Generation of a Vertical Fine Structure by Internal Waves on the Sea Shelf
- Autores: Slepyshev A.A.1
-
Afiliações:
- Marine Hydrophysical Institute of the Russian Academy of Sciences
- Edição: Nº 3 (2023)
- Páginas: 111-124
- Seção: Articles
- URL: https://journals.rcsi.science/1024-7084/article/view/135101
- DOI: https://doi.org/10.31857/S1024708422600749
- EDN: https://elibrary.ru/TMNYOX
- ID: 135101
Citar
Texto integral
Resumo
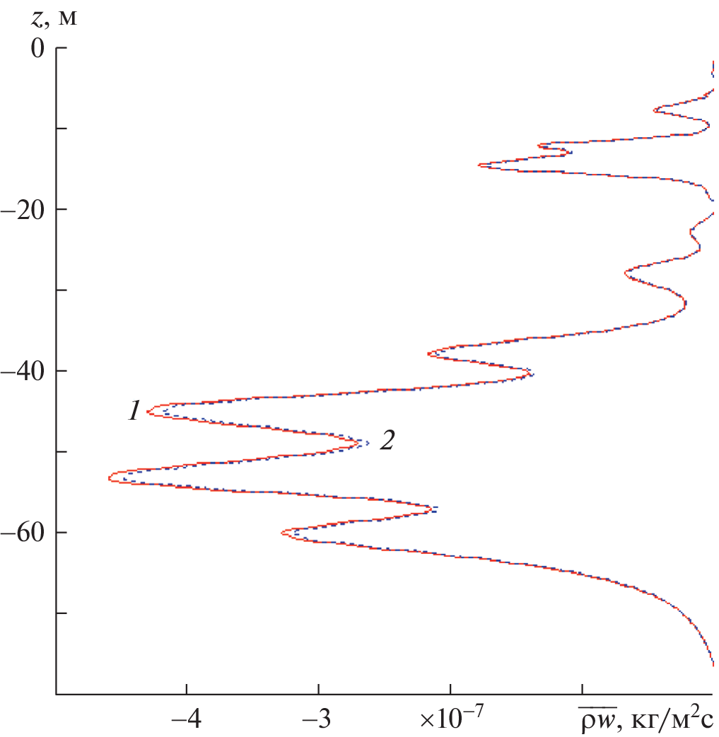
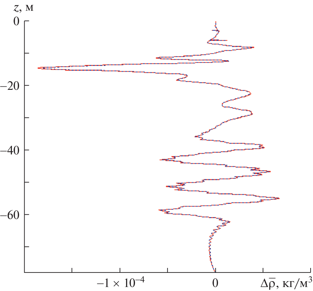
Free internal waves are considered in the Boussinesq approximation with account of horizontal turbulent viscosity and diffusion in a two-dimensional flow in the sea of constant depth. In the linear approximation the boundary-value problem for the amplitude of vertical velocity has complex coefficients and is solved numerically using the third-order implicit Adams method. The vertical component of the Stokes drift velocity and the vertical wave fluxes of mass and salt are found in the second order in the wave amplitude. These fluxes lead to generation of a vertical fine structure that has an irreversible nature.
Palavras-chave
Sobre autores
A. Slepyshev
Marine Hydrophysical Institute of the Russian Academy of Sciences
Autor responsável pela correspondência
Email: slep55@mail.ru
Sevastopol, Russia
Bibliografia
- Самодуров А.С., Любицкий А.А., Пантелеев Н.А. Вклад опрокидывающихся внутренних волн в структурообразование, диссипацию энергии и вертикальную диффузию в океане // Морской гидрофиз. журн.1994. № 3. С. 14–27.
- Павлова Е.П. Взаимосвязь внутренних волн и тонкой структуры в шельфовой зоне дальневосточных морей // Сборник статей по материалам конференции молодых ученых ТОЙ ДВО РАН (27–30 ноября 2001 г.). Владивосток.: Дальнаука. 2003. С. 37–44.
- Тернер Дж. Эффекты плавучести в жидкостях. М.: Мир, 1977. 431 с.
- Журбас В.М., Озмидов Р.В. О внутреннем строении тонкой ступенчатой структуры термоклина океана // Океанология. 1983. Т. 23. Вып. 6. С. 938–946.
- Molcard R., Williams A.J. Deep stepped structure in the Tyrrhenian sea. // Mem. Soc. Roy. Sci. Liege, ser. 6. 1975. V. VII. P. 191–210.
- Williams A.J. Salt fingers in the Mediaterranean outflow // Science. 1974. V. 185. № 4155. P. 941–943.
- Козицкий С.Б. Амплитудные уравнения для системы с термохалинной конвекцией // ПМТФ. 2000. Т. 41. № 3. С. 56–66.
- Журбас В.М., Липс У.К. О выделении основных типов тонкой термохалинной структуры океана // Океанология. 1987. Вып. 4. С. 562–567.
- Фалина А.С., Волков И.И. Влияние процесса двойной диффузии на общую гидрологическую структуру глубинных вод Черного моря // Океанология. 2005. Т. 45. Вып. 1. С. 21–31.
- Keller K.H., Van Atta C.W. An experimental investigation of the vertical temperature structure of homogeneous stratified shear turbulence // J. Fluid Mech. 2000. V. 425. P. 1–29.
- Wunsch C., Ferrari R. Vertical mixing, energy, and the general circulation of the ocean // Ann. Rev. Fluid. Mech. 2004. V. 36. P. 281–314.
- Зацепин А.Г., Голенко Н.Н., Корж А.О., Кременецкий В.В., Пака В.Т., Поярков С.Г., Стунжас П.А. Влияние динамики течений на гидрофизическую структуру вод и вертикальный обмен в деятельном слое Черного моря // Океанология. 2007. Т. 47. № 3. С. 327–339.
- Ivanov A.V., Ostrovsky L.A.,Soustova I.A.,Thimring L.Sh. Interaction of internal waves and turbulent in the upper layer of the ocean // Dyn. of Atmos. and Ocean. 1984. V. 3. № 7. P. 221–232.
- Зацепин А.Г., Герасимов В.В., Островский А.Г. Турбулентный массообмен в стратифицированной жидкости и условия ее тонкоструктурного расслоения // Моря России: вызовы отечественной науки. Тезисы докладов Всероссийской научной конференции. Севастополь, 26–30 сентября 2022 г. Севастополь.: ФГБУН ФИЦ МГИ, 2022. 392 с.
- Зимин А.В., Романенков Д.А., Козлов И.Е., Шапрон Б., Родионов А.А., Атаджанова О.А., Мясоедов А.Г., Коллар Ф. Короткопериодные внутренние волны в Белом море: оперативный подспутниковый эксперимент летом 2012 года // Исслед. Земли из космоса. 2014. № 3. С. 1–14.
- Бондур В.Г., Серебряный А.Н., Замшин В.В., Тарасов Л.Л., Химченко Е.Е. Интенсивные внутренние волны аномальных высот на шельфе Черного моря//. Изв. РАН. ФАО. 2019. Т. 55. № 1. С. 114–127.
- Иванов В.А., Шульга Т.Я., Багаев А.В., Медведева А.В., Пластун Т.В., Вржевская Л.В., Свищева И.А. Внутренние волны в р-не Гераклейского полуострова: моделирование и наблюдение// Мор. Гидрофиз. Журн. 2019. Т. 35. № 4. С. 322–340. https://doi.org/10.22449/0233-7584-2019-4-322-340
- Булатов В.В., Владимиров Ю.В. Волны в стратифицированных средах. М.: Наука, 2015. 735 с.
- Борисенко Ю.Д., Воронович А.Г., Леонов А.И., Миропольский Ю.З. К теории нестационарных слабонелинейных внутренних волн в стратифицированной жидкости // Изв. АН СССР. ФАО. I976. Т. 12. № 3. С. 293–301.
- Воронович А.Г., Леонов А. И., Миропольский Ю.З. К теории образования тонкой структуры гидрофизических полей в океане // Океанология. 1976. Т. 11. Вып.5. С. 490–497.
- Ле Блон П., Майсек Л. Волны в океане. М.: Мир, 1981. Ч. 2. 363 с.
- LeBlond P.H. On damping of internal gravity waves in a continuously stratified ocean // J. Fluid Mech. 1966. V. 25. Pt. 1. P. 121–142. https://doi.org/10.1017/S0022112066000089
- Островский Л.А., Соустова И.А. Верхний перемешанный слой как сток энергии внутренних волн // Океанология. 1979. Т. 19. Вып. 6. С. 973–981.
- Носова А.В., Слепышев А.А. Вертикальные потоки, обусловленные слабонелинейными внутренними волнами на шельфе // Изв. РАН. МЖГ. 2015. № 1. С. 15–25. https://doi.org/10.1134/S0015462815010020
- Слепышев А.А., Носова А.В. Генерация вертикальной тонкой структуры внутренними волнами при учете турбулентной вязкости и диффузии // Морской гидрофиз. журн. 2020. Т. 36. № 1. С. 5–19. https://doi.org/10.22449/0233-7584-2020-1-5-19
- Погребной А.Е. Оценка коэффициентов горизонтального турбулентного обмена в Черном море по данным дрифтерного эксперимента // Морской гидрофиз. журн. 2011. № 5. С. 40–49.
- Самодуров А.С. Взаимодополняемость различных подходов для оценки интенсивности вертикального турбулентного обмена в естественных стратифицированных бассейнах // Морской гидрофиз. журн. 2016. № 6. С. 37–48. https://doi.org/10.22449/0233-7584-2016-6-37-48
- Подымов О.И., Зацепин А.Г., Островский А.Г. Вертикальный турбулентный обмен в черноморском пикноклине и его связь с динамикой вод // Океанология. 2017. Т. 57. № 4. С. 546–559. https://doi.org/10.7868/S0030157417040049
- Миропольский Ю.З. Динамика внутренних гравитационных волн в океане. Л: Гидрометеоиздат, 1981. С. 30.
- Гилл А. Динамика атмосферы и океана. 1986. М.: Мир, 1986. Т. 1. 397 с.
- Longuet-Higgins M.S. On the transport of mass by time varying ocean current // Deep-Sea Res. 1969. V. 16. № 5. P. 431–447. https://doi.org/10.1016/0011-7471(69)90031-X
- Слепышев А.А., Воротников Д.И. Вертикальные потоки тепла и соли, обусловленные внутренними волнами на морском шельфе // Изв. РАН. ФАО. 2017. Т. 53. № 4. С. 532–541.https://doi.org/10.7868/S000335151704011
- Пантелеев Н.А. Отчет о работах в 44-м рейсе (3-й этап) НИС “Михаил Ломоносов” 7 августа – 15 сентября 1985 г. Севастополь.: МГИ АН УССР, 1985. Т. 1. 135 с.
- Озмидов Р.В. О зависимости коэффициента горизонтального турбулентного обмена в океане от масштаба явления // Изв. АН СССР. ФАО. 1968. Т. 1. № 11. С. 1224–1225.
Arquivos suplementares














