Особенности моделирования течений наножидкостей (обзор)
- Авторы: Рудяк В.Я.1
-
Учреждения:
- Новосибирский государственный архитектурно-строительный университет
- Выпуск: № 5 (2024)
- Страницы: 59-76
- Раздел: Статьи
- URL: https://journals.rcsi.science/1024-7084/article/view/283867
- DOI: https://doi.org/10.31857/S1024708424050069
- EDN: https://elibrary.ru/NQVZLW
- ID: 283867
Цитировать
Аннотация
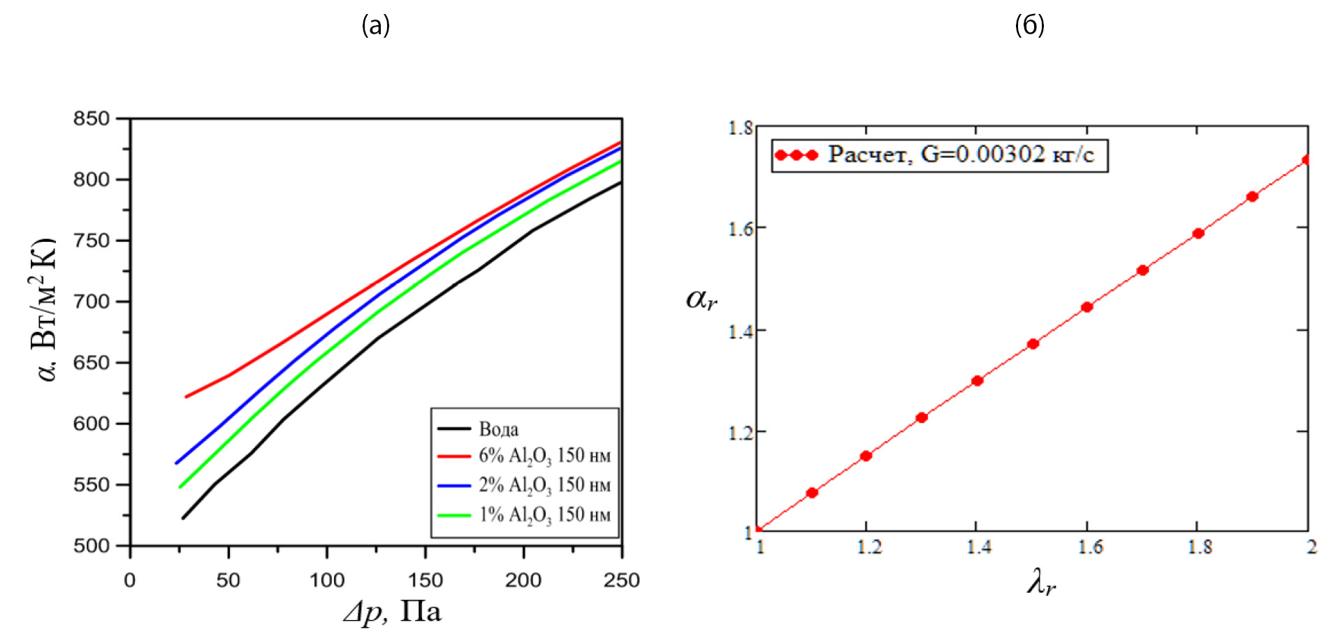
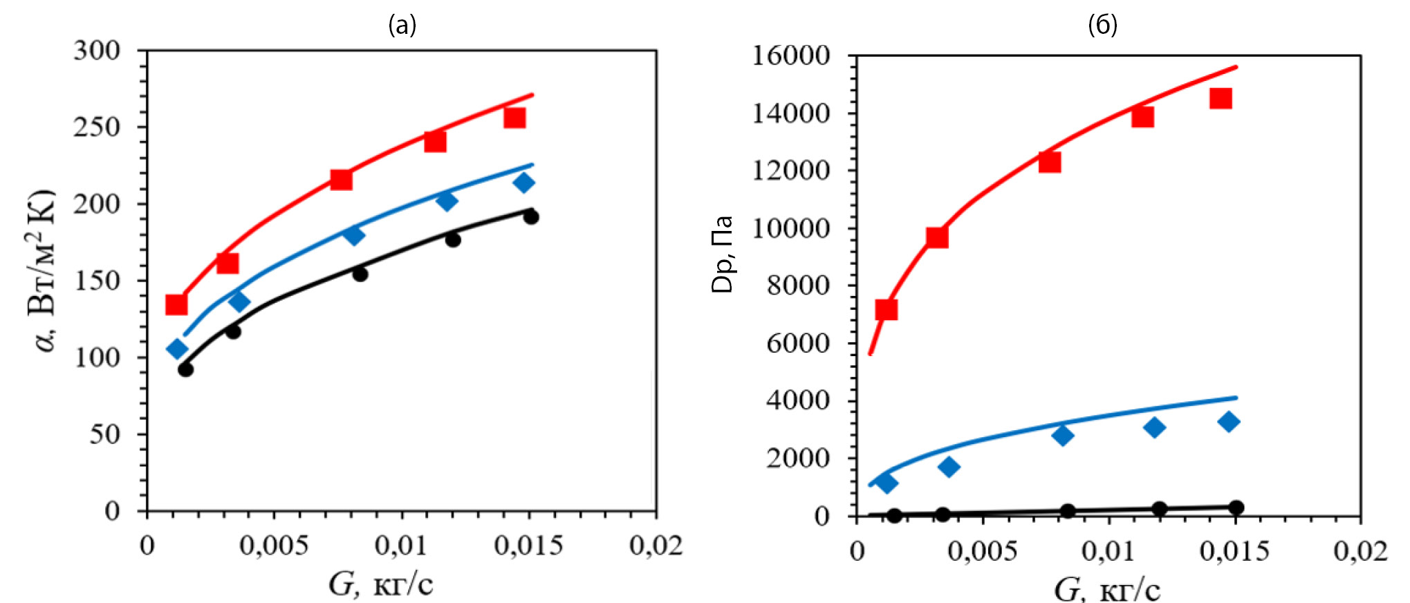
Обсуждаются проблемы, возникающие при моделировании наножидкостей. Анализируется возможность применения двухжидкостного и одножидкостного описаний. Дан обзор теплофизических свойств наножидкостей и показано, что их вязкость и теплопроводность зависят не только от концентрации наночастиц, но также от их размера и материала. Подробно изучается поведение параметров подобия, их зависимость от концентрации, размера и материала наночастиц. Показано, что в общем случае невозможно решать задачу просто варьируя параметры подобия. Приведены два примера решения задачи о теплоотдаче двух разных наножидкостей, с обычными сферическими наночастицами и с углеродными нанотрубками. В последнем случае наножидкость является неньютоновской. Показано, что наножидкости позволяют получить очень высокие значения превышения коэффициента теплоотдачи.
Ключевые слова
Полный текст
Об авторах
В. Я. Рудяк
Новосибирский государственный архитектурно-строительный университет
Автор, ответственный за переписку.
Email: valery.rudyak@mail.ru
Россия, Новосибирск
Список литературы
- Рахматулин Х.А. Основы газодинамики взаимопроникающих движений сжимаемых сред // ПММ. 1956. Т. 20. № 2. С. 184–195.
- Соу С. Гидродинамика многофазных систем. М.: Мир, 1971. 536 с.
- Хаппель Дж., Бреннер Г. Гидродинамика при малых числах Рейнольдса. М.: Мир, 1976. 632 с.
- Нигматулин Р.И. Динамика многофазных сред. Ч.I. М.: Наука. 1987. 464 с.
- Maxwell J.C. A treatise on electricity and magnetism. Oxford: Clarendon Press, 1881. 425 p.
- Einstein A. Eine neue bestimmung der moleküldimensionen // Ann. Phys. 1906. Bd. 324. № 2. S. 289–306.
- Murshed S.M.S., de Castro C.A.N. Nanofluids: synthesis, properties and applications. New York: NOVA Science Publishers, 2014. 278 p.
- Li J., Zhang X., Xu B., Yuan V. Nanofluid research and applications: A review // Int. Communications Heat Mass Transfer. 2021. V. 127. P. 105543.
- Zhao J., Huang Y., He Y., Shi Y. Nanolubricant additives: A review // Friction. 2021. V. 9. № 5. P. 891–917.
- Kaggwa A., Carson J.K. Developments and future insights of using nanofluids for heat transfer enhancements in thermal systems: a review of recent literature // Int. Nano Lett. 2019. V. 9. № 4. P. 277–88.
- Osiptsov A.N. Development of full Lagrangian approach for modeling dilute dispersed media flows (a review) // Fluid Dynamic. 2024. V. 59. № 1. P. 1–48.
- Рудяк В.Я. Нелокальное решение уравнения Больцмана // ЖТФ. 1995. Т. 65. № 11. С. 29–40.
- Рудяк В.Я., Белкин А.А. Уравнения многожидкостной гидродинамики // Мат. моделирование. 1996. Т.8. № 6. С. 33–37.
- Рудяк В.Я. Статистическая аэрогидромеханика. Т. 2. Гидромеханика. Новосибирск: НГАСУ, 2005. 468 c.
- Boungiorno J. Convective transport in nanofluids // J. Heat Transfer. 2006. V. 128. P. 240–250.
- Ryzhkov I.I., Minakov A.V. The effect of nanoparticle diffusion and thermophoresis on convective heat transfer of nanofluid in a circular tube // Int. J. Heat Mass Transfer. 2014. V. 77. P. 956–969.
- Гузей Д.В., Минаков А.В., Рудяк В.Я. Численное моделирование вынужденной конвекции наножидкости при ее ламинарном течении с учетом термодиффузии // ИФЖ. 2022. Т. 95. № 2. С. 526–536.
- Zhou S-Q, Ni R. Measurement of the specific heat capacity of water-based Al2O3 nanofluid // Appl. Phys. Lett. 2008. V. 92. P. 093123.
- Minakov A.V., Rudyak V.Yа., Pryazhnikov M.I. Rheological behavior of water and ethylene glycol nanofluids with oxide nanoparticles // Colloids and Surfaces A: Physicochemical and Engineering Aspects. 2018. V. 554. P. 279–285.
- Rudyak V.Ya. Thermophysical characteristics of nanofluids and transport process mechanisms // J. Nanofluids. 2019. V. 8. P. 1–16.
- Murshed S.M.S., Estellé P. A state of the art, review on viscosity of nanofluids // Renewable Sustainable Energy Reviews. 2017. V. 76. P. 1134–1152.
- Koca D.H., Doganay S., Turgut A., Tavman I.H., Saidurd R., Mahbubulf I.M. Effect of particle size on the viscosity of nanofluids: A review // Renewable and Sustainable Energy Reviews. 2018. V. 82. P. 1664–1674.
- Rudyak V.Ya. Features of transport processes of nanofluids // Interfacial Phenomena and Heat Transfer. 2021. V. 9. № 2. P. 29–50.
- Said Z., Sundar L.S., Tiwari A.K., Ali H.M., Sheikholeslami M., Bellos E., Babar H. Recent advances on the fundamental physical phenomena behind stability, dynamic motion, thermophysical properties, heat transport, applications, and challenges of nanofluids // Physics Reports. 2022. V. 946. № 2. P. 1–94.
- Ambreen T., Kim M.H. Influence of particle size on the effective thermal conductivity of nanofluids: A critical review // Appl. Energy. 2020. V. 264. № 16. P. 114684.
- Gonçalves I., Souza R., Coutinho G., Miranda J., Moita A., Pereira J. E., Moreira A., Lima R. Thermal conductivity of nanofluids: A review on prediction models, controversies and challenges // Applied Sciences. 2021. V. 11. № 6. P. 2525.
- Batchelor G.K. The effect of Brownian motion on the bulk stress in a suspension of spherical particles // J. Fluid Mech. 1977. V. 83. № 1. P. 97–117.
- Pak B.C., Cho Y.I. Hydrodynamic and heat transfer study of dispersed fluids with submicron metallic oxide particles // Experimental Heat Transfer. 1998. V. 11. Pp. 151–170.
- Maı̈ga S.E.B., Nguyen C.T., Galanis N., Roy G. Heat transfer behaviors of nanofluids in a uniformly heated tube // Superlattices and Microstructures. 2004. V. 35. № 3–6. P. 543–557.
- Chen H., Ding Y., Tan C. Rheological behavior of nanofluids // New J. Physics. 2007. V. 9. P. 367.
- Minakov A.V., Rudyak V.Ya., Pryazhnikov M.I. Systematic experimental study of the viscosity of nanofluids // Heat Transfer Engineering. 2020. V. 41, № 5. P. 457–460.
- Рудяк В.Я., Минаков А.В., Пряжников М.И. Теплофизические свойства наножидкостей и критерии подобия // Письма в ЖТФ. 2016. Т. 42. № 24. С. 9–16.
- Colla L., Fedele L., Scattolini M., Bobbo S. Water-based Fe2O3 nanofluid characterization: Thermal conductivity and viscosity measurements and correlation // Advances Mech. Eng. 2012. V. 2012. Article ID 674947.
- Ho C.J., Wei L.C., Li Z.W. An experimental investigation of forced convective cooling performance of a microchannel heat sink with Al2O3/water nanofluid // Appl. Therm. Eng. 2010. V. 30. № 2–3. P. 96–103.
- Лобасов А.С., Минаков А.В., Рудяк В.Я. Изучение режимов смешения жидкости и наножидкости в Т-образном микромиксере // ИФЖ. 2018. Т. 91. № 1. С. 133–145.
- Рудяк В.Я., Димов С.В., Кузнецов В.В., Бардаханов С.П. Измерение коэффициента вязкости наножидкости на основе этиленгликоля с частицами двуокиси кремния // Доклады Академии наук. 2013. Т. 450. № 1. С. 43–46.
- Rudyak V.Ya., Belkin A.A., Krasnolutskii S.L. Molecular dynamics modelling transport processes of fluids and nanofluids in bulk and nanochannels // Advances in Molecular Dynamics Simulations Research / S. Kȍhler ed. New York: Nova science publisher, 2021. P. 1–86.
- Rudyak V.Ya., Krasnolutskii S.L. Dependence of the viscosity of nanofluids on nanoparticle size and material // Phys. Lett. A. 2014. V. 378. P. 1845–1849.
- Рудяк В.Я., Минаков А.В., Сметанина М.С., Пряжников М.И. Экспериментальные данные о зависимости вязкости наножидкостей на основе воды и этиленгликоля от размера и материала частиц // Доклады Академии наук. 2016. Т. 467. № 3. С. 289–291.
- Namburu P.K., Kulkarni D.P., Dandekar A., Das D.K. Experimental investigation of viscosity and specific heat of silicon dioxide nanofluids // Micro & Nano Letters. 2007. V. 2, № 3. P. 67–71.
- Nguyen C.T., et al. Viscosity data for Al2O3-water nanofluid–hysteresis: is heat transfer enhancement using nanofluids reliable? // Int. J. Therm. Sci. 2008. Vol. 47. P. 103–111.
- Rudyak V.Ya., Dimov S.V., Kuznetsov V.V. On the dependence of the viscosity coefficient of nanofluids on particle size and temperature // Technical Phys. Lett. 2013. V. 39. № 9. P. 779–782.
- Rudyak V.Ya., Pryazhnikov M.I., Minakov A.V. Thermal conductivity, rheology and electrical conductivity of water- and ethylene glycol-based nanofluids with copper and aluminum particles // Physical Mesomechanics. 2024. V. 27. № 2. P. 205–216.
- Pryazhnikov M.I., Minakov A.V., Rudyak V.Yа., Guzei D.V. Thermal conductivity measurements of nanofluids // Int. J. Heat Mass Transfer. 2017. V. 104. № 1. P. 1275–1282.
- Zhu H.T., Zhang C.Y., Tang Y.M., Wang J.X. Novel synthesis and thermal conductivity of CuO nanofluid // J. Phys. Chem. C. 2007. V. 111. № 4. P. 1646–1650.
- Li X., Zou C., Zhou L., Qi A. Experimental study on the thermo-physical properties of diathermic oil based SiC nanofluids for high temperature applications // Int. J. Heat Mass Transfer. 2016. V. 97. P. 631–637.
- Rudyak V. Ya., Belkin A. A., Tomilina E. A. Force acting on nanoparticle in fluid // Technical Phys. Lett. 2008. V. 34. № 6. P. 519–521.
- Ceotto D., Rudyak V.Ya. Phenomenological formula for thermal conductivity coefficient of water-based nanofluids // Colloid J. 2016. V. 78. № 4. P. 509–514.
- Rudyak V.Ya., Minakov A.V., Gavrilov A.A., Dekterev A.A. Application of new numerical algorithm of solving the Navier — Stokes equations for modeling the work of a viscometer of the physical pendulum type // Thermophysics & Aeromech. 2008. V. 15. № 2. P. 333–345.
- Gavrilov A.A., Minakov A.V., Dekterev A.A., Rudyak V.Ya. A numerical algorithm for modeling laminar flows in an annular channel with eccentricity // J. Applied Industrial Math. 2011. V. 5. № 4. P. 1–12.
- Гаврилов A.A., Минаков А.В., Дектерев A.A., Рудяк В.Я. Численный алгоритм для моделирования установившихся ламинарных течений неньютоновских жидкостей в кольцевом зазоре с эксцентриситетом // Выч. технологии. 2012. Т. 17. № 1. С. 44–57.
- Metzner A.B., Reed J.C. Flow of non-Newtonian fluids — correlation of the laminar, transition, and turbulent-flow regions // A.I.Ch.E. J. B1. 1995. V. 1. № 4. P. 434–440.
- Wang X.-Q., Mujumdar A.S. Heat transfer characteristics of nanofluids: A review // Int. J. Thermal Sciences. 2007. V. 46. P. 1–19.
- Sarojini K.G.K., Manoj S.V., Singh P.K., Pradeep T., Das S.K. Electrical conductivity of ceramic and metallic nanofluids // Colloids and Surfaces A: Physicochemical and Engineering Aspects. 2013. V. 417. P. 39–46.
- Iglesias T.P., Rivas M.A., Iglesias R., Reis J.C.R., Cohelho F. Electric permittivity and conductivity of nanofluids consisting of 15 nm particles of alumina in base Milli-Q and Milli-Ro water at different temperatures // J. Chem. Thermodynamics. 2013. V. 66. P. 123–130.
- Dong M., Shen L.P., Wang H., Wang H.B., Miao J. Investigation on the electrical conductivity of transformer oil-based AlN nanofluid // J. Nanomaterials. 2013. Article ID 842963.
- Guo Z. A review on heat transfer enhancement with nanofluids // J. Enhanc. Heat Transfer. 2020. V. 27. P. 1–70.
- Chon C.H., Kihm K.D., Lee S.P., Choi S.U.S. Empirical correlation finding the role of temperature and particle size for nanofluid (Al2O3) thermal conductivity enhancement // Applied Phys. Lett. 2005. V. 87. № 15. P. 153107.
- Ahmad H.P., Saeed A., Masoud A., Boshra M., Omid M., Somchai W. An updated review on application of nanofluids in heat exchangers for saving energy // Energy Conversion & Management. 2019. V. 198. P. 111886.
- Aydın D.Y., Gürü M. Nanofluids: preparation, stability, properties, and thermal performance in terms of thermo-hydraulic, thermodynamics and thermo-economic analysis // J. Thermal Analysis Calorimetry. 2021. V. 47. № 60. P. 1–34.
- Zhang X., Li J. A review of uncertainties in the study of heat transfer properties of nanofluids // Heat Mass Transfer. 2023. V. 59. P. 621–653.
- Guzey D.V., Minakov A.V., Rudyak V.Ya. On efficiency of convective heat transfer of nanofluids in laminar flow regime // Int. J. Heat Mass Transfer. 2019. V. 139. Pp. 180–192.
- Rudyak V., Minakov A., Pryazhnikov M. Preparation, characterization, and viscosity studding the single-walled carbon nanotube nanofluid // J. Molecular Liquids. 2021. V. 329. № 1. P. 115517.
- Rudyak V.Yа., Pryazhnikov M.I., Minakov A.V., Shupik A.A. Comparison of thermal conductivity of nanofluids with single-walled and multi-walled carbon nanotubes. Diamond & Related Materials. 2023. V. 139. P. 110376.
- Gavrilov A.A., Rudyak V.Ya. Reynolds averaged modeling of turbulent flows of power-law fluids // J. Non-Newtonian Fluid Mechanics. 2016. V. 277. P. 45–55.
- Rudyak V.Ya., Belkin A.A., Rafalskaya T.A. Molecular dynamics study of the rheology of benzene-based nanofluids with metal particles // J. Molecular Liquids. 2024. V. 403. P. 124805.
Дополнительные файлы









