Frequencies and profiles of flexural-gravity waves
- Authors: Kalinichenko V.A.1
-
Affiliations:
- Ishlinsky Institute of Problems of Mechanics of the Russian Academy of Sciences
- Issue: No 5 (2023)
- Pages: 103-109
- Section: Articles
- URL: https://journals.rcsi.science/1024-7084/article/view/135106
- DOI: https://doi.org/10.31857/S1024708423600306
- EDN: https://elibrary.ru/FZYONJ
- ID: 135106
Cite item
Full Text
Abstract
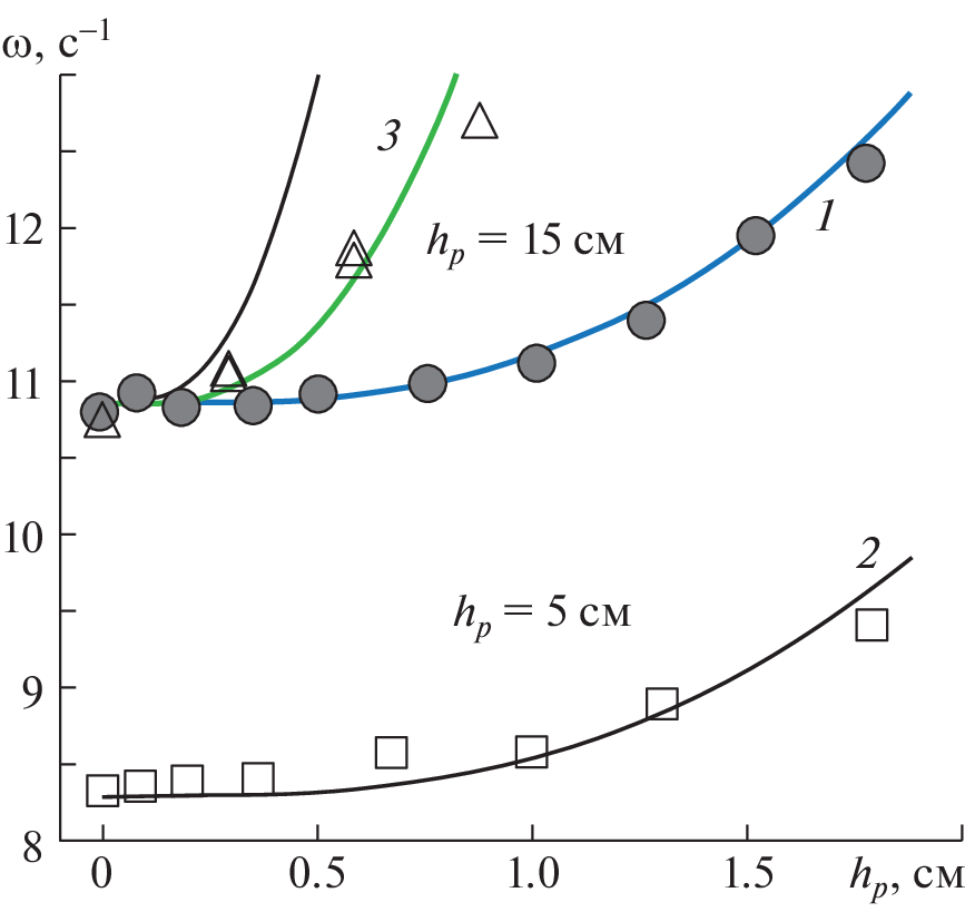
New results of experiments on the effect of a floating thin plate on the regularization of a standing Faraday gravity wave on the free surface of water in a rectangular vessel are presented. It is shown that an increase in the thickness of a floating plate significantly affects both the natural frequency of oscillations of the hydroelastic system and the shape of the profiles of the observed standing flexural-gravity waves. When the plate thickness is below the critical value, the waveform is described by the theory of non-linear gravity waves; at large thicknesses, the “dry beam” approximation should be used as approximating dependencies.
About the authors
V. A. Kalinichenko
Ishlinsky Institute of Problems of Mechanics of the Russian Academy of Sciences
Author for correspondence.
Email: mzg@ipmnet.ru
Moscow, Russia,
References
- Калиниченко В.А. Эксперименты по подавлению интенсивных колебаний жидкости плавающей пластиной // Изв. РАН. МЖГ. 2021. № 6. С. 74–83.
- Хейсин Д.Е. Динамика ледяного покрова. Л.: Гидрометеоиздат, 1967. 215 с.
- Robin G.D.Q. Wave propagation through fields of pack ice // Philos. Trans. R. Soc. A:1963. V. 255. № 1057. P. 313–339.
- Тимошенко С.П. Сопротивление материалов. Элементарная теория и задачи. М.: Наука, 1966, 365 с.
- Wadhams P. The Seasonal ice zone // The Geophysics of Sea Ice. Springer, Boston, 1986. P. 825–991. https://doi.org/10.1007/978-1-4899-5352-0_15
- Sergienko O.V. Behavior of flexural gravity waves on ice shelves: application to the Ross Ice Shelf // J. Geophys. Res. Oceans. 2017. V. 122. № 8. P. 6147–6164. https://doi.org/10.1002/2017JC012947
- Dethloff K., Maslowski W., Hendricks S., Lee Y.J., Goessling H.F., Krumpen T., Haas C., Handorf D., Ricker R., Bessonov V., Cassano J.J., Kinney J.C., Osinski R., Rex M., Rinke A., Sokolova J., Sommerfeld A. Arctic sea ice anomalies during the MOSAiC winter 2019/20 // Cryosphere. 2022. V. 16. P. 981–1005. https://doi.org/10.5194/tc-16-981-2022
- Калиниченко В.А. Регуляризация гравитационных баротропных волн в двухслойной жидкости // Изв. РАН. МЖГ. 2019. № 6. С. 25–37. https://doi.org/10.1134/S0568528119060069
- Калиниченко В.А. Подавление интенсивных колебаний жидкости слоем плавающих частиц // Изв. РАН. МЖГ. 2020. № 6. С. 85–97. https://doi.org/10.1134/S0568528120060067
- Стурова И.В. Влияние ледяного покрова на колебания жидкости в замкнутом бассейне // Изв. РАН. ФАО. 2007. Т. 43. № 1. С. 128–135.
- Зырянов В.Н. Сейши подо льдом // Водные ресурсы. 2011. Т. 38. № 3. С. 259–271.
- Букатов А.Е. Волны в море с плавающим ледяным покровом. Севастополь: ФГБУН МГИ, 2017. 360 с.
- Секерж-Зенькович Я.И. К теории стоячих волн конечной амплитуды на поверхности тяжелой жидкости // Докл. АН СССР. 1947. Т. 8. № 4. С. 551–553.
- Нестеров С.В. Параметрическое возбуждение волн на поверхности тяжелой жидкости // Морские гидрофиз. исследования. 1969. № 3 (45). С. 87–97.
Supplementary files









