, это связано с малостью циркулярной (тангенциальной) компоненты магнитной проницаемости в образцах. На рис. 2 показаны зависимости величины магнитного импеданса ΔZ/Z = = (Z(H)–Z(Hmax))/Z(Hmax) от внешнего магнитного поля для исследуемых образцов. Как видно, для провода (рис. 2a) эффект магнитного импеданса не возникает вообще. У микропровода с толщиной металлической жилы 23 мкм (рис. 2б) максимум величины магнитного импеданса составляет всего 0.85% (для сравнения следует отметить, что у микропроводов на основе кобальта такого же диаметра максимум величины магнитного импеданса достигает 700% [22]). Наилучшей среди исследованных в настоящей работе с точки зрения максимума величины магнитного импеданса оказалась лента — ΔZ/Z = 7%. Однако и это не большой результат — в лентах на основе кобальта максимум ΔZ/Z составляет порядка 180% [23].
Рис. 2. Магнитоимпедансные зависимости для образцов различной формы: а) провод; б) микропровод; в) лента. Частота переменного тока 0.5 (1); 1.0 (2); 2.0 (3); 4.0 МГц (4). Отрицательные значения H соответствуют направлению магнитного поля, противоположному начальному.
Также были проведены исследования магнитных свойств аморфных микропроводов в стеклянной оболочке с металлическими жилами различного диаметра и толщиной стекла. Как уже отмечено выше, диаметр металлической жилы (d) и полную толщину провода в стеклянной оболочке (D) изменяли от 2.4 до 23 мкм и от 14 до 30 мкм соответственно. Наличие стеклянной оболочки приводит к появлению дополнительных напряжений в микропроводе, и, как следствие, возникновению наведенной анизотропии. Соотношение диаметров провода в стеклянной оболочке и металлической жилы D/d характеризует уровень внутренних механических напряжений, поэтому важно проанализировать влияние этого параметра на свойства микропроводов. Кроме того, толщина самой металлической жилы также оказывает сильное влияние на магнитные свойства микропроводов, поэтому следует изучить и влияние только параметра d.
Типичная петля магнитного гистерезиса при перемагничивании вдоль оси для микропроводов состава Fe77.5Si12.5B10 в стеклянной оболочке представлена на рис. 3. Оценку намагниченности насыщения Is проводили по величине напряженности поля насыщения Н, при перемагничивании микропровода перпендикулярно его оси (H–NI, где N — размагничивающий фактор цилиндра перпендикулярно оси равный ~2π) и получилась равной 1330±50 Гc.
Рис. 3. Петля магнитного гистерезиса для микропровода состава Fe77.5Si12.5B10 в стеклянной оболочке с d = 12 мкм, D/d = 1.75, длиной L = 1.5 см.
Более тонкие микропровода достигают намагниченности насыщения при больших значениях напряженности магнитного поля. Это можно объяснить следующим образом. Микропровода на основе железа, как считают [24], имеют две характерные области: оболочку, в которой намагниченность направлена по радиусу (радиальная анизотропия), и “керн”, в котором намагниченность направлена вдоль оси провода. Относительная доля “керна” в толстой проволоке выше, чем в тонкой, следовательно, перемагничивание более тонких проводов в продольном направлении осуществляется в более сильных полях за счет радиальной анизотропии.
Для всех образцов были измерены петли гистерезиса (аналогичные представленной на рис. 3), из которых определяли значения коэрцитивной силы Нc. Обнаружено, что для исследованных образцов различного диаметра коэрцитивная сила Нс монотонно увеличивалась с ростом величины соотношения D/d. Мы считаем, что это связано с ростом магнитоупрутих напряжений при увеличении толщины стеклянной оболочки. На рис. 4 приведена полученная зависимость.
Рис. 4. Зависимость коэрцитивной силы микропроводов состава Fe77.5Si12.5B10 длиной 1.5 см от отношения диаметров провода в стеклянной оболочке и его металлической жилы D/d.
Однако аналогичные зависимости, измеренные для различных отношений D/d при фиксированных значениях толщины металлической жилы, не проявляют монотонного характера. Для микропроводов с d = 10–11 мкм мы наблюдали несистематическое изменение коэрцитивной силы при изменении величины D/d (рис. 5). Возможно, это связано с неоднородностью свойств стеклянной оболочки этих образцов по длине.
Рис. 5. Зависимость коэрцитивной силы микропроводов состава Fe77.5Si12.5B10 длиной 1.5 см от отношения диаметров провода в стеклянной оболочке и его металлической жилы при фиксированной толщине металлической жилы d ~11 мкм.
В то же время диаметр металлической жилы оказывает существенное влияние на величину коэрцитивной силы Нс, которая значительно уменьшается при увеличении толщины микропровода (рис. 6). Скорее всего, это связано с уменьшением закалочных напряжений в микропроводе при увеличении d.
Рис. 6. Зависимость коэрцитивной силы микропроводов состава Fe77.5Si12.5B10 длиной 1.5 см от толщины металлической жилы.
Таким образом, проведенные исследования магнитных и магнитоимпедансных свойств аморфных образцов на основе сплава Fe77.5Si12.5B10 трех типов (лента, толстый провод и микропровод в стеклянной оболочке) показывают существенное различие в значениях измеренных параметров. Дополнительно проведенные исследования магнитных свойств микропроводов в стеклянной оболочке показывают, что их магнитные свойства изменяются не только при изменении толщины металлической жилы, но и при изменении величины отношения D/d. Это скорее всего связано с изменением внутренней магнитной структуры микропроводов. В зависимости от относительной доли стекла в микропроводе преобладает либо радиальное, либо аксиальное распределение намагниченности [25].
ЗАКЛЮЧЕНИЕ
В настоящей работе было установлено, что аморфные сплавы на основе железа одного и того же состава существенно изменяют свои магнитные свойства в зависимости от способа изготовления. Наиболее сильно эти изменения выражены в случае композитных систем — микропроводов в стеклянной оболочке, скорее всего это различие увеличивается за счет взаимодействия магнитной и немагнитной компонент. В то же время для исследованный образцов сплава Fe77.5Si12.5B10 очень слабо выражены магнитоимпедансные свойства, что ограничивает перспективы их применений.
ФИНАНСИРОВАНИЕ РАБОТЫ
Авторы выражают признательность доценту кафедры магнетизма Шалыгину А.Н. за помощь в изготовлении аморфных микропроводов. Работа Перова Н.С. проведена в рамках гранта РНФ №22-22-00606.
КОНФЛИКТ ИНТЕРЕСОВ
Авторы данной статьи заявляют, что у них нет конфликта интересов.
Об авторах
Н. С. Перов
Московский государственный университет им. М.В. Ломоносова
Автор, ответственный за переписку.
Email: perov@magn.ru
Россия, Москва
В. В. Родионова
Балтийский федеральный университет им. И. Канта
Email: valeriarodionova@gmail.com
Россия, Калининград
С. В. Самченко
Московский государственный университет им. М.В. Ломоносова
Email: perov@magn.ru
Россия, Москва
В. В. Молоканов
Институт металлургии и материаловедения им. А.А. Байкова
Email: perov@magn.ru
Россия, Москва
Список литературы
- Inoue A., Kong F. // Encyclopedia of Smart Materials. 2022. V. 5. P. 10. https://www.doi.org/10.1016/B978-0-12-803581-8.11725-4
- Zhukova V., Corte-Leon P., Blanco J.M., Ipatov M., Gonzalez-Legarreta L., Gonzalez A., Zhukov A. // Chemosensors. 2022. V. 10. № 1. P. 26. https://www.doi.org/10.3390/chemosensors10010026
- Золотухин И.В., Калинин Ю.Е., Стогней О.В. Новые направления физического материаловедения, Изд-во Воронежского государственного университета. 2000. 360 с.
- Corte-Leon P., Zhukova V., Chizhik, A., Blanco J.M., Ipatov M., Gonzalez-Legarreta L., Zhukov A. // Sensors. 2020. V. 20. No 24. P. 7203. https://www.doi.org/10.3390/s20247203
- A.Zhukov, M. Ipatov, M. Churyukanova, S. Kaloshkin, V. Zhukova // Journal of Alloys and Compounds. 2014. V. 586. P. 279. https://www.doi.org/10.1016/j.jallcom.2012.10.082
- Olivera J., De La Cruz-Blas C. A., Gómez-Polo C. // Sensors and Actuators A: Physical. 2011. V. 168. P. 90. https://www.doi.org/10.1016/j.sna.2011.04.012
- Zhukova V., Ipatov M., Zhukov A. // Sensors. 2009. V. 9. № 11. P. 9216. https://www.doi.org/10.3390/s91109216
- Li D.R., Lu Z.C., Zhou S.X. // J. Appl. Phys. 2004. V. 95. № 1. P. 204. https://www.doi.org/10.1063/1.1630697
- Zhukov A., Corte-Leon P., Gonzalez-Legarreta L., Ipatov M., Blanco J.M., Gonzalez A., Zhukova V. // J. Phys. D: Appl. Phys. 2022. V. 55. № 25. P. 253003. https://www.doi.org/10.1088/1361-6463/AC4FD7
- Mohri K., Uchiyama T., Panina L. V., Yamamoto M., Bushida K. // J. Sensors. 2015. V. 2015. P. 718069. https://www.doi.org/10.1155/2015/718069
- Молоканов В.В., Умнов П.П., Куракова Н.В., Свиридова Т.А., Шалыгин А.Н., Ковнеристый Ю.К. // Перспективные материалы. 2006. Т. 2. С. 5. https://www.doi.org/1028-978X
- Chizhik A., Zhukov A., Blanco J.M., Szymczak R. // J. Magn. Magn. Mater. 2022. V. 249. P. 99. https://www.doi.org/10.1016/S0304-8853(02)00513-9
- Zhukova V., Corte-Leon P., Blanco J.M., Ipatov M., Gonzalez J., Zhukov A. // Chemosensors. 2021. V. 9. № 5. P. 100. https://www.doi.org/10.3390/chemosensors9050100
- Panina L., Dzhumazoda A., Nematov M., Alam J., Trukhanov A., Yudanov N., Morchenko A., Zhukov A., Rodionova V. // Sensors. 2019. V. 19. P. 5089. https://www.doi.org/10.3390/s19235089
- Молоканов В.В., Шалыгин А.Н., Петржик М.И., Михайлова Т.Н., Филиппов К.С., Дьяконова Н.П., Свиридова Т.А., Захарова Е.А.// Перспективные материалы. 2003. Т. 10. № 1. P. 5. https://www.doi.org/1028-978X
- Дорофеева Е.А., Прокошин А.Ф. // ФММ. 1984. Т. 57. С. 500.
- Mohri K., Humphrey F.B., Kawashuma K., Kimura K., Mizutani M. // IEEE Trans. Magn. 1990. V. 26 № 5. P. 1789. https://www.doi.org/10.1023/A:1014451124945
- Taylor G.F. // Phys. Rev. 1924. V. 23. № 5. P. 655. https://www.doi.org/10.1103/PhysRev.23.655
- Бадинтер Е.Я., Берман Н.Р., Драбенко И.Ф., Заборовский В.И. Литой микропровод и его свойства. Кишинев: Штиннца, 1973. 273 с.
- Molokanov V.V., Shalygin A.N., Umnov P.P., Chueva T.R., Umnova N.V., Simakov S.V.// Inorg. Mater.: Appl. Res. 2019. V. 3. С. 463. https://www.doi.org/10.1134/S2075113319020278
- Самсонова В.В., Рахманов А.А., Настасюк А.Н., Якубов И.Т.., Антонов А.С. Влияние статических и динамических размагничивающих полей на магнитоимпеданс в микропроводе на основе кобальта. // Сборник трудов ХХ международной школы-семинара “Новые Магнитные Материалы Микроэлектроники”, Москва. 2006. С. 444.
- Zhukova V., Chizhik A., Zhukov A., Torcunov A., Larin V., Gonzalez J. // IEEE transactions on magnetics. 2002. V. 38. № 5. P. 3090. https://www.doi.org/10.1109/TMAG.2002.802397
- Zhanga K., Lvb Z., Yaoa B., Wang D. // J. Non-Cryst. Solids. 2005. V. 352. P. 78. https://www.doi.org/10.1016/j.jnoncrysol.2005.10.023
- Mohri K., Humphrey F.B., Kawashima K., Kimura K., Muzutani M. // IEEE Trans. Magn. 1990. V. 26. P. 1789. https://www.doi.org/10.1109/20.104526
- Рахманов А.А., Самсонова В.В., Антонов А.С., Перов Н.С. Особенности магнитных и магнитоимпедансных свойств аморфных микропроводов в стеклянной оболочке на основе железа. // Сборник трудов XX международной школы-семинара “Новые Магнитные Материалы Микроэлектроники”, Москва. 2006. С. 814.
Дополнительные файлы








