Deformations and Wave Forces in the Motion of a Load on an Ice Cover in the Presence of a Current with Velocity Shear
- Authors: Tkacheva L.A.1
-
Affiliations:
- Lavrentyev Institute of Hydrodynamics of the Siberian Branch of the Russian Academy of Sciences
- Issue: No 6 (2023)
- Pages: 59-66
- Section: Articles
- URL: https://journals.rcsi.science/1024-7084/article/view/231733
- DOI: https://doi.org/10.31857/S1024708423600203
- EDN: https://elibrary.ru/QXOXEV
- ID: 231733
Cite item
Full Text
Abstract
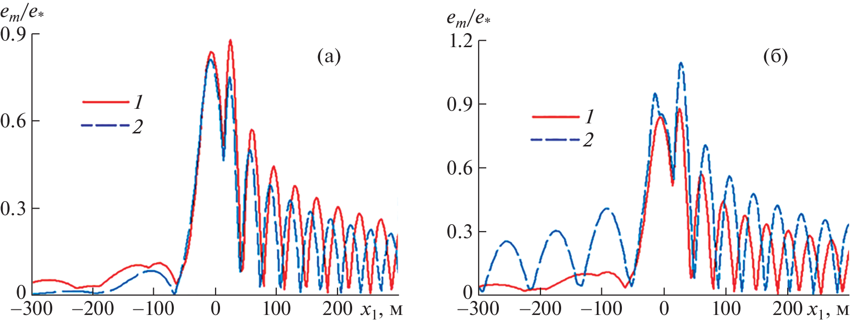
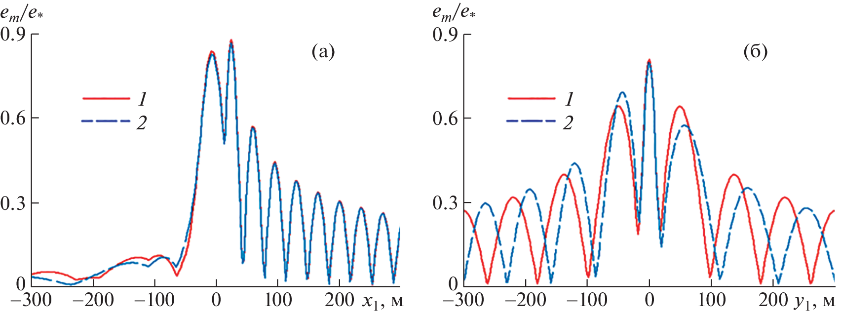
The deformations of an ice cover on the surface of an ideal incompressible fluid of finite depth under the action of a pressure domain that moves rectilinearly at a constant velocity in the presence of a current with velocity shift, as well as the wave forces exerted on a moving body, are studied. Fluid flow is not potential. The ice cover is modeled by a thin elastic plate with account for uniform compression. The motion of the load can occur at an arbitrary angle to the direction of current. It is assumed that the ice deflection is steady in the coordinate system moving with the load. The Fourier transform method is used within the framework of the linear wave theory. The maximum deformations of ice cover and the wave forces are studied depending on the current velocity gradient, the direction of motion, and the compression ratio.
About the authors
L. A. Tkacheva
Lavrentyev Institute of Hydrodynamics of the Siberian Branch of the Russian Academy of Sciences
Author for correspondence.
Email: tkacheva@hydro.nsc.ru
Novosibirsk, Russia
References
- Хейсин Д.Е. Динамика ледяного покрова. Л.: Гидрометеоиздат. 1967. 215 с.
- Davys J.W., Hosking R.I., Sneyd A.D. Waves due to a steadily moving source on a floating ice plate// J. Fluid Mech. 1985. V. 158. P. 269–287.
- Schulkes R.M.S.M., Hosking R.J., Sneyd A.D. Waves due to a steadily moving source on a floating ice plate. Pt 2 // J. Fluid Mech. 1987. V. 180. P. 297–318.
- Букатов А.Е., Жарков В.В., Завьялов Д.Д. Трехмерные изгибно-гравитационные волны при неравномерном сжатии // ПМТФ. 1991. № 6. С. 51–57.
- Жесткая В.Д., Козин В.М. Исследования напряженно-деформированного состояния полубесконечного ледяного покрова под действием движущейся нагрузки // ПМТФ. 1994. Т. 35. № 5. С. 112–117.
- Milinazzo F., Shinbrot M., Evans N.W. A mathematical analysis of the steady response of floating ice to the uniform motion of a rectangle load // J. Fluid Mech. 1995. V. 287. P. 173–197.
- Squire V.A. Moving Loads on Ice Plates. / V.A. Squire, R.J. Hosking, A.D. Kerr, et al. Dordrecht: Kluwer, 1996.
- Das S., Sahoo T., Meylan M.H. Dynamics of flexural gravity waves: from sea ice to Hawking radiation and analogue gravity// Proc. R. Soc. A 2018. V. 474. P. 20170223.
- Sturova I.V. Unsteady three-dimensional sources in deep water with an elastic cover and their applications// J. Fluid Mech. 2013. V. 730. P. 392–418.
- Козин В.М., Погорелова А.В., Земляк В.Л., Верещагин В.Ю., Рогожникова В.Е., Кипин Д.Ю., Матюшина А.А. Экспериментально-теоретические исследования зависимости параметров, распространяющихся в плавающей пластине изгибно-гравитационных волн от условий их возбуждения. Новосибирск: Изд-во СО РАН, 2016. 221 с.
- Букатов А.Е. Волны в море с плавающим ледяным покровом. Морской гидрофизический институт РАН. Севастополь. 2017. 357 с.
- Bao-yu Ni, Duan-feng Han, Shao-cheng Di, Yan-zhuo Xue On the development of ice-water-structure interaction // J. Hydrodynamics. 2020. V. 32. № 4. P. 629–652. https://doi.org/10.1007/s42241-020-0047-8
- Ткачева Л.А. Движение нагрузки по ледяному покрову при наличии течения со сдвигом скорости// Изв. РАН. МЖГ. 2023. № 2. С. 113–122.
- Squire V., Martin S. A field study of the physical properties, response to swell, and subsequent fracture of a single ice floe in the winter Bering sea. Technical report 18. University of Washington. 1980.
- Shishmarev K., Khabakhpasheva T., Korobkin A. The response of ice cover to a load moving along a frozen channel // Appl. Ocean Res. 2016. V. 59. P. 313–326.
Supplementary files








