ДВИЖЕНИЕ НАГРУЗКИ ПО ЛЕДЯНОМУ ПОКРОВУ ПРИ НАЛИЧИИ ТЕЧЕНИЯ СО СДВИГОМ СКОРОСТИ
- Авторы: Ткачева Л.А.1
-
Учреждения:
- Институт гидродинамики им. М.А. Лаврентьева СО РАН
- Выпуск: № 2 (2023)
- Страницы: 113-122
- Раздел: Статьи
- URL: https://journals.rcsi.science/1024-7084/article/view/135084
- DOI: https://doi.org/10.31857/S0568528123700044
- EDN: https://elibrary.ru/NTTSET
- ID: 135084
Цитировать
Полный текст
Аннотация
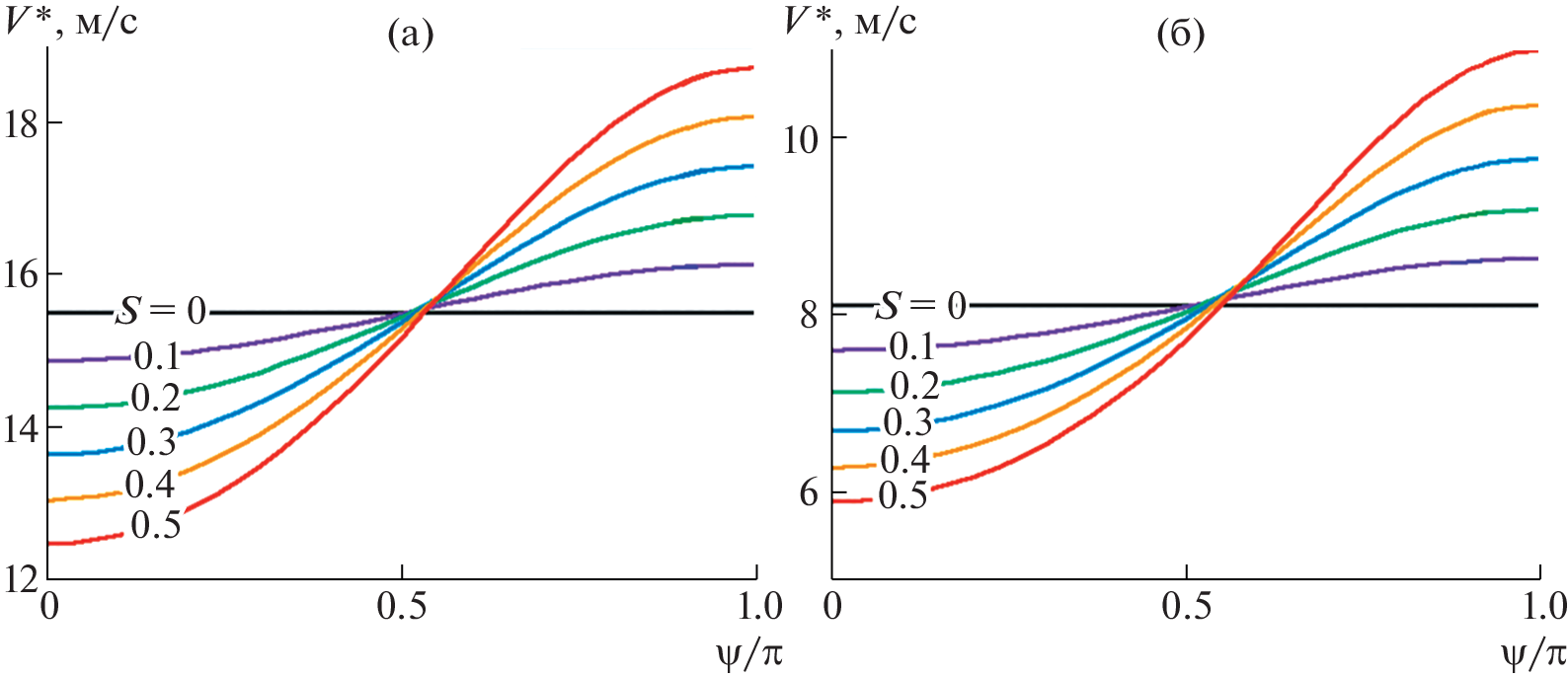
Исследовано поведение ледяного покрова на поверхности идеальной несжимаемой жидкости конечной глубины под действием движущейся прямолинейно с постоянной скоростью области давления при наличии потока со сдвигом скорости. Течение жидкости не потенциально. Ледяной покров моделируется тонкой упругой пластиной с учетом равномерного сжатия. Движение нагрузки может происходить под произвольным углом к направлению течения. Предполагается, что в системе координат, движущейся вместе с нагрузкой, прогиб льда является установившимся. Использован метод преобразования Фурье в рамках линейной теории волн. Исследованы критические скорости и прогиб ледяного покрова в зависимости от градиента скорости течения, направления движения и коэффициента сжатия.
Об авторах
Л. А. Ткачева
Институт гидродинамики им. М.А. Лаврентьева СО РАН
Автор, ответственный за переписку.
Email: tkacheva@hydro.nsc.ru
Россия, Новосибирск
Список литературы
- Davys J.W., Hosking R.I., Sneyd A.D. Waves due to a steadily moving source on a floating ice plate// J. Fluid Mech. 1985. V. 158. P. 269–287.
- Schulkes R.M.S.M., Hosking R.J., Sneyd A.D. Waves due to a steadily moving source on a floating ice plate. Pt 2 // J. Fluid Mech. 1987. V. 180. P. 297–318.
- Milinazzo F., Shinbrot M., Evans N.W. A mathematical analysis of the steady response of floating ice to the uniform motion of a rectangle load // J. Fluid Mech. 1995. V. 287. P. 173–197.
- Букатов А.Е., Жарков В.В., Завьялов Д.Д. Трехмерные изгибно-гравитационные волны при неравномерном сжатии // ПМТФ. 1991. № 6. С. 51–57.
- Жесткая В.Д., Козин В.М. Исследования напряженно-деформированного состояния полубесконечного ледяного покрова под действием движущейся нагрузки // ПМТФ. 1994. Т. 35, № 5. С. 112–117.
- Squire V.A. Moving Loads on Ice Plates / V.A. Squire, R.J. Hosking, A.D. Kerr, et al. Dordrecht: Kluwer, 1996.
- Yeung R.W., Kim J.W. Effects of a translating load on a floating plate-structural drag and plate deformation // J. Fluids Structures. 2000. V. 14. № 7. P. 993–1011.
- Nugroho W.S., Wang K., Hosking R.J., Milinazzo F. Time-dependent response of a floating flexible plate to an impulsively started steadily moving load // J. Fluid Mech. 1999. V. 381. P. 337–355.
- Погорелова А.В., Козин В.М., Матюшина А.А. Исследование напряженно-деформируемого состояния ледяного покрова при взлете и посадке на него самолета // ПМТФ. 2015. Т. 56. № 5. С. 214–221.
- Букатов А.Е., Мордашев В.И. Влияние продольно сжатой упругой пластинки на развитие волнового возмущения потока однородной жидкости с вертикальным сдвигом скорости // ПМТФ. 1981. № 1. С. 122–129.
- Суворов А.М. Развитие колебаний ледяного покрова в море при наличии горизонтального течения со сдвигом скорости // Поверхностные и внутренние волны. Севастополь: МГИ АН УССР. 1979. С. 63–69.
- Суворов А.М., Черкесов Л.В. Нестационарные вынужденные колебания упругой пластинки, плавающей на поверхности потока жидкости со сдвигом скорости // Прикладная механика. 1980. № 5. С. 102–106.
- Букатов А.Е. Волны в море с плавающим ледяным покровом. Морской гидрофизический институт РАН. Севастополь. 2017. 357 с.
- Das S., Kar P., Sahoo T., Meylan M.H. Flexural-gravity wave motion in the presence of shear current: Wave blocking and negative energy waves // Phys. Fluids. 2018. V. 30. 106606. https://doi.org/10.1063/1.5052228
- Стурова И.В. Задача Коши–Пуассона для жидкости под ледяным покровом при наличии сдвигового течения (двумерный случай)// Изв. РАН. Механика жидкости и газа. 2022. № 1. С. 47–56.
- Суворов А.М., Тананаев А.Н., Черкесов Л.В. Нестационарные пространственные волны в потоке однородной жидкости со сдвигом скорости. Севастополь: МГИ АН УССР. 1979. С. 14–21.
- Санников В.Ф. Корабельные волны в однородном море с линейным профилем скорости по глубине // Поверхностные и внутренние волны. Севастополь: МГИ АН УССР. 1979. С. 22–31.
- Суворов А.М., Черкесов Л.В. Волны от поверхностных возмущений в потоке стратифицированной жидкости со сдвигом скорости // Поверхностные и внутренние волны. Севастополь: МГИ АН УССР. 1979. С. 128–138.
- Ellingsen S.A. Initial surface disturbance on shear current: The Cauchy-Poisson problem with a twist // Phys. Fluids. 2014. V. 26. 082104.
- Li Y., Ellingsen S.A. Initial Value Problems for Water Waves in the Presence of a Shear Current // Proc. 25-th Intern. Ocean and Polar Engng Conf. 2015. Kona. Big Island. Hawaii. USA. June 21-26 2015. P. 543–549.
- Ellingsen S.A. Ship waves in the presence of uniform vorticity // J. Fluid Mech. 2014. V. 742. R2. https://doi.org/10.1017/jfm.2014.28
- Li Y., Ellingsen S.A. Ship waves on uniform shear current at finite depth: wave resistance and critical velocity // J. Fluid Mech. 2016. V. 791. P. 539–567.
- Ellingsen S.A. Oblique waves on a vertical sheared current are rotational // Eur. J. Mech. B/Fluids. 2016. V. 56. P. 156–160.
- Ткачева Л.А. Начально-краевая задача о поведении ледяного покрова под действием нагрузки при наличии сдвигового потока// Изв. РАН. Механика жидкости и газа. 2022. № 2. С. 66–76.
- Стурова И.В. Задача Коши–Пуассона для жидкости со сдвиговым течением и неравномерно сжатым ледяным покровом // Известия РАН. Механика жидкости и газа. 2022. № 4. С. 69–76.
- Лайтхилл Дж. Волны в жидкостях. М.: Изд-во Мир. 1981.
Дополнительные файлы









