Структурно-фазовые изменения в концентрированных твердых растворах системы V–Nb–Ta–Ti, облученных ионами гелия
- Авторы: Углов В.В.1, Сапар Ә.Д.2, Мустафин Д.А.2, Курахмедов А.Е.2, Иванов И.А.2, Ke J.3, Рыскұлов А.Е.2, Белов М.М.1, Злоцкий С.В.1, Бихерт Е.В.2
-
Учреждения:
- Белорусский государственный университет
- Институт ядерной физики МЭ РК
- Пекинский технологический институт
- Выпуск: № 2 (2023)
- Страницы: 40-48
- Раздел: Статьи
- URL: https://journals.rcsi.science/1028-0960/article/view/137707
- DOI: https://doi.org/10.31857/S1028096023020140
- EDN: https://elibrary.ru/DTMNBU
- ID: 137707
Цитировать
Полный текст
Аннотация
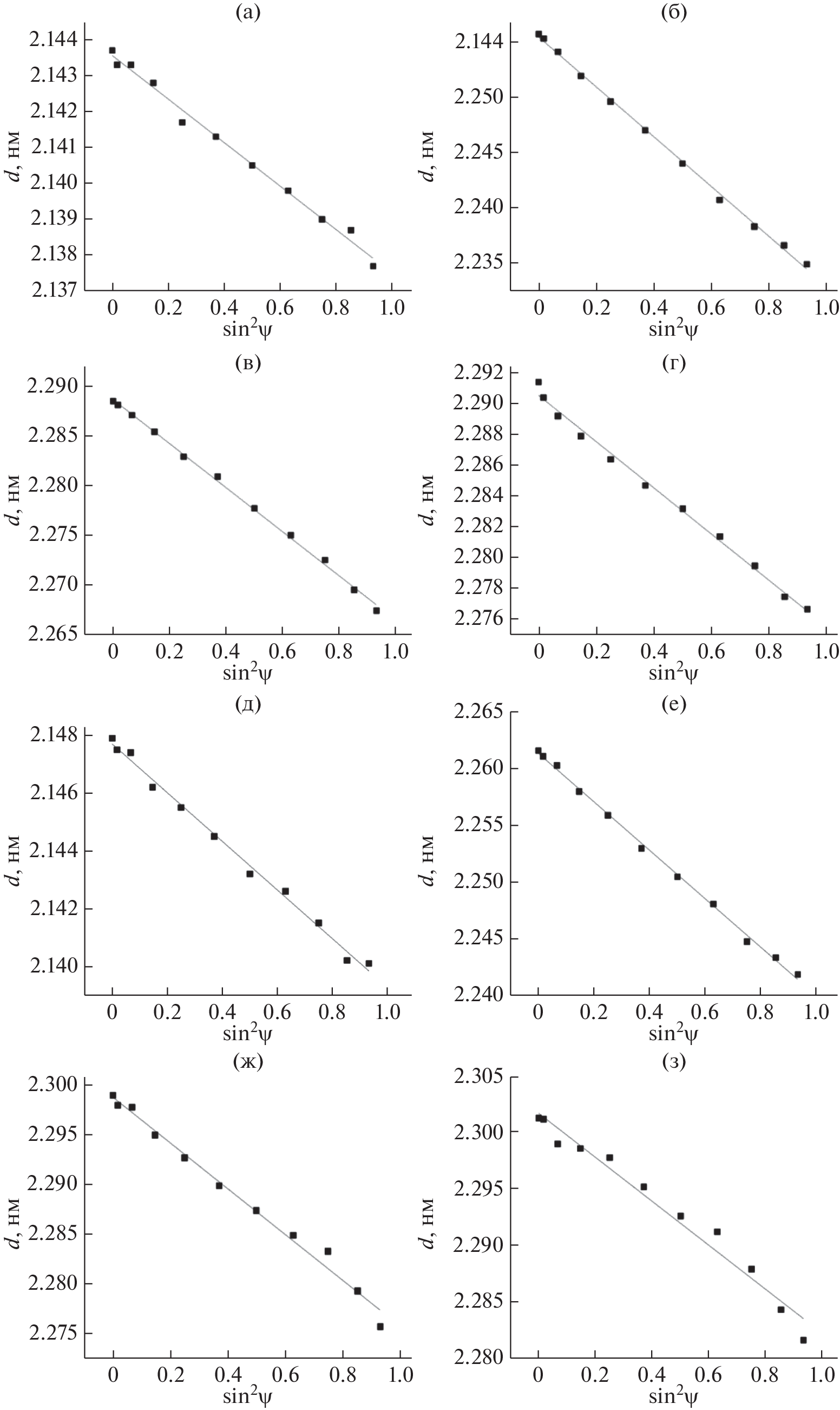
Целью настоящей работы являлось изучение влияния облучения низкоэнергетическими ионами гелия с энергией 40 кэВ и флуенсом 2 × 1017 см–2 на структурно-фазовое состояние многокомпонентных твердых растворов на основе системы V–Nb–Ta–Ti. Данные исследования направлены на получение новых данных о радиационной стойкости многокомпонентных твердых растворов, которые обладают большим потенциалом для использования в качестве конструкционных материалов для реакторов нового поколения. Методами сканирующей электронной микроскопии и рентгеноструктурного анализа было установлено, что сформированные бинарные, тройные и четверные сплавы системы V–Nb–Ta–Ti являются эквиатомными однофазными твердыми растворами, имеют однородное распределение элементов на поверхности и обладают сжимающими микро- и макронапряжениями. Проведенные исследования показали, что облучение ионами гелия сплавов системы V–Nb–Ta–Ti не приводит к распаду твердого раствора и нарушению эквиатомности и однородности распределения элементов на поверхности. Облучение ионами гелия не приводит к значительному изменению уровня микро- и макронапряжений для систем VNb и VNbTa, в то время как для сплава VNbTaTi происходит увеличение уровня сжимающих напряжений, что может быть связано с сегрегацией элементов к границам зерен и накоплением гелий-вакансионных кластеров.
Об авторах
В. В. Углов
Белорусский государственный университет
Автор, ответственный за переписку.
Email: Uglov@bsu.by
Беларусь, 220030, Минск
Ә. Д. Сапар
Институт ядерной физики МЭ РК
Email: Uglov@bsu.by
Казахстан, 050032, Нур-Султан
Д. А. Мустафин
Институт ядерной физики МЭ РК
Email: Uglov@bsu.by
Казахстан, 050032, Нур-Султан
А. Е. Курахмедов
Институт ядерной физики МЭ РК
Email: Uglov@bsu.by
Казахстан, 050032, Нур-Султан
И. А. Иванов
Институт ядерной физики МЭ РК
Email: Uglov@bsu.by
Казахстан, 050032, Нур-Султан
Jin Ke
Пекинский технологический институт
Email: Uglov@bsu.by
Китай, 100811, Пекин
А. Е. Рыскұлов
Институт ядерной физики МЭ РК
Email: Uglov@bsu.by
Казахстан, 050032, Нур-Султан
М. М. Белов
Белорусский государственный университет
Email: Uglov@bsu.by
Беларусь, 220030, Минск
С. В. Злоцкий
Белорусский государственный университет
Автор, ответственный за переписку.
Email: Zlotski@bsu.by
Беларусь, 220030, Минск
Е. В. Бихерт
Институт ядерной физики МЭ РК
Email: Uglov@bsu.by
Казахстан, 050032, Нур-Султан
Список литературы
- Armstrong R.C., Wolfram C., de Jong K. et al. // Nat. Energy. 2016. V. 1. P. 15020. https://doi.org/10.1038/nenergy.2015.20
- Zinkle S.J., Busby J.T. // Mater. Today. 2009. V. 12. P. 12. https://doi.org/10.1016/S1369-7021(09)70294-9
- Henry J., Maloy S.A. // Structural Materials for Generation IV Nuclear Reactors. Elsevier, 2017. P. 329. https://doi.org/10.1016/B978-0-08-100906-2.00009-4
- Murty K., Charit I. // J. Nucl. Mater. 2008. V. 383. P. 189. https://doi.org/10.1016/j.jnucmat.2008.08.044
- Zinkle S.J, Terrani K.A., Snead L.L. // Curr. Opin. Solid. St. Mater. 2016. V. 20. P. 401. https://doi.org/10.1016/j.cossms.2016.10.004
- Jin K., Bei H. // Front. Mater. 2018. V. 5. P. 1. https://doi.org/10.3389/fmats.2018.00026
- Yeh J.W., Chen Y.L., Lin S.J. et al. // Mater. Sci. Forum. 2007. V. 560. P. 1. https://doi.org/10.4028/www.scientific.net/MSF.560.1
- Tsai M.-H., Yeh J.-W. // Mater. Res. Lett. 2014. V. 2. P. 107. https://doi.org/10.1080/21663831.2014.912690
- Jien-Wei Y. // Ann. Chim. Sci. Mat. 2006. V. 31. P. 633. https://doi.org/10.3166/acsm.31.633-648
- Miracle D.B., Senkov O.N. // Acta Materialia. 2017. V. 122. P. 448. https://doi.org/10.1016/j.actamat.2016.08.081
- Sellami N., Debelle A., Ullah M.W. et al. // Curr. Opin. Solid State Mater. Sci. 2019. V. 23. P. 107. https://doi.org/10.1016/j.cossms.2019.02.002
- Jin K., Mu S., An K. et al. // Mater. Des. 2017. V. 117. P. 185. https://doi.org/10.1016/j.matdes.2016.12.079
- Zarkadoula E., Samolyuk G., Weber W.J. // Comput. Mater. Sci. 2019. V. 162. P. 156. https://doi.org/10.1016/j.commatsci.2019.02.039
- Zhao S., Stocks G.M., Zhang Y. // Phys. Chem. Chem. Phys. 2016. V. 18. P. 24043 https://doi.org/10.1039/C6CP05161H
- Zhao S., Egami T., Stocks G.M. et al. // Phys. Rev. Mater. 2018. V. 2. P. 013602. https://doi.org/10.1103/physrevmaterials.2.013602
- Zhao S., Osetsky Y., Barashev A.V. // Acta Mater. 2019. V. 173. P. 184. https://doi.org/10.1016/j.actamat.2019.04.060
- Lu C., Niu L., Chen N. // Nat. Commun. 2016. V. 7. P. 13564. https://doi.org/10.1038/ncomms13564
- Lu C., Yang T., Niu L. // J. Nucl. Mater. 2018. V. 509. P. 237. https://doi.org/10.1016/j.jnucmat.2018.07.006
- Zinkle S.J., Was G.S. // Acta Mater. 2013. V. 61. P. 735. https://doi.org/10.1016/j.actamat.2012.11.004
- Agarwal S., Trocellier P., Serruys Y. // Nucl. Instrum. Methods Phys. Res. B. 2014. V. 327. P. 117. https://doi.org/10.1016/j.actamat.2016.08.062
- Birkholz M. Thin Film Analysis by X-ray Scattering. Print ISBN:9783527310524, 2005
- Nath D., Singh F., Das R. // Mater. Chem. Phys. 2020. V. 239. P. 122021. https://doi.org/10.1016/j.matchemphys.2019.122021
- Prevey P.S. // ASM International, ASM Handbook. 1986. V. 10. P. 380. https://doi.org/10.31399/asm.hb.v10.a0001761
- James F.Z., Ziegler M.D., Biersack J.P. // Nucl. Instrum. Methods Phys. Res. B: Beam Interact. Mater. At. 2010. V. 268. P. 1818. https://doi.org/10.1016/j.nimb.2010.02.091
- Jia N., Li Y., Huang H. // Curr. Opin. Solid State Mater. Sci. 2021. V. 550. P. 152937. https://doi.org/10.1016/j.jnucmat.2021.152937
- Kozak R., Sologubenko A., Steurer W. // Cryst. Mater. 2015. V. 230. P. 55. https://doi.org/10.1515/zkri-2014-1739
- Trinkaus H., Singh B.N. // J. Nucl. Mater. 2003. V. 323. P. 229. https://doi.org/10.1016/j.jnucmat.2003.09.001
- Jia N., Li Y., Huang H. et al. // J. Nucl. Mater. 2021. V. 550. P. 152937. https://doi.org/10.1016/j.jnucmat.2021.152937
- Kombaiah B., Jin K., Bei H. et al. // Mater. Des. 2018. V. 160. P. 1208. https://doi.org/10.1016/j.matdes.2018.11.006
- He M.R., Wang S., Shi S., Jin K. et al. // Acta Mater. 2017. V. 126. P. 182. https://doi.org/10.1016/j.actamat.2016.12.046
- Harrison R.W., Greaves G., Le H. et al. // Curr. Opin. Solid. St. Mater. 2019. V. 23. P. 100762. https://doi.org/10.1016/j.cossms.2019.07.001
Дополнительные файлы











