The Effect of Boundary Conditions on the Modeling of Anomalous Intensification of Turbulent Heat Transfer in an Inclined Groove in the Wall of a Narrow Channel
- Авторлар: Isaev S.A.1,2, Sudakov A.G.2, Nikushchenko D.V.1, Kharchenko V.B.1, Iunakov L.P.3
- 
							Мекемелер: 
							- St. Petersburg State Marine Technical University
- St. Petersburg State University of Civil Aviation
- Baltic State Technical University “Voenmekh”
 
- Шығарылым: № 6 (2023)
- Беттер: 38-47
- Бөлім: Articles
- URL: https://journals.rcsi.science/1024-7084/article/view/231727
- DOI: https://doi.org/10.31857/S1024708423600367
- EDN: https://elibrary.ru/RBCVPD
- ID: 231727
Дәйексөз келтіру
Толық мәтін
Аннотация
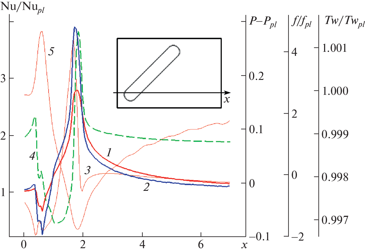
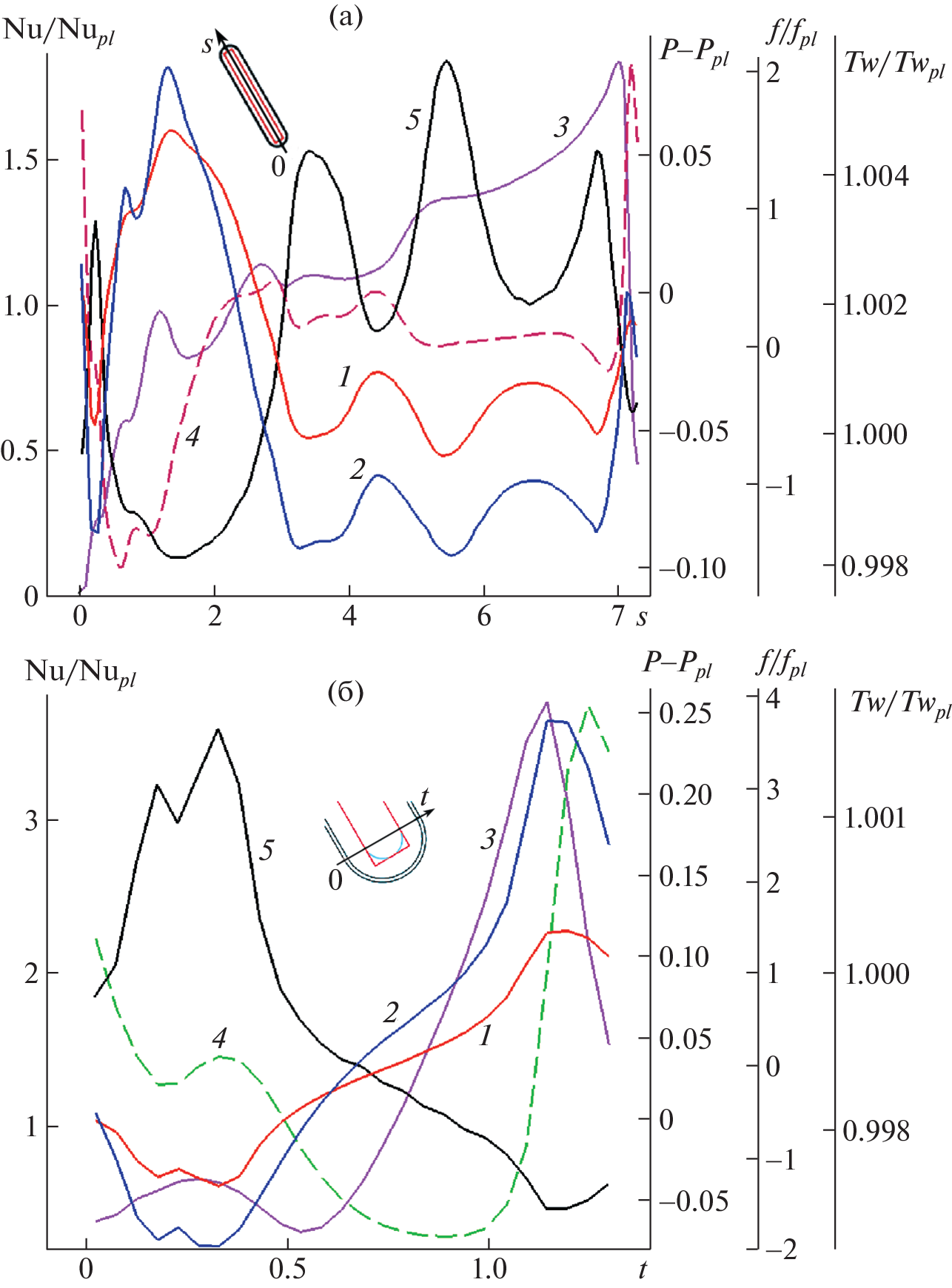
The effect of the boundary conditions of the first and second kind on the predicted characteristics of anomalous heat transfer intensification in the case of turbulent low-velocity air flow over an inclined groove in the hot wall of a narrow channel is numerically investigated. It is shown that the isothermality conditions lead to a considerable underestimation of the thermal efficiency of a surface structured with narrow grooves, compared with the conditions of heat flux constancy.
Авторлар туралы
S. Isaev
St. Petersburg State Marine Technical University;St. Petersburg State University of Civil Aviation
														Email: isaev3612@yandex.ru
				                					                																			                												                								190121, St. Petersburg, Russia; 196210, St. Petersburg, Russia						
A. Sudakov
St. Petersburg State University of Civil Aviation
														Email: isaev3612@yandex.ru
				                					                																			                												                								196210, St. Petersburg, Russia						
D. Nikushchenko
St. Petersburg State Marine Technical University
														Email: isaev3612@yandex.ru
				                					                																			                												                								190121, St. Petersburg, Russia						
V. Kharchenko
St. Petersburg State Marine Technical University
														Email: isaev3612@yandex.ru
				                					                																			                												                								190121, St. Petersburg, Russia						
L. Iunakov
Baltic State Technical University “Voenmekh”
							Хат алмасуға жауапты Автор.
							Email: isaev3612@yandex.ru
				                					                																			                												                								190005, St. Petersburg, Russia						
Әдебиет тізімі
- Исаев С.И., Кожинов И.А., Кофанов В.И., Леонтьев А.И., Миронов Б.М., Никитин В.М., Петражицкий Г.Б., Хвостов В.И., Чукаев А.Г., Шишов Е.В., Школа В.В. Теория тепломассообмена / Под ред. А.И. Леонтьева, М.: Изд-во МГТУ им. Н.Э. Баумана, 2018. 464 с.
- Terekhov V., Kalinina S., Mshvidobadze Yu. Heat transfer coefficient and aerodynamic resistance on a surface with a single dimple // Enhanced Heat Transfer. 1997. V. 4. P. 131–145.
- Burgess N.K., Ligrani P.M. Effects of dimple depth on channel Nusselt numbers and friction factors // J. Heat Transfer. 2005. V. 127. P. 839–847.
- Rao Y., Feng Y., Li B., Weigand B. Experimental and numerical study of heat transfer and flow friction in channels with dimples of different shapes // J. Heat Transfer. 2015. V. 137. P. 031901–1–10. https://doi.org/10.1115/1.4029036
- Сапожников С.З., Митяков В.Ю., Митяков А.В. Градиентные датчики теплового потока. СПб: Изд-во СПбГПУ, 2003. 168 с.
- Сапожников С.З., Митяков В.Ю., Митяков А.В. Основы градиентной теплометрии. СПб.: Изд-во Политехн. ун-та, 2012. 203 с.
- Балашова И.Е., Юдин В.М. Определение параметров граничных условий теплообмена на основе решения обратной задачи теплопроводности // Ученые Записки ЦАГИ. 1985. Т. 16. № 5. С. 84–91.
- Кикнадзе Г.И., Гачечиладзе И.А., Алексеев В.В. Самоорганизация смерче-образных струй в потоках вязких сплошных сред и интенсификация тепломассообмена, сопровождающая это явление. М.: Изд-во МЭИ, 2005. 84 с.
- Xie G., Liu J., Ligrani P.M., Zhang W. Numerical predictions of heat transfer and flow structure in a square cross-section channel with various non-spherical indentation dimples // Numerical Heat Transfer. Part A: Applications: An International Journal of Computation and Methodology. 2013. V. 64. № 3. P. 187–215.
- Баранов П.А., Исаев С.А., Леонтьев А.И., Митяков А.В., Митяков В.Ю., Сапожников С.З. Физическое и численное моделирование вихревого теплообмена при турбулентном обтекании сферической лунки на плоскости // Теплофизика и аэромеханика. 2002. Т. 9. № 4. С. 521–532.
- Isaev S.A., Kornev N.V., Leontiev A.I., Hassel E. Influence of the Reynolds number and the spherical dimple depth on the turbulent heat transfer and hydraulic loss in a narrow channel // Int. J. Heat Mass Transfer. 2010. V. 53. Iss. 1–3. P. 178–197.
- Isaev S.A., Schelchkov A.V., Leontiev A.I., Baranov P.A., Gulcova M.E. Numerical simulation of the turbulent air flow in the narrow channel with a heated wall and a spherical dimple placed on it for vortex heat transfer enhancement depending on the dimple depth // Int. J. Heat and Mass Transfer. 2016. V. 94. P. 426–448.
- Nasr M.A., Tay C.M., Khoo B.C. Numerical investigation of heat transfer and drag over different dimple geometries in turbulent channel flow // J. Enhanced Heat Transfer. 2022. V. 29. № 4. P. 81–114.
- Исаев С.А., Гульцова М.Е. Численное моделирование турбулентного течения воды и конвективного теплообмена в узком канале с траншеей и сферической лункой. Сравнение граничных условий T = = const и Q = const // Тепловые процессы в технике. 2013. № 6. С. 242–246.
- Исаев С.А. Генезис аномальной интенсификации отрывного течения и теплообмена в наклонных канавках на структурированных поверхностях // Изв. РАН. Механика жидкости и газа. 2022. № 5. С. 13–24.
- Исаев С.А. Аэрогидродинамические механизмы интенсификации физико-энергетических процессов на структурированных энергоэффективных поверхностях с вихревыми генераторами // Теплофизика и аэромеханика. 2023. Т. 30. № 1. С. 83–88.
- Isaev S.A., Schelchkov A.V., Leontiev A.I., Gortyshov Yu.F., Baranov P.A., Popov I.A. Tornado-like heat transfer enhancement in the narrow plane-parallel channel with the oval-trench dimple of fixed depth and spot area // Int. J. Heat and Mass Transfer. 2017. V. 109. P. 40–62. https://doi.org/10.1016/j.ijheatmasstransfer.2017.01.103
- Isaev S., Leontiev A., Chudnovsky Y., Nikushchenko D., Popov I. and Sudakov A. Simulation of vortex heat transfer enhancement in the turbulent water flow in the narrow plane-parallel channel with an inclined oval-trench dimple of fixed depth and spot area // Energies. 2019. V. 12. № 1296. P. 1–24.
- Isaev S., Gritckevich M., Leontiev A., Popov I. Abnormal enhancement of separated turbulent air flow and heat transfer in inclined single-row oval-trench dimples at the narrow channel wall // Acta Astronautica. 2019. V. 163. Part. A. P. 202–207. https://doi.org/10.1016/j.actaastro.2019.01. 033
- Isaev S.A., Leontiev A.I., Milman O.O., Popov I.A., Sudakov A.G. Influence of the depth of single-row oval-trench dimples inclined to laminar air flow on heat transfer enhancement in a narrow micro-channel // Int. J. Heat and Mass Transfer. 2019. V. 134. P. 338–358.
- Isaev S.A., Gritckevich M.S., Leontiev A.I., Milman O.O., Nikushchenko D.V. Vortex enhancement of heat transfer and flow in the narrow channel with a dense packing of inclined one-row oval-trench dimples // Int. J. Heat and Mass Transfer. 2019. V. 145. 118737. P. 1–13. https://doi.org/10.1016/j.ijheatmasstransfer.2019.118737
- Isaev S., Leontiev A., Gritskevich M., Nikushchenko D., Guvernyuk S., Sudakov A., Chung K.-M., Tryaskin N., Zubin M., Sinyavin A. Development of energy efficient structured plates with zigzag arrangement of multirow inclined oval trench dimples // Int. J. Thermal Sciences. 2023. V. 184. P. 107988.
- Isaev S.A., Baranov P.A., Usachov A.E. Multiblock computational technologies in the VP2/3 package on aerothermodynamics. LAP LAMBERT Academic Publishing, Saarbrucken, 2013. 316 p.
- Menter F.R. Zonal two equation k–ω turbulence models for aerodynamic flows // AIAA Paper. 1993. № 93–2906. 21 p.
- Van Doormaal J.P., Raithby G.D. Enhancement of the SIMPLE method for predicting incompressible fluid flow // Numerical Heat Transfer. 1984. V. 7. P. 147–163.
- Leonard B.P. A stable and accurate convective modeling procedure based on quadratic upstream interpolation // Comp. Meth. Appl. Mech. Eng. 1979. V. 19. № 1. P. 59–98.
- Van Leer B. Towards the ultimate conservative difference scheme V. A second order sequel to Godunov’s method // J. Comp. Phys. 1979. V. 32. P. 101–136.
- Rhie C.M., Chow W.L. A numerical study of the turbulent flow past an isolated airfoil with trailing edge separation // AIAA J. 1983. V. 21. P. 1525–1532.
- Pascau A., Garcia N. Consistency of SIMPLEC scheme in collocated grids. V European Conference on Computational Fluid Dynamics ECCOMAS CFD 2010. Lisbon, Portugal, 2010, 12 p.
- Saad Y. Iterative methods for sparse linear systems, 2nd ed., Society for Industrial and Applied Mathematics, Philadelphia, 2003. 567p.
- Demidov D. AMGCL: C++ library for solving large sparse linear systems with algebraic multigrid method. http://amgcl.readthedocs.org/
Қосымша файлдар
 
				
			 
						 
						 
						 
					 
						 
									
 
  
  
  Мақаланы E-mail арқылы жіберу
			Мақаланы E-mail арқылы жіберу 





