Numerical solution of the boundary value problem for inertia-gravity internal waves
- Autores: Vorotnikov D.I.1, Savchenko А.М.1
-
Afiliações:
- M. V Lomonosov Moscow State University
- Edição: Nº 1 (2024)
- Páginas: 112-122
- Seção: Articles
- URL: https://journals.rcsi.science/1024-7084/article/view/262495
- DOI: https://doi.org/10.31857/S1024708424010088
- EDN: https://elibrary.ru/sdmtac
- ID: 262495
Citar
Texto integral
Resumo
This paper presents a numerical calculation of the boundary value problem for the equation of free internal inertia-gravity waves in an unbounded basin of constant depth in the Boussinesq approximation and the presence of a two-dimensional vertically inhomogeneous flow. The boundary value problem for the vertical velocity amplitude has complex coefficients and is solved both numerically and by perturbation theory. Using the example of calculating the decrement of attenuation of internal waves and momentum wave flows, it is shown that the exact numerical calculation gives significantly better estimates in comparison with the perturbation method. In particular, at minimum divergence in the dispersion curves for both calculation methods, the imaginary part of the wave frequency, interpreted as the decrement of attenuation, can differ by two or three orders of magnitude. Vertical wave momentum fluxes are comparable to turbulent ones and may exceed them, with results obtained by the numerical method being almost an order of magnitude smaller than those calculated by the perturbation theory method.
Palavras-chave
Texto integral
Вертикальные обменные процессы для различных термогидродинамических характеристик (далее вертикальный обмен) обеспечиваются за счет переноса по вертикали количества движения между слоями стратифицированной по плотности жидкости.
Вертикальный обмен в бассейнах природных сред играет существенную роль в функционированиия их экосистем. По существующим представлениям вертикальный обмен обусловлен мелкомасштабной турбулентностью, которая сильно подавлена в стратифицированной толще жидкости. В то же время благодаря стратификации возможно существование внутренних волн. Внутренние волны в природных средах порождаются атмосферными возмущениями, взаимодействием течений и приливов с неоднородностями рельефа дна. Внутренние волны квазиинерционного периода обусловлены вращением Земли.
Мелкомасштабная турбулентность в стратифицированной толще жидкости характеризуется явлением чередования ламинарных и турбулентных слоев, т. е. имеет перемежаемый характер и потому можно ввести для ее описания эффективный коэффициент турбулентного обмена. При учете турбулентной вязкости и диффузии внутренние волны затухают [1–4]. Вертикальные волновые потоки импульса при этом отличны от нуля [6]. Однако на двумерном сдвиговом течении при учете вращения Земли, когда компонента скорости течения, перпендикулярная направлению распространения волны, зависит от вертикальной координаты, вертикальный волновой поток импульса отличен от нуля и без учета турбулентной вязкости и диффузии [7].
Это объясняется тем, что в этом случае уравнение для амплитуды вертикальной скорости имеет комплексные коэффициенты; собственная функция и частота волны – комплексные, сдвиг фаз между вертикальной w и горизонтальной u компонентами волновых возмущений скорости течения отличен от p/2, и вертикальный волновой поток импульса uw отличен от нуля [7].
Краевая задача для амплитуды вертикальной скорости, имеющая комплексные коэффициенты в уравнении, в работе [7] решалась методом возмущений, путем разложения решения и частоты волны в ряд по малому параметру e = V0*(Hw*), где V0* — характерное значение скорости течения, w* — характерная частота волны, H – глубина бассейна.
В силу естественных ограничений применения теории возмущений в случаях, когда данный параметр нельзя считать малым, решение перестает быть корректным. В связи с этим видится разумным применить прямой или непосредственный численный расчет в условиях, когда параметр e не мал.
Во избежание резкого увеличения погрешности и выполнения заданной точности для численного решения данной краевой задачи была выбрана неявная схема Адамса третьего порядка и реальные профили частоты Брента–Вяйсяля и скоростей течения. Реализовали численную схему с использованием постоянного шага на сетке с числом узлов N = 2000.
Краевая задача для амплитуды вертикальной скорости внутренних волн решалась аналитически в работе [8]. для плоскопараллельного сдвигового потока при постоянной частоте Брента–Вяйсяля. Было получено, что собственная функция – решение этой краевой задачи – комплексная, а частота волны – действительная. Важно отметить, что рассматривался случай, когда волна распространяется перпендикулярно потоку.
В настоящей работе в ходе численных расчетов показано, что на двумерном течении с вертикальным сдвигом скорости частота волны — комплексная. Вертикальные волновые потоки импульса при этом отличны от нуля.
Производится сопоставление потоков импульса, полученных методом возмущений и численным расчетом. Мнимая часть частоты волны отлична от нуля. Возможны как слабое усиление, так и слабое затухание волны. Делается сопоставление зависимости действительной и мнимой части частоты от волнового числа, полученные точным численным расчетом с использованием теории возмущений.
1. ПОСТАНОВКА ЗАДАЧИ
В приближении Буссинеска рассматриваются свободные внутренние волны при учете вращения Земли при наличии двумерного стратифицированного течения, две горизонтальные компоненты скорости которого U0(z), V0(z) зависят от вертикальной координаты. В линейном приближении численно решается краевая задача для амплитуды вертикальной скорости внутренних волн и находим мнимую часть частоты и волновое число при фиксированной действительной части частоты. Во втором порядке по амплитуде волны находим вертикальные волновые потоки импульса, которые впоследствии сравниваются с соответствующими турбулентными потоками.
Уравнения гидродинамики для волновых возмущений имеют вид
(1.1)
(1.2)
(1.3)
(1.4)
(1.5)
где u, v, w — две горизонтальные и вертикальная компоненты волновой скорости течения соответственно; f — параметр Кориолиса; U0(z), V0(z) — две компоненты скорости среднего течения; r, P — волновые возмущения плотности и давления; g – ускорение свободного падения; r0(z) — профиль средней плотности; x, y, z – две горизонтальные и вертикальная координаты, ось z направлена вертикально вверх; действие оператора D/Dt раскрывается по формуле
Если в качестве природного бассейна большой площади и глубины рассматривать морской бассейн, то от поверхности до дна плотность воды меняется не более чем на 3–4% [3], а при глубине моря 100 м – менее чем на 1% [5], поэтому в приближении Буссинеска в знаменателе правых частей формул (1.1)–(1.3) усредненная по глубине плотность принимается равной плотности на поверхности моря [3].
Сделаем оценку горизонтальной изменчивости средней плотности. Для этого воспользуемся оценкой геострофических соотношений [10].
(1.6)
Вертикальные профили компонент скорости течения и их производных показаны на рис. 1. Максимальные значения вертикальных градиентов компонент скорости течения U0, V0 составляют 0.019 и 0.027 с–1 соответственно. Горизонтальные масштабы изменения плотности много больше длины волны, поэтому горизонтальным изменением плотности можем пренебречь.
Рис. 1. Вертикальные профили (а) компонент скорости течения U0 (1), V0 (2) и (б) частоты Брента–Вяйсяля.
Граничное условие на поверхности бассейна (z = 0) — “условие твердой крышки”, которое отфильтровывает внутренние волны от поверхностных [11]:
(1.7)
Граничное условие на дне — условие непротекания (жидкость считаем идеальной)
(1.8)
где H — глубина бассейна.
2. ЛИНЕЙНОЕ ПРИБЛИЖЕНИЕ
Решения линейного приближения ищем в следующем виде:
(2.1)
где A — амплитудный множитель, θ— фаза волны, c.c. — комплексно-сопряженные слагаемые k — горизонтальное волновое число, ω— частота волны. Предполагается, что волна распространяется вдоль оси x.
Подставляя (2.1) в систему (1.1)–(1.5), находим связь амплитудных функций с функцией w10:
(2.2)
(2.3)
(2.4)
Функция w10 удовлетворяет уравнению
(2.5)
где – квадрат частоты Брента–Вяйсяля.
Граничные условия для w10 на поверхности
(2.6)
и на дне
(2.7)
Краевая задача (2.5)–(2.7) решалась аналитически в работе [8] при постоянной частоте Брента–Вяйсяля и линейном профиле скорости плоскопараллельного среднего течения. Волна распространялась перпендикулярно потоку. Было получено: собственная функция (решение этой краевой задачи) – комплексная, а частота волны — действительная. Далее в ходе численных расчетов будет показано, что при двумерном течении частота волны комплексная.
В работах [7, 9] уравнение (2.5) решалось путем разложения решения и частоты волны в ряды по малому параметру Однако этот параметр не всегда мал, и применимость метода ограничена. Поэтому в нашей работе применена неявная схема Адамса третьего порядка точности для численного решения уравнения (2.5) при реальных профилях частоты Брента–Вяйсяля и скорости течения.
3. ВОЛНОВЫЕ ПОТОКИ ИМПУЛЬСА
Вертикальные волновые потоки импульса находим, учитывая формулы (2.1), (2.2), (2.4):
(3.1)
(3.2)
где — мнимая часть частоты. Черта сверху означает усреднение по периоду волны (в смысле интеграла ) [1].
При dV0 /dz = 0 уравнение (2.5) имеет действительные коэффициенты, решение краевой задачи (2.5)–(2.7) – действительная функция и вертикальный волновой поток импульса uw (3.1) для фиксированной моды внутренних волн равен нулю. Мнимая часть частоты при этом тоже равна нулю. Вертикальный волновой поток импульса vw при dV0 /dz = 0 согласно выражению (3.2), отличен от нуля. Он равен нулю только при неучете вращения Земли, т.е. при f = 0.
4. РЕЗУЛЬТАТЫ ЧИСЛЕННОГО РЕШЕНИЯ КРАЕВОЙ ЗАДАЧИ
Анализ вертикальных потоков импульса для внутренних волн проведем, используя результаты натурных измерений в глубоководной области северо-западной части Черного моря, где над континентальным склоном расположена струя Основного черноморского течения (ОЧТ). Профили двух компонент скорости течения и частоты Брента–Вяйсяля, изображенные на рис. 1, получены с использованием данных зондирований профилографа LADCP [12]. На основе экспериментальных данных с приборов ГРАД (градиентно-распределенные датчики температуры) был сделан вывод о том, что преимущественно наблюдалась вторая мода 15-минутных внутренних волн [5]. Таким образом, целесообразно проводить вычисления с последующим сравнением именно для такого типа колебаний.
Мнимая часть частоты волны и волновое число при фиксированной действительной части частоты находится методом пристрелки [13] из необходимости выполнения граничных условий (2.6), (2.7). Метод заключался в последовательном переборе значений управляющего параметра (в нашем случае – волнового числа k) и последующего решения краевой задачи. Процедура выполнялась до тех пор, пока не удовлетворялись граничные условия.
Поиск оптимального значения k основан на методе дихотомии [13]. Собственная функция – решение краевой задачи (2.5)–(2.7) — комплексная, поэтому вертикальный волновой поток импульса uw (3.1) отличен от нуля. Вертикальные профили модуля собственных функций первой и второй моды 15-минутных внутренних волн показаны на рис. 2.
Рис. 2. Собственные функции первой (а) и второй (б) мод 15-минутных внутренних волн.
Зависимость действительной части частоты волны от волнового числа для первых двух мод представлена на рис. 3а для положительных волновых чисел как при прямом численном решении краевой задачи (2.5)–(2.7), так и методом возмущений; на рис. 3б — то же при отрицательных волновых числах.
Рис. 3. Дисперсионные кривые первой (1) и второй (2) мод при (а) положительных и (б) отрицательных волновых числах. Пунктиром показан результат непосредственного численного расчета.
Вследствие воздействия течения при больших волновых числах проходит загибание дисперсионных кривых (такой эффект отмечен в работе [14]. Для отрицательных волновых чисел данный эффект не наблюдается, причем происходит обрезание дисперсионных кривых в низкочастотной области, что обусловлено влиянием критических слоев, когда частота волны со сдвигом Доплера равна инерционной [15, 16].
Как показано в работе [17], при течении с продольной компонентой скорости, зависящей от z, может вовсе не существовать дискретного спектра действительных частот. Отметим, что точные численные расчеты и вычисления с использованием теории возмущений дают очень близкие результаты для дисперсионных кривых (кривые практически совпадают), отклонения порядка десятых долей числа, что на грубой шкале не позволяет увидеть различий (качественно имеем идентичную картину).
Зависимость мнимой части частоты волны от положительных волновых чисел для первых двух мод представлена на рис. 4а, при решении краевой задачи (2.5)–(2.7) методом возмущений и прямым численным методом — на рис. 4б.
Рис. 4. Зависимость мнимой части частоты волны от волнового числа для первой (1) и второй (2) мод: метод возмущений (а); прямой численный метод (б).
Аналогичные зависимости для отрицательных волновых чисел представлены на рис. 5. Метод возмущений предсказывает завышенные на 2–3 порядка (в зависимости от области вычислений) значения модуля мнимой части частоты волны по отношению к методу непосредственного расчета, что может объясняться большей универсальностью второго и, как следствие, широтой его применимости.
Рис. 5. Зависимость мнимой части частоты волны от отрицательных волновых чисел для первой (1) и второй (2) мод: метод возмущений (а); прямой численный метод (б).
Действительно, можно сказать, что эффект затухания волны только за счет течения (при учете вращения Земли) является очень малым, на что указывают и наблюдательные данные [12]. Поэтому, и в силу меньшей чувствительности к областям расчета (где может произойти возрастание малого параметра e) более выгодно сразу применять метод непосредственного численного счета.
Численное решение краевой задачи (2.5)–(2.7) позволяет сделать вывод, что для положительных волновых чисел мнимая часть частоты волны положительная – имеет место слабое усиление волны. У второй моды мнимая часть частоты волны положительна в длинноволновой области, когда рад/м, что соответствует, как и в случае с положительными волновыми числами, слабому затуханию волны; при больших волновых числах мнимая часть частоты волны отрицательна (см. рис. 4б).
В области отрицательных волновых чисел прямой численный расчет дает отрицательную мнимую часть частоты волны у первой моды (см. рис. 5б). У второй моды мнимая часть частоты положительная при малых по модулю волновых числах, если рад/м мнимая часть частоты – отрицательная, т. е. слабое усиление при малых по модулю отрицательных волновых числах сменяется слабым затуханием при больших (рис. 5б). Метод возмущений дает отрицательную мнимую часть для первой и второй мод при отрицательных волновых числах (рис. 5а).
По результатам прямых численных расчетов у 15-минутных внутренних волн волновое число у первой моды отрицательное и равно –0.0045 рад/м, у второй моды k = -0.0079 рад/м. Мнимая часть частоты волны также отрицательная: dw = -1.2 · 10-6 рад/с – у первой моды, dw = -0.49 · 10-6 рад/с – у второй моды.
Нормирующий множитель A1 найдем по известной амплитуде вертикальных смещений. Действительно, вертикальная скорость связана с вертикальным смещением z соотношением dz/dt = w. Отсюда находится z и выражение для A1:
(4.1)
(4.2)
Вертикальные профили волнового uw потока импульса показаны на рис. 6а для 15-минутных внутренних волн первой моды при максимальной амплитуде волны 0.5 м. Сплошная кривая соответствует прямому прямому численному решению краевой задачи (2.5)–(2.7), штриховая соответствует методу возмущений. Метод возмущений, в сравнении с непосредственным расчетом, вновь дает превосходящие по абсолютной величине значения волновых потоков импульса. На рис. 6б показаны те же потоки для второй моды внутренних волн.
Рис. 6. Вертикальные профили волнового потока импульса uw для первой (а) и второй (б) мод: 1 – прямой численный метод; 2 – метод возмущений.
Представляет интерес сопоставить турбулентный и волновой потоки импульса. Турбулентный поток определяется по формуле , для коэффициента вертикального обмена в верхнем 200-метровом сильно стратифицированном слое справедлива оценка Nc соответствует частоте Брента–Вяйсяля в цикл/ч [18].
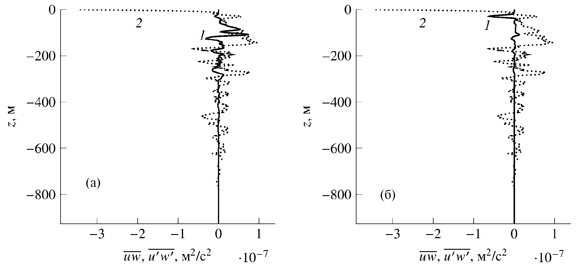
В более глубинных стратифицированных слоях коэффициент турбулентного обмена пропорционален Nc [19]. На рис. 7 представлены профили волнового uw (сплошная линия) и турбулентного (пунктирная линия) потоков импульса для первых двух мод при прямом численном решении краевой задачи (0.13)–(0.15). Турбулентный поток доминирует, особенно над потоком второй модой. Только в пикноклине у первой моды волновой поток сопоставим с турбулентным в интервале глубин 80–120 м.
Рис. 7. Вертикальные профили волнового uw и турбулентного потоков импульса для первой (а) и второй (б) мод: 1 — волновой поток импульса; 2 — турбулентный поток.
Вертикальные профили волнового vw потока импульса показаны на рис. 8а для 15-минутных внутренних волн первой моды при максимальной амплитуде волны 0.5 м. Сплошная кривая соответствует прямому численному решению краевой задачи (2.5)–(2.7), штриховая соответствует методу возмущений. На рис. 8б показаны те же потоки для второй моды внутренних волн.
Рис. 8. Вертикальные профили волнового потока импульса vw для первой (а) и второй (б) мод: 1 — прямой численный метод; 2 — метод возмущений.
Волновые потоки vw у первой моды имеют существенное различие вплоть до придонного слоя с явным доминированием потока, полученного при помощи теории возмущений, аналогично картине с потоками для uw. Для второй моды в целом наблюдается похожая ситуация, в верхнем 130-метровом слое превалирует поток, рассчитанный по теории возмущений, и только на небольшом отрезке в районе 150 м численный расчет показывает превосходящие значения, глубже потоки сравнимы.
Представляет интерес сопоставить турбулентный и волновой потоки импульса. Турбулентный поток импульса определяется по формуле . На рис. 9 представлены профили волнового vw и турбулентного потоков импульса для первых двух мод.
Рис. 9. Вертикальные профили волнового vw и турбулентного потоков импульса для первой (а) и второй (б) мод: 1 — волновой поток импульса; 2 — турбулентный поток.
Турбулентный поток уступает волновому потоку vw у первой моды только в верхнем сильно стратифицированном 120-метровом слое. У второй моды в этом слое турбулентный и волновой потоки сопоставимы по величине. В более глубинных слоях турбулентный поток доминирует над волновым.
ОБСУЖДЕНИЕ
В дальнейшем видится интересным построение поверхностей для дисперсионных кривых (пространственной картины), т.е. для случая, когда волна распространяется под произвольными углами к оси x. В результате для каждого угла a будет своя дисперсионная кривая. Совокупность этих кривых даcт дисперсионную поверхность в координатах где — проекции волнового вектора на оси x, y соответственно, w0 – действительная часть частоты, k — модуль волнового вектора. Таким образом, после построения сечений этой поверхности плоскостями w0 = const будут получены изолинии w0 = const на плоскости k1, k2. В итоге получим набор таких изолиний частоты на плоскости k1, k2.
В глобальном смысле интересны выход на эксперимент и проверка предсказательной способности теоретической модели. В том числе численный расчет необратимой тонкой структуры термогидродинамических полей, генерируемой внутренними волнами. Один из вариантов возникновения тонкой структуры поля плотности в стратифицированной жидкости за счет турбулентных явлений (турбулентного перемешивания) в широком диапазоне значений чисел Рейнольдса и Ричардсона рассмотрен в работах [20, 21].
ЗАКЛЮЧЕНИЕ
Показано, что внутренние волны при учете вращения Земли на двумерном стратифицированном течении, когда компонента скорости течения, перпендикулярная направлению распространения волны, зависит от вертикальной координаты, имеют мнимую поправку к частоте. Решение краевой задачи (2.5)–(2.7) методом возмущений дает превосходящие по абсолютной величине значения этой поправки по сравнению с методом непосредственного численного расчета.
Такой результат объясняется невыполнением условия малости параметра разложения в методе возмущений и невозможностью расчета в близи критических слоев. Непосредственный расчет позволяет получать более корректные результаты в широком диапазоне областей. Тем не менее отметим, что оба метода имеют право на существование, и применимость каждого обусловлена условиями конкретной задачи. Показано также, что дисперсионные кривые первых двух мод, полученные при численном решении краевой задачи и методом возмущений, практически идентичны.
Получено: вертикальные волновые потоки импульса, соответствующие продольной компоненте скорости uw, vw отличны от нуля, и метод возмущений дает завышенные значения по сравнению с прямым численным методом решения краевой задачи для внутренних волн. Для поперечной компоненты скорости волновой поток импульса vw у первой моды может превышать соответствующий турбулентный поток в пикноклине, в то время как у второй моды эти потоки сравнимы по величине. Вне пикноклина турбулентный поток доминирует над волновым. Показано, что волновой поток импульса uw уступает соответствующему турбулентному потоку.
Sobre autores
D. Vorotnikov
M. V Lomonosov Moscow State University
Autor responsável pela correspondência
Email: infsup@yandex.ru
Department of quantum statistics and field theory, Faculty of Physics
Rússia, MoscowА. Savchenko
M. V Lomonosov Moscow State University
Email: a.m.savchenko@gmail.com
Department of quantum statistics and field theory, Faculty of Physics
Rússia, MoscowBibliografia
- Ле Блон П., Майсек Л. Волны в океане. Ч. 2. М.: Мир, 1981. 365 с.
- Le Blond P.H. On damping of internal gravity waves in a continuously stratified ocean // J. Fluid. Mech. 1966. V. 25. № 1. Р. 121–142. doi: 10.1017/S0022112066000089
- Островский Л.А., Соустова И.А. Верхний перемешанный слой как сток энергии внутренних волн // Океанология. 1979. Т. 19. № 6. С. 973–981.
- Слепышев А.А. Процессы переноса, обусловленные слабонелинейными внутренними волнами при наличии турбулентности // Изв. РАН. ФАО. 1997. Т. 33. № 4. С. 536–548.
- Пантелеев Н.А. Отчет о работах в 44-м рейсе (3-й этап) НИС “Михаил Ломоносов”, 7 августа – 15 сентября 1985 г. Севастополь: МГИ АН УССР, 1985. Т. 1. С. 135.
- Слепышев А.А. Вертикальный перенос импульса внутренними волнами при учете турбулентной вязкости и диффузии // Изв. РАН. ФАО. 2016. Т. 52. № 3. С. 342–350. doi: 10.7868/S0002351516030111
- Воротников Д.И., Слепышев А.А. Вертикальные потоки импульса, обусловленные слабонелинейными внутренними волнами на шельфе // Изв. РАН. МЖГ. 2018. № 1. С. 23–35. doi: 10.7868/S0568528118010036
- Слепышев А.А., Лактионова Н.В. Вертикальный перенос импульса внутренними волнами в сдвиговом потоке // Изв. РАН. ФАО. 2019. Т 55. № 6. С. 194–200. doi: 10.31857/S0002-3515556194-200
- Носова А.В., Слепышев А.А. Вертикальные потоки, обусловленные слабонелинейными внутренними волнами на шельфе // Изв. РАН. МЖГ. 2015. № 1. С. 15–25.
- Каменкович В.М. Основы динамики океана. Л.: Гидрометеоиздат, 1973. 128 с.
- Миропольский Ю.З. Динамика внутренних гравитационных волн в океане. Л.: Гидрометеоиздат, 1981. 30 с.
- Лемешко Е.М., Морозов А.Н. и др. Вертикальная структура поля скорости течений в северо-западной части Черного моря по данным LADCP в мае 2004 года // МГЖ. 2008. № 6. С. 25–37.
- Калиткин Н.Н. Численные методы. М.: Наука, 1978. 262 с.
- Демышев С.Г., Евстигнеева Н.А. Численный эксперимент по моделированию климатических полей на северо-западном шельфе Черного моря в зимний и летний сезоны // МГЖ. 2012. № 2. С. 18–36.
- Jones W.L. Propagation of internal waves in fluids with shear flow and rotation // J. Fluid. Mech. 1967. V 30. №. 3. Р. 439–448. doi: 10.1017/S0022112067001521
- Booker J.B., Brethertone F.P. The critical layer for internal gravity waves in a shear flow // J. Fluid. Mech. 1967. V. 27. № 4. Р. 513–539. doi: 10.1017/S0022112067000515
- Banks W.H., Drazin P.G., Zaturska M.B. On the normal modes of parallel flow of inviscid stratified fluid // J. Fluid. Mech. 1976. V. 75. № 1. Р. 149–171. doi: 10.1017/S0022112076000153
- Иванов В.А., Самодуров А.С., Чухарев А.М., Носова А.В. Интенсификация вертикального турбулентного обмена в районах сопряжения шельфа и континентального склона в Черном море // Доп. НАН України. 2008. № 6. С. 108–112.
- Самодуров А.С. Взаимодополняемость различных подходов для оценки интенсивности вертикального турбулентного обмена в естественных стратифицированных бассейнах // МГЖ. 2016. № 6. С. 37–48. doi: 10.22449/0233-7584-2016-6-37-48
- Zatsepin A.G., Gerasimov V.V. Turbulent Mass Exchange in a Stratified Fluid and the Conditions of Its Fine Structure Layering // Physical and Mathematical Modeling of Earth and Environment Processes // Springer Proceedings in Earth and Environmental Sciences. Springer. Cham. 2022. P. 219. doi: 10.1007/978-3-030-99504-1-22
- Zatsepin A.G., Gerasimov V.V., Ostrovskii A.G. Laboratory Study of Turbulent Mass Exchange in a Stratified Fluid // J. Mar. Sci. Eng. 2022. V. 10. P. 756. doi: 10.3390/jmse10060756
Arquivos suplementares











