Observation of Surface Plasmon Resonance in Monochromatic Terahertz Radiation on Indium Antimonide
- Authors: Khasanov I.S.1,2, Gerasimov V.V.3,4, Kameshkov O.E.3,4, Nikitin A.K.1, Kassandrоv V.V.2
-
Affiliations:
- Scientific and Technological Centre of Unique Instrumentation RAS
- Peoples’ Friendship University of Russia named after Patrice Lumumba
- Budker Institute of Nuclear Physics SB RAS
- Novosibirsk State Universiry
- Issue: No 10 (2023)
- Pages: 13-21
- Section: Articles
- URL: https://journals.rcsi.science/1028-0960/article/view/141021
- DOI: https://doi.org/10.31857/S1028096023100072
- EDN: https://elibrary.ru/OMSWFG
- ID: 141021
Cite item
Full Text
Abstract
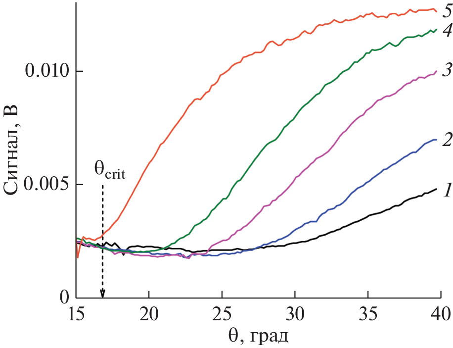
Currently, the terahertz frequency range, which is on the border of the microwave and optical ranges, is being intensively mastered. One of the widely used materials in terahertz optics is indium antimonide (InSb), the plasma frequency ωp of which depends on the degree of doping, temperature, and surface illumination. The possibility of generating surface plasmon polaritons, a type of surface electromagnetic waves, on the surface of an InSb sample using the attenuated total reflectance method (ATR) (Otto scheme) is discussed. Using the scattering matrix formalism, the conditions for the highest efficiency of excitation of surface plasmon polaritons are established. If terahertz radiation with a frequency slightly less than ωp is used for this, the propagation length of such plasmons and the depth of their field penetration into the environment (air) are comparable to the radiation wavelength. It is possible to achieve surface plasmon resonance in the form of a sharp decrease in the intensity of monochromatic radiation reflected from the base of the ATR prism with a change in the angle of incidence and the size of the air gap. Test experiments were performed to observe surface plasmon resonance on an InSb wafer using a high-resistance silicon prism and monochromatic radiation (λ = 141 μm) from the Novosibirsk free electron laser. The dependence of the resonant dip on the size of the air gap separating the prism from the sample surface is studied, and its optimal (in the case of resonsnce) value is established for semiconductors with a plasma frequency in the terahertz range.
About the authors
I. Sh. Khasanov
Scientific and Technological Centre of Unique Instrumentation RAS; Peoples’ Friendship University of Russia named after Patrice Lumumba
Author for correspondence.
Email: khasanov@ntcup.ru
Russia, 117342, Moscow; Russia, 117198, Moscow
V. V. Gerasimov
Budker Institute of Nuclear Physics SB RAS; Novosibirsk State Universiry
Author for correspondence.
Email: khasanov@ntcup.ru
Russia, 630090, Novosibirsk; Russia, 630090, Novosibirsk
O. E. Kameshkov
Budker Institute of Nuclear Physics SB RAS; Novosibirsk State Universiry
Email: v.v.gerasimov3@gmail.com
Russia, 630090, Novosibirsk; Russia, 630090, Novosibirsk
A. K. Nikitin
Scientific and Technological Centre of Unique Instrumentation RAS
Email: v.v.gerasimov3@gmail.com
Russia, 117342, Moscow
V. V. Kassandrоv
Peoples’ Friendship University of Russia named after Patrice Lumumba
Email: v.v.gerasimov3@gmail.com
Russia, 117198, Moscow
References
- Soler M., Lechuga L.M. // J. Appl. Phys. 2021. V. 129. № 11. P. 111102. https://doi.org/10.1063/5.0042811
- Surface Plasmon Resonance Sensors. A Materials Guide to Design, Characterization, Optimization, and Usage, 2019.
- Berini P., De Leon I. // Nature Photon. 2012. V. 6. № 1. P. 16. https://doi.org/10.1038/nphoton.2011.285
- Ayata M., Fedoryshyn Y., Heni W., Baeuerle B., Josten A., Zahner M., Koch U., Salamin Y., Hoessbacher C., Haffner C., Elder D.L., Dalton L.R., Leuthold J. // Science. 2017. V. 358. № 6363. P. 630. https://doi.org/10.1126/science.aan5953
- Plasmonics and Super-Resolution Imaging. Singapore: Pan Stanford Publishing, 2017. p. 482.
- Carvalho W.O.F., Mejía-Salazar J.R. // Sensors (Basel). 2020. V. 20. № 9. P. 2488. https://doi.org/10.3390/s20092488
- Shrivastav A.M., Cvelbar U., Abdulhalim I. // Commun. Biol. 2021. V. 4. № 1. P. 70. https://doi.org/10.1038/s42003-020-01615-8
- Balbinot S., Srivastav A.M., Vidic J., Abdulhalim I., Manzano M. // Trends Food Sci. Technol. 2021. V. 111. P. 128. https://doi.org/10.1016/j.tifs.2021.02.057
- Phan Q.-H., Phan Q.-H., Lai Y.-R., Xiao W.-Z., Pham T.-T.-H., Lien C.-H., Lien C.-H. // Opt. Express. 2020. V. 28. № 17. P. 24889. https://doi.org/10.1364/OE.400721
- Chen X., Lindley-Hatcher H., Stantchev R.I., Wang J., Li K., Hernandez Serrano A., Taylor Z.D., Castro-Camus E., Pickwell-MacPherson E. // Chem. Phys. Rev. 2022. V. 3. № 1. P. 011311. https://doi.org/10.1063/5.0068979
- Banerjee A., Chakraborty B., Inokawa H., Nath Roy J. Terahertz Biomedical and Healthcare Technologies: Materials to Devices. Elsevier, 2020.
- Krotkus A. // J. Phys. D. 2010. V. 43. № 27. P. 273001. https://doi.org/10.1088/0022-3727/43/27/273001
- Ranjana J.S. Investigations on InSb Plasmonic Devices for Sensor Applications at Terahertz Frequencies. PhD Thesis. National Institute of Technology Karnataka, Surathkal, 2017.
- Barchiesi D. // New Perspectives in Biosensors Technology and Applications. / Ed. Serra P.A. 2011. Ch. 5. P. 105. https://doi.org/10.5772/16657
- Kameshkov O., Gerasimov V., Knyazev B. // Sensors. 2021. V. 22. № 1. P. 172. https://doi.org/10.3390/s22010172
- Gerasimov V.V., Knyazev B.A., Kotelnikov I.A., Nikitin A.K., Cherkassky V.S., Kulipanov G.N., Zhizhin G.N. // J. Opt. Soc. Am. B. 2013. V. 30. № 8. P. 2182. https://doi.org/10.1364/JOSAB.30.002182
- Chochol J., Postava K., Čada M., Vanwolleghem M., Mičica M., Halagačka L., Lampin J.-F., Pištora J. // J. Eur. Opt. Soc.-Rapid Publ. 2017. V. 13. № 1. P. 13. https://doi.org/10.1186/s41476-017-0044-x
- Levinshtein M., Rumyantsev S., Shur M. Handbook Series on Semiconductor Parameters. Si, Ge, C (Diamond), GaAs, GaP, GaSb, InAs, InP, InSb. World Scientific, 2000. 218 p.
- Агранович В.М., Миллс Д.Л. Поверхностные поляритоны: электромагнитные волны на поверхностях и границах раздела сред. М.: Наука, 1985. 525 с.
- Raether H. // Surface Plasmons on Smooth and Rough Surfaces and on Gratings, 1988. https://doi.org/10.1007/BFb0048319
- Barchiesi D., Otto A. // Riv. del Nuovo Cim. 2013. V. 36. № 5. P. 173. https://doi.org/10.1393/ncr/i2013-10088-9
- Shibayama J., Mitsutake K., Yamauchi J., Nakano H. // Microwave Opt. Technol. Lett. 2021. V. 63. № 1. P. 103. https://doi.org/10.1002/mop.32581
- Nazarov M.M., Bezus E.A., Shkurinov A.P. // Laser Phys. 2013. V. 23. № 5. P. 056008.
- Hilal M., Rashid B., Khan S.H., Khan A. // Mater. Chem. Phys. 2016. V. 184. P. 41. https://doi.org/10.1016/j.matchemphys.2016.09.009
- Комков О.С., Фирсов Д.Д., Львова Т.В., Седова И.В., Семeнов А.Н., Соловьeв В.А., Иванов С.В. // Физика твердого тела. 2016. Т. 58. Вып. 12. С. 2307.
- Nikitin A.K., Gerasimov V.V., Knyazev B.A., Lien N.T.H., Trang T.T. // J. Phys.: Conf. Ser. 2020. V. 1636. P. 012036. https://doi.org/10.1088/1742-6596/1636/1/012036
- Khasanov I.Sh., Zykova L.A., Nikitin A.K., Knyazev B.A., Gerasimov V.V., Trang T.T. Terahertz Surface Plasmon Resonance Microscopy Based on Ghost Imaging with Pseudo-Thermal Speckle Light. 2020 45th Int. Conf. on Infrared, Millimeter, and Terahertz Waves (IRMMW-THz), Buffalo, NY, USA, 2020. P. 1. https://doi.org/10.1109/IRMMW-THz46771.2020.9370795
- Chochol J., Mičica M., Postava K., Vanwolleghem M., Lampin J.-F., Čada M., Pištora J. Demonstration of Magnetoplasmon Polariton at InSb/Dielectric Interface. 2018 43rd International Conference on Infrared, Millimeter, and Terahertz Waves (IRMMW-THz), Nagoya, Japan, 2018. P. 1. https://doi.org/10.1109/IRMMW-THz.2018.8510484
- Hirori H., Nagai M., Tanaka K. // Opt. Express. 2005. V. 13. № 26. P. 10801. https://doi.org/10.1364/OPEX.13.010801
- Nazarov M.M., Shkurinov A.P., Garet F., Coutaz J.-L. // IEEE Trans. Terahertz Sci. Technol. 2015. V. 5. № 4. P. 680. https://doi.org/10.1109/TTHZ.2015.2443562
- Postava K., Chochol J., Mičica M., Vanwolleghem M., Kolejak P., Halagačka L., Cada M., Pištora J., Lampin J.-F. // Proc. SPIE. 2016. V. 10142. P. 1014207. https://doi.org/10.1117/12.2264550
- Howells S.C., Schlie L.A. // Appl. Phys. Lett. 1996. V. 69. № 4. P. 550. https://doi.org/10.1063/1.117783
- Chochol J., Postava K., Čada M., Vanwolleghem M., Halagačka L., Lampin J.-F., Pištora J. // AIP Adv. 2016. V. 6. № 11. P. 115021. https://doi.org/10.1063/1.4968178
- Palik E. Handbook of Optical Constants of Solids [Vols. 1–4 combined]. AP, 1998.
- Wang Q., Tang Q., Zhang D., Wang Z., Huang Y. // Superlattices and Microstructures. 2014. V. 75. P. 955. https://doi.org/10.1016/j.spmi.2014.09.015
- Tao J., Hu B., He X.Y., Wang Q.J. // IEEE Trans. Nanotechnol. 2013. V. 12. № 6. P. 1191. https://doi.org/10.1109/TNANO.2013.2285127
- Isaac T.H., Gómez Rivas J., Sambles J.R., Barnes W.L., Hendry E. // Phys. Rev. B. 2008. V. 77. № 11. P. 113411. https://doi.org/10.1103/PhysRevB.77.113411
- Gu P., Tani M., Kono S., Sakai K., Zhang X.-C. // J. Appl. Phys. 2002. V. 91. № 9. P. 5533. https://doi.org/10.1063/1.1465507
- Litwin-Staszewska E., Szymańska W., Piotrzkowski R. // Phys. Stat. Sol. B. 1981. V. 106. № 2. P. 551. https://doi.org/10.1002/pssb.2221060217
- Chochol J., Postava K., Čada M., Pištora J. // Sci. Rep. 2017. V. 7. № 1. P. 13117. https://doi.org/10.1038/s41598-017-13394-0
- Львова Т.В., Дунаевский М.С., Лебедев М.В., Шахмин А.Л., Седова И.В., Иванов С.В. // Физика и техника полупроводников. 2013. Т. 47. Вып. 5. С. 710.
- Cunningham R.W., Gruber J.B. // J. Appl. Phys. 1970. V. 41. № 4. P. 1804. https://doi.org/10.1063/1.1659107
- Putley E.H. // Appl. Opt. 1965. V. 4. № 6. P. 649. https://doi.org/10.1364/AO.4.000649
- Fan F., Chen S., Chang S.-J. // IEEE J. Selected Topics Quantum Electronics. 2017. V. 23. № 4. https://doi.org/10.1109/JSTQE.2016.2537259
- Byszewski P., Kołodziejczak J., Zukotyński S. // Phys. Stat. Sol. B. 1963. V. 3. № 10. P. 1880. https://doi.org/10.1002/pssb.19630031014
- Byrnes S.J. // arXiv:1603.02720 [physics]. 2020
- Anisimov A.V., Khasanov I.Sh. // J. Phys.: Conf. Ser. 2021. V. 2091. № 1. P. 012067. https://doi.org/10.1088/1742-6596/2091/1/012067
- Gerasimov V.V. // J. Opt. Technol. 2010. V. 77. № 8. P. 465. https://doi.org/10.1364/JOT.77.000465
- Gerasimov V.V., Zhizhin G.N., Knyazev B.A., Kotelnikov I.A., Mitina N.A., Nikitin A.K. // Bull. Russ. Acad. Sci.: Phys. 2013. V. 77. № 9. P. 1167. https://doi.org/10.3103/S1062873813090141
- Knyazev B.A. // AIP Conf. Proc. 2020. V. 2299. № 1. P. 030001. https://doi.org/10.1063/5.0030349
Supplementary files








