РАДИАЦИОННО-КОНВЕКТИВНЫЙ НАГРЕВ ПОВЕРХНОСТИ МАРСИАНСКОГО СПУСКАЕМОГО АППАРАТА MSL ПРИ УЧЕТЕ ТУРБУЛЕНТНОГО ХАРАКТЕРА ОБТЕКАНИЯ
- Авторы: Суржиков С.Т.1
-
Учреждения:
- Институт проблем механики им. А.Ю. Ишлинского РАН
- Выпуск: № 5 (2023)
- Страницы: 119-137
- Раздел: Статьи
- URL: https://journals.rcsi.science/1024-7084/article/view/135110
- DOI: https://doi.org/10.31857/S102470842360032X
- EDN: https://elibrary.ru/TRMSCE
- ID: 135110
Цитировать
Полный текст
Аннотация
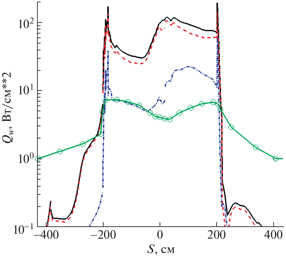
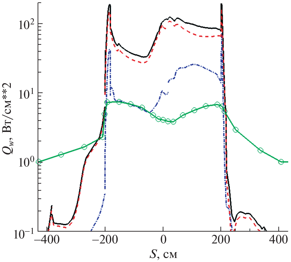
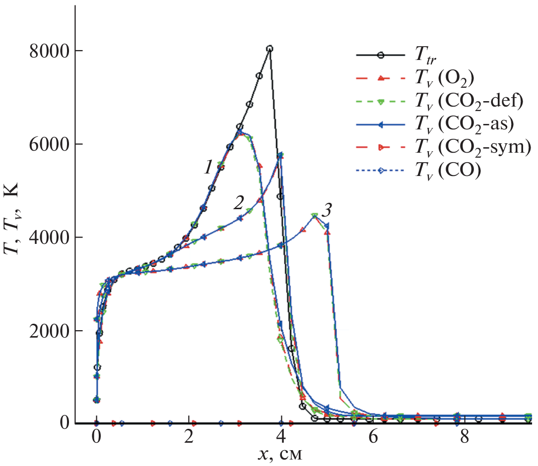
Пространственная компьютерная модель, основанная на усредненных по Рейнольдсу уравнениях Навье–Стокса совместно с алгебраическими моделями турбулентного смешения Болдуина–Ломакса и Прандтля, использована для расчета радиационно-конвективного теплообмена на поверхности спускаемого марсианского аппарата MSL. Показаны интенсификация конвективного теплообмена на подветренной стороне лобового аэродинамического щита и превосходство плотности радиационного теплового потока над конвективным на задней поверхности. Расчеты выполнены с использованием модели физически и химически неравновесного газа. Выполнено сравнение с результатами расчетов по другим вычислительным моделям и с летными данными по тепловой нагрузке на спускаемый аппарат, полученными при спуске MSL в плотных слоях атмосферы Марса.
Об авторах
С. Т. Суржиков
Институт проблем механики им. А.Ю. Ишлинского РАН
Автор, ответственный за переписку.
Email: surg@ipmnet.ru
Россия, Москва
Список литературы
- Edquist K.T., Hollis B.R., Johnston C.O., Bose D., White T.R., Mahzari M. Mars Science Laboratory Heat Shield Aerothermodynamics: Design and Reconstruction // JSR. 2014. V. 51. № 4. P. 1106–1124.
- Planetary Mission Entry Vehicles. NASA SP-20220010761 / By ed K. Parcelo, G. Allen. Version 4. Davies, ELORET Corporation.
- Edquist K.T., Dyakonov A.A., Wright M.J., Tang C.-Y. Aerothermody-namic Design of the Mars Science Laboratory Backshell and Parachute Cone // AIAA. Paper 2009–4078. June 2009.
- Cheatwood F.M., Gnoffo P.A. Users Manual for the Langley Aerothermo-dynamic Upwind Algorithm (LAURA) // NASA TM-4674, April 1996.
- Wright M.J., Candler G.V., Bose D. Data-Parallel Line Relaxation Method for the Navier-Stokes Equations // AIAA Journal. 1998. V. 36. № 9. P. 1603–1609.
- Суржиков С.Т. Анализ экспериментальных данных по конвективному нагреву модели марсианского спускаемого аппарата с использованием алгебраических моделей турбулентности // Изв. РАН. МЖГ. 2019. № 6. С. 129–140.
- Baldwin B.S., Lomax H. Thin Layer Approximation and Algebraic Model for Separated Turbulent Flows. AIAA Paper 78−0257. 1978. 8 p.
- Visbal M., Knight D. The Baldwin − Lomax Turbulence Model for Two-Dimensional Shock-Wave/ Boundary-Layer Interaction // AIAA J. 1984. V. 22. № 7. P. 921−928.
- Tannehill J.C., Anderson D.A., Pletcher R.H. Computational Fluid Mechanics and Heat transfer. 1997. Taylor&Francis. 792 p.
- Шлихтинг Г. Теория пограничного слоя. М.: Главная редакция физико-математической литературы. 1974. 711 с.
- Суржиков С.Т. Радиационно-конвективный нагрев марсианского аппарата EDL MSL под углом атаки // Физико-химическая кинетика в газовой динамике. 2015. Т. 16. Вып. 2. http://chemphys.edu.ru/issues/2015-16-2/articles/604/
- Surzhikov S.T. Three-Dimensional Computer Model of Nonequilibrium Aerophysics of the Spacecraft Entering in the Martian Atmosphere // Fluid Dynamics. 2011. V. 46. № 3. P. 490–503.
- Surzhikov S.T. Comparative Analysis of Radiative Aerothermodynamics of Martian Entry Probes // AIAA paper AIAA 2012-2867. 2012. 38 p.
- Суржиков С.Т. Радиационно-конвективный нагрев марсианских зондов // Физико-химическая кинетика в газовой динамике. 2013. Т. 14. Вып. 2. http://chemphys.edu.ru/issues/2013-14-2/articles/408/
- Суржиков С.Т. Расчетный анализ ионизации сжатого слоя при входе космического аппарата Schiaparelli в плотные слои атмосферы Марса // Изв. РАН. МЖГ. 2020. № 3. С. 80–92.
- Суржиков С.Т. Радиационная газовая динамика спускаемых космических аппаратов. Многотемпературные модели. М.: Ин-т проблем механики им. А.Ю. Ишлинского РАН. 2013. 706 с.
- Ступоченко Е.В., Лосев С.А., Осипов А.И. Релаксационные процессы в ударных волнах. М.: Наука. Глав. ред. физ.-мат. лит-ры. 1965. 484 с.
- Park C. Nonequilibrium Hypersonic Aerothermodynamics. Wiley-Inter-science Publication. New York: J. Wiley & Son, 1990.
- Millikan R.C., White D.R. Systematic of Vibrational Relaxation // J. of Chemical Physics. 1963. V. 39. № 12. P. 3209–3212.
- Treanor C.E., Marrone P.V. Effect of Dissociation on the Rate of Vibrational Relaxation // Phys. Fluids. 1962. V. 5. № 9. P. 1022–1026.
- Bird R.B., Stewart W.E., Lightfoot E.N. Transport Phenomena. New York: John Wiley & Sons. Inc, 2007. 920 p.
- Гинзбург И.П. Теория сопротивления и теплопередачи. Л.: Изд-во Ленинградского ун-та, 1979. 375 с.
- Svehla R.A. Estimated Viscosities and Thermal Conductivities of Gases at High Temperatures // NASA TR-R-132. 1962. 26 p.
- Wilke C.R. Diffusional properties of multicomponent gases // Chemical engineering progress. 1950. V. 46. № 2. P. 95–104.
- Анфимов Н.А. Ламинарный пограничный слой в многокомпонентной смеси газов // Изв. АН СССР. Механика и машиностроение. 1962. № 1. С. 25–31.
- Суржиков С.Т. Тепловое излучение газов и плазмы. М.: Изд-во МГТУ им. Н.Э. Баумана, 2004. 543 с.
- Землянский Б.А., Лунев В.В., Власов В.И. и др. Конвективный теплообмен летательных аппаратов. М.: Физматлит, 2014. 330 с.
- Суржиков С.Т. Результаты использования алгебраических моделей турбулентности в рамках RANS-модели нагрева поверхности острой пластины в сверхзвуковом потоке // Физико-химическая кинетика в газовой динамике. 2023. Т. 20. Вып. 4. http://chemphys.edu.ru/issues/2019-20-4/articles/890/
- Shang J.S., Scherr S.J. Navier–Stockes Solution for a Complete Re-Entry Configuration. J. Aircraft. 1986. V. 23. № 12. P. 881−888.
- Liou M.-S. 1996 A Sequel to AUSM: AUSM+ // J. Comput. Phys. V. 129. P. 364–382.
- Суржиков С.Т. Оптические свойства газов и плазмы. Изд-во МГТУ им. Н.Э. Баумана. 2004. 576 с.
- Ludwig C.B., Malcmus W., Reardon J.E. et al. Handbook of infrared radiation from combastion gases // NASA SP-3080. Washington: Marshal Space Flight Center. 1973.
- Gromov V.G., Surzhikov S.T., Charbonnier J.-M. Convective and Radiative Heating of a Martian Space Vehicle Base Surface // Proceeding of the 4th European Symposium on Aerothermodynamics for Space Vehicles. 15–18 Oct. 2001. Capua, Italy. ESA SP-487. 2002. P. 265–269.
Дополнительные файлы














