Изучение состояния моноаминергических систем в структурах мозга потомства самок мышей линии BALB/c на различных этапах формирования расстройств аутистического спектра
- Авторы: Кудрин В.С.1, Наркевич В.Б.1, Алымов А.А.1, Капица И.Г.1, Касабов К.А.1, Наплекова П.Л.1, Кудряшов Н.В.1, Воронина Т.А.1
-
Учреждения:
- ФГБНУ “ФИЦ оригинальных и перспективных биомедицинских и фармацевтических технологий”
- Выпуск: Том 41, № 2 (2024)
- Страницы: 162-169
- Раздел: Экспериментальные работы
- URL: https://journals.rcsi.science/1027-8133/article/view/269947
- DOI: https://doi.org/10.31857/S1027813324020075
- EDN: https://elibrary.ru/ETFJCA
- ID: 269947
Цитировать
Полный текст
Аннотация
Методом ВЭЖХ/ЭД проводилось изучение состояния дофамин-, серотонин- и норадренергических систем в структурах мозга мышей-самок линии BALB/с на 15-й и 64-й день постнатального развития (ПНР) при моделировании расстройств аутистического спектра, индуцированных введением вальпроата натрия (400 мг/кг, п/к) беременным самкам. Уровень как катехол-, так и индоламинов в структурах мозга мышат контрольной группы в возрасте 15 дней был существенно ниже, чем у взрослых животных в возрасте 64 дня. Пренатальное введение вальпроата натрия (ВН) вызывало снижение всех параметров моноаминергической нейропередачи в стриатуме потомства в возрасте 15 дней, но не оказывало влияния в других изученных структурах мозга. В дальнейшем уровень дофамина возрастал и к 64-му дню ПНР не отличался от показателей контрольной группы. Параметры серотонинергической системы изменялись по сходной схеме, при этом содержание серотонина и метаболита серотонина 5-ОИУК в стриатуме увеличивалось постепенно и достигало максимальных значений к 64-му дню ПНР. Полученные нами данные позволяют предполагать, что введение ВН беременным самкам отражается на активности дофамин- и серотонинергической систем мозга потомства, вызывая снижение их ее активности в стриатуме к 15-му дню ПНР с последующим восстановлением до контрольных значений к 64-му дню, что наблюдалось нами ранее и у самцов. Таким образом, паттерны динамических изменений нейрохимического профиля у самцов и самок не отличаются.
Ключевые слова
Полный текст
ВВЕДЕНИЕ
Расстройства аутистического спектра (РАС) представляют собой группу комплексных дезинтегративных нарушений психического развития, характеризующихся отсутствием способности к социальному взаимодействию, коммуникации, стереотипностью поведения, приводящим к социальной дезадаптации. На сегодняшний день среди различных гипотез патогенеза заболевания одними из основных являются нейрохимические гипотезы, которые рассматривают генез РАС как следствие нарушения формирования нейротрансмиттерных систем мозга в онтогенезе. В частности, выдвинута гипотеза о повреждающем действии дисбаланса возбуждающих (глутамат, аспартат) и тормозных (глицин) аминокислот на головной мозг в период пренатального развития [1, 2]. Другая группа теорий рассматривает в качестве ключевого фактора формирования РАС нарушение онтогенетического развития моноаминергических систем мозга, в первую очередь серотонинергической [3].
Функциональное состояние серотонинергической системы мозга зависит от скорости обратного захвата серотонина пресинаптическими нейронами, осуществляемого транспортером обратного захвата серотонина (СЕРТ) [4]. Генетически обусловленная высокая активность СЕРТ приводит к подавлению активности серотонинергической нейропередачи, проявляется повышенной агрессией и гиперактивностью [5, 6].
Ранее нами было проведено изучение изменений нейрохимических параметров мозга в онтогенезе потомства мышей-самцов линии BALB/с, матерям которых вводился вальпроат натрия (ВН) [16]. Данная экспериментальная модель наиболее часто используется для моделирования РАС [17, 18]. Проводилось изучение состояния дофамин-, серотонин- и норадренергических систем в различных структурах мозга мышей-самцов линии BALB/с на 15-, 42- и 64-й день (соответственно Р15, Р42 и Р64) постнатального развития (ПНР) (т.е. вплоть до половозрелого состояния) группы потомства самок, получавших ВН [16]. В настоящей работе исследования было продолжены на потомстве мышей-самок линии BALB/с, матерям которых вводился ВН.
МАТЕРИАЛЫ И МЕТОДЫ ИССЛЕДОВАНИЯ
Опыты проведены на 52 самках мышей линии BALB/c массой тела 10—22 г, родительское поколение которых получено из питомника филиала “Столбовая” ФГБУН “Научный центр биомедицинских технологий ФМБА” (Россия), содержавшихся в условиях лабораторного вивария при 12-часовом световом режиме со свободным доступом к воде и стандартному корму. Для исключения влияния суточных биоритмов на скорость биосинтеза и метаболизма нейромедиаторов эксперименты проводили между 10.00 и 12.00.
Вальпроат натрия (ВН) вводили однократно, подкожно в дозе 400 мг/кг самкам мышей на 12.5 день беременности. Самки мышей, потомство которых составило контрольную группу, в эти же сроки получали физиологический раствор в эквивалентном объеме (0.1 мл на 10 г веса). Новорожденных мышат-самок (32 особи: 12 контрольных и 20 пренатально получавших ВН) отлучали от самок на 21-е сутки жизни, рассаживая по 4-5 животных в клетку (43.5 × 27.5 × 15.5 см).
Животные были разделены на следующие экспериментальные группы (в скобках указано количество животных).
- Контроль (потомство интактных самок, получавших физиологический раствор):
1а. Группа Р15 (n = 4), 1б. Группа Р42 (n = 4), 1в. Группа Р64 (n = 4).
- Опыт (потомство самок, получавших ВН): 2а. Группа Р15ВН (n = 8), 2б. Группа Р42ВН (n = 6), 2в. Группа Р64ВН (n = 6).
На 15-й и 64-й день ПНР животных декапитировали, после чего структуры мозга (фронтальная кора (ФК), гипоталамус, стриатум и гиппокамп) извлекали на льду, замораживали в жидком азоте и взвешивали. Пробы хранили в жидком азоте. Перед экспериментами по определению содержания нейротрансмиттеров пробы размельчали в гомогенизаторе Поттера (тефлон-стекло) в 1 мл 0.1 н HСlO4 с добавлением 3,4-диоксибензиламина (0.5 нмоль/мл) в качестве внутреннего стандарта. Пробы центрифугировали при 10000g в течение 10 мин. Содержание моноаминов и их метаболитов (норадреналина (НА), дофамина (ДА), 3,4-диоксифенилуксусной кислоты (ДОФУК), гомованилиновой кислоты (ГВК), серотонина (5-окситриптамина, 5-ОТ) и 5-оксииндолуксусной кислоты (5-ОИУК)) определяли методом высокоэффективной жидкостной хроматографии с электрохимической детекцией (ВЭЖХ/ЭД) на хроматографе LC-304T (ВАS, США) с аналитической колонкой ReproSil-PurODS (C18, 100 × 4 мм, 3 мкм) (Dr. Maisch, Германия), при скорости элюции подвижной фазы 1.0 мл/мин и давлении до 200 атм [19]. Мобильная фаза состояла из следующих компонентов: 0.1 M цитратно-фосфатного буфера, содержащего 1.1 mMоктансульфоновой кислоты, 0.1 mM ЭДТА и 9% ацетонитрила (pH 3.0). Измерение проводили с помощью электрохимического детектора LC-4B (BAS, США) на двойном стеклоугольном электроде (+0.85 V) против электрода сравнения Ag/AgCl. Регистрация образцов проводилась с применением аппаратно-программного комплекса “Мультихром 1.5” (“Амперсенд”, Москва, Россия). Все использовавшиеся для анализа реактивы были высокой степени чистоты: о.с.ч. или analyticalgrade.
После проверки на нормальность распределения по критерию Шапиро—Уилка достоверность отличий между группами определяли методом двухфакторного дисперсионного анализа (АNOVA) с последующим post-hoc-тестом Ньюмана—Кейлса, используя в качестве анализируемых факторов возраст животных и используемые вещества (GraphPadPrizm 8.0, GraphPadSoftware, Inc., USA).
РЕЗУЛЬТАТЫ ИССЛЕДОВАНИЯ
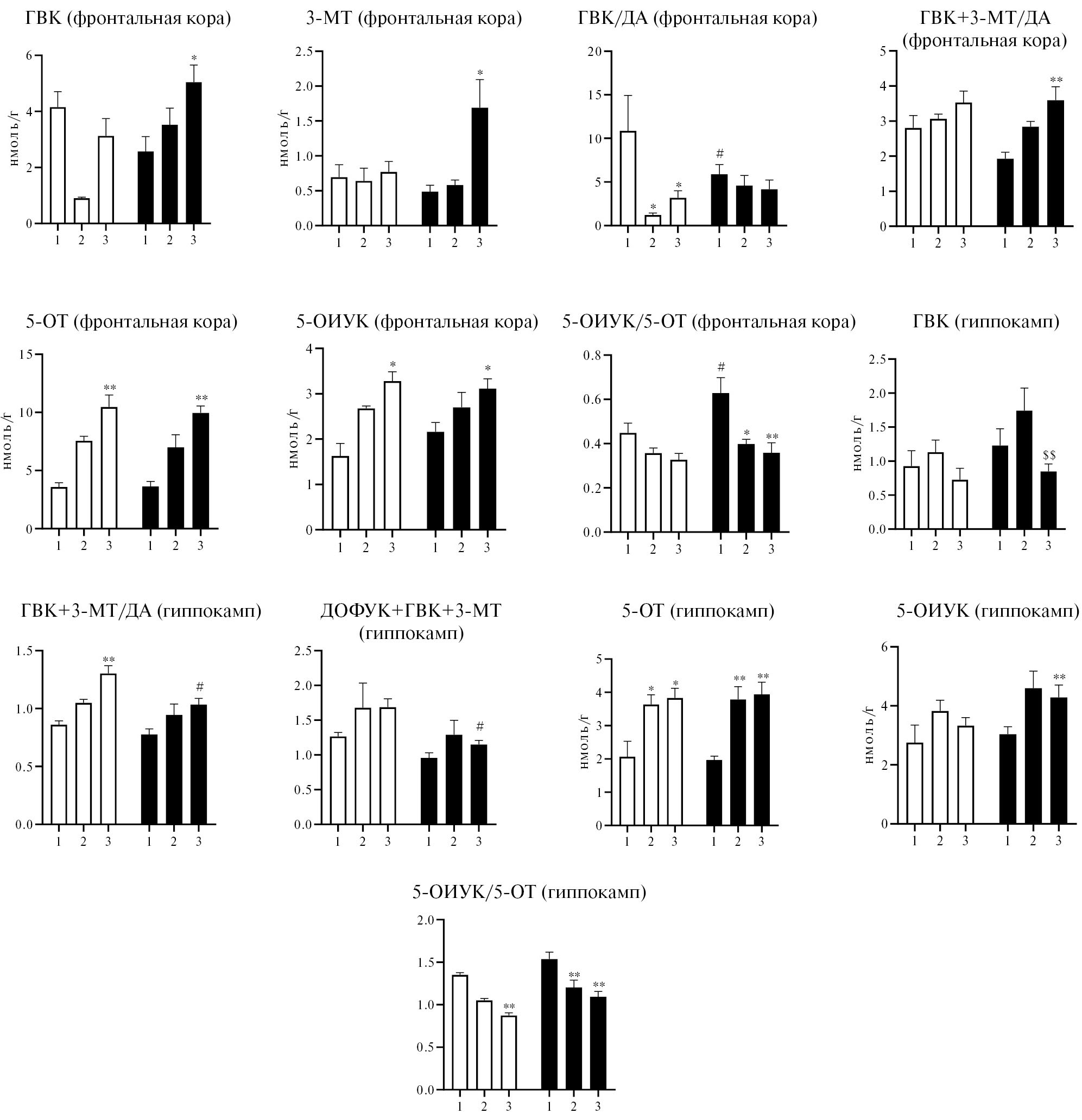
Было показано, что на 15-й день ПНР мышат нейрохимический профиль структур мозга существенно отличается от показателей зрелых животных (возраст 64 дня). При этом отличия носили разнонаправленный характер. Так, содержание ДА в стриатуме мышат-самок в возрасте Р15 было существенно (более чем в 2 раза) ниже по сравнению с тем же показателем у зрелых мышей (рис. 1). Величина показателей скорости метаболизма ДА-ДОФУК/ДА и ДОФУК/ДА была значительно выше аналогичного показателя контрольной группы. Показатели активности серотонинергической системы — уровень 5-ОТ и его метаболита 5-ОИУК были также ниже, чем у взрослых животных (группа Р64), соответственно показатель 5-ОИУК/5-ОТ более чем в 2 раза превышал значения контрольных групп. Существенно более низкое содержание 5-ОТ и 5-ОИУК наблюдалось также в гиппокампе (рис. 2) и гипоталамусе (см. рис. 1). В последней структуре более чем в 3 раза была понижена и концентрация ДА.
Рис. 1. Динамика изменения метаболизма моноаминов в гипоталамусе и стриатуме мышей самок линии BALB/C, матерям которых вводили вальпроат натрия (400 мг/кг, п/к). Белый цвет — контроль, черный цвет — вальпроат натрия. Цифрами обозначен возраст животных: 1 — 15 дней, 2 — 42 дня, 3 — 64 дня; * —р < 0.05; ** — р < 0.05; *** — р < 0.05. Данные представлены как M ± SEM, статистический анализ проводили по двухфакторному дисперсионному анализу (факторы: 1) возраст и 2) эффект веществ) с последующим post-hoc-тестом по критерию Ньюмена—Кейлса. Возраст: 1 — 15 дней, 2 — 45 дней, 3 — 65 дней; * — p < 0.05; ** — p < 0.01 по сравнению с тем же веществом у крыс 15-дневного возраста; # — p < 0.05; ## — p < 0.01 по сравнению с контролем того же возраста; $ — p < 0.05; $$ — p < 0.01 по сравнению с тем же веществом у крыс 45-дневного возраста.
К 42-му дню ПНР отличия нейрохимических показателей мозга потомства контрольной группы в значительной степени нивелировались и значения параметров приближались по величине к значениям параметров зрелых животных, что свидетельствует об окончании созревания основных нейротрансмиттерных систем мозга и их взаимоотношений к этому моменту. Даже отмечалось превышение содержания нейротрансмиттеров в мозге контроля Р64 (содержание ГВК и 3-МТ (незначительно) в стриатуме) (см. рис. 1).
Иная картина онтогенетических изменений нейрохимических параметров структур мозга наблюдалась в группе мышей, матерям которых на ранней стадии беременности (12.5 дней) вводили вальпроат натрия в большой дозе (400 мг/кг). Показатели группы мышат Р15 практически не отличались от величин уровней нейротрансмиттеров в соответствующих структурах мозга животных группы контроля (0.9% NaCl). Исключение составил только стриатум, в котором концентрации ДА и 5-ОТ, а также их метаболитов — ДОФУК, ГВК и 5-ОИУК были понижены (см. рис. 1). Содержание моноаминов в структурах мозга группы Р42 существенно не отличалось от концентрации нейротрансмиттеров той же группы интактного контроля. Интересно отметить, что если показатели ДА-ергической нейропередачи были ниже, чем у взрослых мышей (ДОФУК/ДА в ФК (см. рис. 2), уровни ДА и 3-МТ в стриатуме (см. рис. 1)), показатель скорости утилизации 5-ОТ — 5-ОИУК/5-ОТ — был более высоким во всех изученных структурах мозга. Нейрохимические профили взрослых животных: группы Р64 контроля и мышей, чьи матери получали вальпроат, — группа Р64ВН, существенно различались. У мышей группы Р64ВН по сравнению с контролем было выше содержание ДА в ФК, гипоталамусе (см. рис. 1) и гиппокампе (см. рис. 2), а также ДОФУК в гиппокампе и стриатуме. Параметры серотонинергической системы также были повышены в группе Р64ВН по сравнению с группой Р64 контроля (0.9% NaCl): наблюдалось увеличение содержания 5-ОТ в гипоталамусе и гиппокампе, 5-ОИУК в стриатуме, кроме того, отмечался рост показателя метаболизма 5-ОИУК/5-ОТ в гипоталамусе, гиппокампе и стриатуме (см. рис. 1 и 2).
Рис. 2. Динамика изменения метаболизма моноаминов во фронтальной коре и гиппокампе мышей самок линии BALB/C, матерям которых вводили вальпроат натрия (400 мг/кг, п/к). Белый цвет — контроль, черный цвет — вальпроат натрия. Цифрами обозначен возраст животных: 1 — 15 дней, 2 — 42 дня, 3 — 64 дня; * — р < 0.05; ** — р < 0.05; *** — р < 0.05. Данные представлены как M ± SEM, статистический анализ проводили по двухфакторному дисперсионному анализу (факторы: 1) возраст и 2) эффект веществ) с последующим post-hoc-тестом по критерию Ньюмена—Кейлса. Возраст: 1 — 15 дней, 2 — 45 дней, 3 — 65 дней; * — p < 0.05; ** — p < 0.01 по сравнению с тем же веществом у крыс 15-дневного возраста; # — p < 0.05; ## — p < 0.01 по сравнению с контролем того же возраста; $ — p < 0.05; $$— p < 0.01 по сравнению с тем же веществом у крыс 45-дневного возраста.
Таким образом, пренатальное введение вальпроата натрия вызывало снижение всех параметров моноаминергической нейропередачи в стриатуме потомства мышей в возрасте 15 дней (группа Р15ВН), но не оказывало влияния на нейрохимические изменения в других изученных структурах мозга. К 42-му дню ПНР общий паттерн изменения концентраций нейротрансмиттеров не отличался от динамики созревания нейротрансмиттерных систем контрольной группы. В дальнейшем уровень ДА у мышей группы ВН возрастал и к 64-му дню ПНР не отличался от показателей контрольной группы. Параметры серотонинергической системы изменялись по сходной схеме, при этом содержание серотонина у мышей группы ВН достигало максимума к 42-му дню, после чего незначительно снижалось к 64-му дню, тогда как уровень 5-ОИУК в стриатуме увеличивался постепенно и максимальные отличия наблюдались к 64-му дню ПНР. Показатели мышат группы Р15ВН практически не отличались от величин уровней нейротрансмиттеров в соответствующих структурах мозга половозрелых животных контрольной группы Р64 (0.9% NaCl). Исключение составил только стриатум, в котором были понижены концентрации и ДА и 5-ОТ, а также их метаболитов — ДОФУК, ГВК и 5-ОИУК соответственно.
ОБСУЖДЕНИЕ
Полученные данные позволяют полагать, что введение ВН беременным самкам мышей линии BALB/c отражается на активности дофамин- и серотонинергической систем мозга потомства (самки), вызывая снижение их тонуса в стриатуме к 15-му дню ПНР с последующим восстановлением до контрольных значений к 64-му дню ПНР.
Следует отметить, что большая часть публикаций, посвященных исследованию особенностей вальпроатной модели аутизма, касается либо изучения электрофизиологических параметров нейронов [20], либо определения содержания нейротрансмиттеров в микродиализных образцах [21, 22]. Комплексное изучение влияния ВН на содержание моноаминов и их метаболитов в различных структурах мозга до настоящего времени практически не проводилось. Сравнительно недавно появился ряд работ, выполненных коллективом Hara Y. и соавт., посвященных изучению влияния ВН на параметры ДА-ергической нейропередачи [23]. Если на первых этапах исследований этой группы влияния ВН на содержание ДА, НА и 5-ОТ в ПФК и стриатуме потомства животных с РАС обнаружить не удалось [23], то в дальнейшем ими было продемонстрировано снижение активности ДА-ергической системы в ПФК в условиях данной модели [24, 25]. Другими авторами было обнаружено снижение активности тирозингидроксилазы, ключевого фермента, регулирующего скорость синтеза ДА, в стриатуме потомства мышей с РАС [26]. В ряде работ описано снижение уровня ДА и в других структурах мозга животных с РАС, в частности, гиппокампе и среднем мозге [27]. С другой стороны, в некоторых публикациях было показано увеличение содержания ДА и снижение показателя ДОФУК/ДА в стриатуме 27-дневных самок, матерям которых вводили вальпроат [28]. В той же работе было обнаружено сходное возрастание также во фронтальной коре и мозжечке. Различия во влиянии вальпроата на содержания ДА в структурах мозга потомства объясняют разным уровнем экспрессии в структурах мозга в ходе постнатального созревания различных сигнальных молекул, включая рецепторы ДА, разной скоростью ацетилирования транспортера ДА DAT, а также влиянием внешних факторов, таких как стрессирование, социальная изоляция и др. [28–30].
В то же время влияние ВН на динамику изменений активности нейротрансмиттерных систем мозга в онтогенезе до настоящего времени не изучалось. Известна работа Adam A. и соавт., посвященная иммуноцитохимическому и морфологическому гистохимическому изучению состояния дофаминергической системы мозга потомства самок мышей возрастом 7 дней, получавших ВН [31]. Авторами было показано отсутствие каких-либо изменений содержания ДА в структурах нигростриарной системы (вентральная область покрышки, дорсолатеральный стриатум) при существенном уменьшении количества дофаминсодержащих нейронов в образованиях, относящихся к мезолимбической системе (прилежащее ядро) [31]. По всей видимости, срок между 7-м и 15-м днями ПНР является ключевым для проявления изменений активности дофаминергической системы стриатума, вызванного ВН. Сравнительно недавно (11.2022) появилась публикация коллектива Maisterrena A. и соавт., в которой динамика изменений состояния дофаминергической системы мозга потомства мышей C57BL/6J обеих полов в условиях вальпроатной модели изучалась методом ВЭЖХ/ЭД [32]. Было выявлено незначительное снижение содержания ДА с соответствующим увеличением величины соотношения ДОФУК/ДА в дорзальном стриатуме самок. При этом у потомства мужского пола такого снижения не наблюдалось. Не отмечалось также и эффектов вальпроата на содержание ДА и его метаболитов в других структурах мозга (прилежащее ядро, средний мозг). Приведенные в этой публикации данные в целом согласуются с результатами нашего исследования. Однако необходимо отметить, что эта работа была проведена на мышах линии C57BL/6J, тогда как нами использовались мыши линии BALB/с. Кроме того, в упомянутой выше статье не проводилось изучение динамики изменения нейрохимических параметров на различных этапах ПНР новорожденных мышат. Животных декапитировали только на 45-й день развития, т.е. тогда, когда по нашим данным, нейрохимические показатели опытной группы мышей, чьим матерям вводили вальпроат, уже были компенсированы и существенно не отличались от значений параметров контрольной группы. Кроме того, эффекты вальпроата на содержание серотонина и его метаболита 5-ОИУК коллективом Maisterrena A. и соавт. [32] не изучались, хотя, по данным опубликованной нами ранее работы [16], содержание этих нейротрансмиттеров в стриатуме увеличивалось постепенно и максимальные отличия от контрольной группы наблюдались к 64-му дню ПНР, т.е. к возрасту половой зрелости.
ЗАКЛЮЧЕНИЕ
Таким образом, полученные нами данные позволяют полагать, что введение вальпроата натрия беременным самкам мышей линии BALB/с приводит к снижению активности дофамин- и серотонинергической систем в стриатуме потомства к 15-му дню ПНР с последующим восстановлением до соответствующих значений у мышей интактной контрольной группы взрослого возраста к 64-му дню ПНР.
ИСТОЧНИК ФИНАНСИРОВАНИЯ
Работа выполнена в рамках бюджетной тематики ФГБНУ “НИИ Фармакологии имени В.В. Закусова” (тема FGFG-2022-0004 “Поиск и разработка новых фармакологических средств лечения эпилепсии, расстройств аутистического спектра и болезни Паркинсона”).
СОБЛЮДЕНИЕ ЭТИЧЕСКИХ НОРМ
Конфликт интересов. Авторы заявляют, что у них нет конфликта интересов.
Этическое одобрение. Организация и проведение работ осуществлялись в соответствии с протоколом Совета Евразийской экономической комиссии от 3 ноября 2016 г. № 81 “Об утверждении Правил надлежащей лабораторной практики Евразийского экономического союза в сфере обращения лекарственных средств”. Проведение экспериментов одобрено Комиссией по биомедицинской этике ФГБНУ “НИИ фармакологии имени В.В. Закусова” (протокол № 1 от 2021 г.).
Об авторах
В. С. Кудрин
ФГБНУ “ФИЦ оригинальных и перспективных биомедицинских и фармацевтических технологий”
Email: narvik@yandex.ru
Россия, Москва
В. Б. Наркевич
ФГБНУ “ФИЦ оригинальных и перспективных биомедицинских и фармацевтических технологий”
Автор, ответственный за переписку.
Email: narvik@yandex.ru
Россия, Москва
А. А. Алымов
ФГБНУ “ФИЦ оригинальных и перспективных биомедицинских и фармацевтических технологий”
Email: narvik@yandex.ru
Россия, Москва
И. Г. Капица
ФГБНУ “ФИЦ оригинальных и перспективных биомедицинских и фармацевтических технологий”
Email: narvik@yandex.ru
Россия, Москва
К. А. Касабов
ФГБНУ “ФИЦ оригинальных и перспективных биомедицинских и фармацевтических технологий”
Email: narvik@yandex.ru
Россия, Москва
П. Л. Наплекова
ФГБНУ “ФИЦ оригинальных и перспективных биомедицинских и фармацевтических технологий”
Email: narvik@yandex.ru
Россия, Москва
Н. В. Кудряшов
ФГБНУ “ФИЦ оригинальных и перспективных биомедицинских и фармацевтических технологий”
Email: narvik@yandex.ru
Россия, Москва
Т. А. Воронина
ФГБНУ “ФИЦ оригинальных и перспективных биомедицинских и фармацевтических технологий”
Email: narvik@yandex.ru
Россия, Москва
Список литературы
- Moreno-Fuenmayor H., Borjas L., Arrieta A., Valera V., Socorro-Candanoza L. // Invest. Clin. 1996. V. 37. P. 113-28.
- Shimmura C., Suda S., Tsuchiya K.J., Hashimoto K., Ohno K., Matsuzaki H., Iwata K., Matsumoto K., Wakuda T., Kameno Y., Suzuki K., Tsujii M., Nakamura K., Takei N., Mori N. // PLoS One. 2011. V. 6. e25340. doi: 10.1371/journal.pone.0025340.
- Adamsen D., Meili D., Blau N., Thöny B., Ramaekers V. // Mol. Genet. Metab. 2011. V. 102. P. 368—373. doi: 10.1016/j.ymgme.2010.11.162.
- Devlin B., Cook E.H. Jr., Coon H., Dawson G., Grigorenko E.L., McMahon W., Minshew N., Pauls D., Smith M., Spence M.A., Rodier P.M., Stodgell C., Schellenberg G.D. // Mol. Psychiat. 2005. V. 10. P. 1110—1116. doi: 10.1038/sj.mp.4001724.
- Kistner-Griffin E., Brune C.W., Davis L.K., Sutcliffe J.S., Cox N.J., Cook E.H. Jr. // Am. J. Med.Genet. 2011. V. 156. P. 139—144.
- Margoob M.A., Mushtaq D. // Indian J. Psychiat. 2011. V. 53. P. 289—299.
- Castelli M., Nigrelli D., Gorina A.S., Laumonnier F., Bertolino G. // Rivista di Psichiatr. 2000. V. 40. P. 39—44.
- Aman M.G., Kern R.A. // J. Am. Acad. Child. Adolesc. Psychiatr. 1989. V. 28. P. 549—565.
- Martineau J., Barthelemy C., Jouve J., Muh J.P., Lelord G. // Dev. Med. Child. Neurol. 1992. V. 34. P. 593—603.
- Горина А.С., Колесниченко Л.С. // Международн. журн. по иммунореабилитации. 1999. Т. 2. С. 119—123.
- Горина А.С., Колесниченко Л.С., Михнович В.И. // Биомед. химия. 2011. Т. 57. С. 562—570.
- Незнамов Г.Г., Сюняков С.А., Чумаков Д.В., Маметова Л.Э. // Ж. неврол. психиатр. им. С.С. Корсакова. 2005. Т. 105. С. 35—40.
- Середенин С.Б., Молодавкин Г.М., Воронин М.В., Воронина Т.А. // Экспер. клин. фармакол. 2009. Т. 72. № 1. С. 3—11.
- Незнамов Г.Г., Сюняков С.А., Чумаков Д.В., Маметова Л.Э. // Экспер. клин. фармакол. 2001. Т. 64. № 2. С. 15—19.
- Середенин С.Б., Крайнева В.А. // Экспер. клин. фармакол. 2009. Т. 72. № 1. С. 24—26.
- Кудрин В.С., Наркевич В.Б., Алымов А.А., Капица И.Г., Касабов К.А., Кудряшов Н.В., Коньков В.Г., Воронина Т.А. // Нейрохимия. 2021. Т. 38. № 1. С. 52—58.
- Narita N., Kato M., Tazoe M., Miyazaki K., Narita M., Okado N. // Pediatr Res. 2002. V. 52. P. 576—579.
- Bossu J.L., Roux S. // Med Sci (Paris). 2019. V. 35. P. 236—243. doi: 10.1051/medsci/2019036.
- Надорова А.В., Колик Л.Г., Клодт П.М., Наркевич В.Б., Наплекова П.Л., Козловская М.М., Кудрин В.С., Середенин С.Б. // Нейрохимия. 2014. Т. 31. № 2. С. 1—7.
- Antonopoulos J., Dori I., Dinopoulos A., Chiotelli M., Parnavelas J. // Neurosci. 2002. V. 110. P. 245—256.
- Brumback A.C., Ellwood I.T., Kjaerby C., Iafrati J., Robinson S., Lee A.T., Patel T., Nagaraj S., Davatolhagh F., Sohal V.S. // Mol. Psychiat. 2018. V. 23. P. 2078—2089. doi: 10.1038/mp.2017.213.
- Nakasato A., Nakatani Y., Seki Y., Tsujino N., Umino M., Arita H. // Brain Res. 2008. V. 1193. P. 128—135. doi: 10.1016/j.brainres.2007.11.043.
- Hara Y. // Yakugaku Zasshi (Jap.). 2019. V. 139. P. 1391—1396. doi: 10.1248/yakushi.19-00131.
- Hara Y., Takuma K., Takano E., Katashiba K., Taruta A., Higashino K., Hashimoto H., Ago Y., Matsuda T. // Behav. Brain Res. 2015. V. 289. P. 39—47. doi: 10.1016/j.bbr.2015.04.022.
- Hara Y., Ago Y., Taruta A., Hasebe Sh., Kawase H., Tanabe W., Tsukada Sh. // Psychopharmacol. (Berl.). 2017. V. 234. P. 3217—3228. doi: 10.1007/s00213-017-4703-9.
- Cezar L.C., Kirsten T.B., da Fonseca C.C.N., de Lima A.P.N., Bernard M.M., Felicio L.F. // Prog. Neuropsychopharmacol. Biol. Psychiat. 2018. V. 84. P. 173—180. doi: 10.1016/j.pnpbp.2018.02.008.
- Narita N., Kato M., Tazoe M., Miyazaki K., Narita M., Okado N. // Pediatr. Res. 2002. V. 52. P. 576—579. doi: 10.1203/00006450-200210000-00018.
- Acosta J., Campolongo M.A., Hocht C., Depino A.M., Golombek D.A., Agostino P.V. // Eur. J. Neurosci. 2018. V. 47. P. 619—630. doi: 10.1111/ejn.13621.
- Kuo H.-Y., Liu F.-C. // Biomedicines. 2022. V. 10. P. 560—585. DOI: 10.3390 /biomedicines10030560.
- Al Sagheer T., Haida O., Balbous A., Matas E., Fernagut P.-O., Jaber M. // Int. J. Neuropsychopharmacol. 2018. V. 21. P. 871—882. doi: 10.1093/ijnp/pyy043.
- Adam A., Kemecsei R., Company V., Murcia-Ramon R., Juarez I., Gerecsei L., Zachar G., Echevarria D., Puelles E., Martinez S., Csillag A. // Front Neuroanat. 2020. V. 14. P. 29. doi: 10.3389/fnana.2020.00029. Epub 2020 Jun 5.
- Maisterrena A., Emmanuel Matas E., Mirfendereski H., Anais Balbous A., Marchand S., Jaber M. // Biomolecules. 2022. V. 12. P. 1691. doi: 10.3390/biom12111691.
Дополнительные файлы





