Trajectories of Liquid Particles in a Dark Soliton Field in a Fluid Beneath an Ice Cover
- Autores: Ilichev A.T.1, Savin A.S.2,3, Shashkov A.Y.2
-
Afiliações:
- Steklov Mathematical Institute of RAS
- Moscow State Bauman Technical University
- Vernadsky Institute of Geochemistry and Analytical Chemistry of RAS
- Edição: Nº 6 (2023)
- Páginas: 110-120
- Seção: Articles
- URL: https://journals.rcsi.science/1024-7084/article/view/231746
- DOI: https://doi.org/10.31857/S1024708423600550
- EDN: https://elibrary.ru/QYFEAR
- ID: 231746
Citar
Texto integral
Resumo
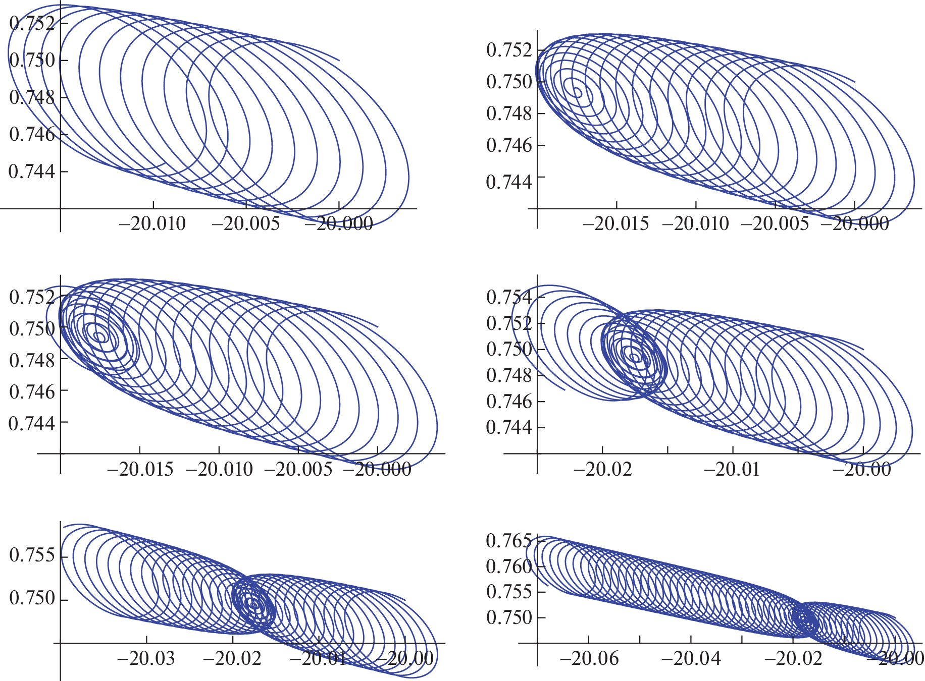
A fluid layer of finite depth described by Euler equations is considered. The ice cover is modeled by a geometrically non-linear elastic Kirchhoff–Love plate. The trajectories of liquid particles under the ice cover are found in the field of a nonlinear surface traveling wave tending to a periodic wave at infinity: the so-called “dark soliton” (which is a nonlinear product of a step-wave and a periodic wave) of small but finite amplitude. The presence of dark solitons in the system is an indicator of the modulation stability of the carrier periodic wave (defocusing). The analysis uses explicit asymptotic expressions for solutions describing wave structures on the water–ice interface such as dark solitons, as well as asymptotic solutions for the velocity field in the liquid column generated by these waves.
Palavras-chave
Sobre autores
A. Ilichev
Steklov Mathematical Institute of RAS
Email: ilichev@mi-ras.ru
Moscow, Russia
A. Savin
Moscow State Bauman Technical University; Vernadsky Institute of Geochemistry and Analytical Chemistry of RAS
Email: ilichev@mi-ras.ru
Moscow, Russia; Moscow, Russia
A. Shashkov
Moscow State Bauman Technical University
Autor responsável pela correspondência
Email: ilichev@mi-ras.ru
Moscow, Russia
Bibliografia
- Forbes L.R. Surface waves of large amplitude beneath an elastic sheet. High order series solution // J. Fluid Mech. 1986. V. 169. P. 409–428.
- Forbes L.K. Surface waves of large amplitude beneath an elastic sheet. Galerkin solutions // J. Fluid Mech. 1988. V.188. P. 491–508.
- Iooss G., Adelmeyer M. Topics in bifurcation theory and applications. 2nd edition. Singapore: World Scientific, 1998. 186 p.
- Kirchgässner K. Wave solutions of reversible systems and applications // J. Diff. Eqns. 1982. V. 45. P. 113–127.
- Mielke A. Reduction of quasilinear elliptic equations in cylindrical domains with applications // Math. Meth. Appl. Sci. 1988. V. 10. P. 501–566.
- Ильичев А. Т. Уединенные волны в средах с дисперсией и диссипацией (обзор) // Изв. РАН, МЖГ 2000. № 2. С. 3–27 = Il’ichev A. Solitary waves in media with dispersion and dissipation (a review) Fluid Dyn. 2000. V. 35. P. 157–176.
- Parau E., Dias F. Nonlinear effects in the response of a floating ice plate to a moving. load // J. Fluid. Mech. 2001. V. 437. P. 325–336.
- Plotnikov P.I., Toland J.F. Modelling nonlinear hydroelastic waves // Phil. Trans. R. Soc. A. 2011. V. 369. P. 2942–2956.
- Ильичев А.Т., Савин А.С., Шашков А.Ю. Траектории частиц жидкости под ледяным покровом в поле уединенной изгибно-гравитационной волны // Изв. вузов. Радиофизика, в печати.
- Филлипс О.М. Динамика верхнего слоя океана, Л: Гидрометеоиздат, 1980. 320 с.
- Монин А.С. Теоретические основы геофизической гидродинамики. Л: Гидрометеоиздат, 1988. 424 с.
- Stokes G. On the theory of oscillatory waves // Trans. Camb. Phil. Soc. 1847. V. 8. P. 441–455.
- Очиров А.А. Исследование закономерностей формирования массопереноса, инициируемого волновыми движениями жидкости: Дис. на соискание ученой степени кандидата физ.-мат. наук: 01.02.05. Ярославль, 2020. 142 с.
- Ильичев А.Т., Савин А.С., Шашков А.Ю. Движение частиц в поле нелинейных волновых пакетов в слое жидкости под ледяным покровом // Теор. мат. физ., в печати.
- Müller A., Ettema R. Dynamic response of an icebreaker hull to ice breaking // In Proc. IAHR Ice Symp., Hamburg. 1984. V. II. P. 287–296.
- Ильичев А.Т. Уединенные волны в моделях гидромеханики. М.: Физматлит, 2003. 256 с.
- Марченко А.В. О длинных волнах в мелкой жидкости под ледяным покровом // ПММ. 1988. Т. 52. С. 230–235.
- Il’ichev A.T., Semenov A.Yu. Stability of solitary waves in dispersive media described by a fifth-order evolution equation // Theoret. Comput. Fluid Dyn. 1992. V. 3. P. 307–326.
- Ильичев А.Т. Солитоноподобные структуры на поверхности раздела вода–лед // УМН. 2015. Т. 70. С. 85–138 = Il’ichev A.T. Soliton-like structures on a water-ice interface // Russian Math. Surveys. 2015. V. 70. P. 1051–1103.
- Haragus M., Iooss G. Local Bifurcations, Center Manifolds, and Normal Forms in Infinite-Dimensional Dynamical Systems. Berlin, Heidelberg: Springer, 2012. 329 p.
- Iooss G., Perouéme M.C. Perturbed homoclinic solutions in reversible 1 : 1 resonance vector fields // J. Diff. Eqns. 1993. V. 102. P. 62–88.
- Dias F., Iooss G. Capillary-gravity interfacial waves in infinite depth // Eur. J. Mech., B/Fluids. 1996. V. 15. P. 367–393.
- Il’ichev A.T., Tomashpolskii V.Ja. Characteristic parameters of nonlinear surface envelope waves beneath an ice cover under pre-stress // Wave Motion. 2019. V. 86. P. 11–20.
Arquivos suplementares







