Migration of Plutonium, Micro- and Macroelements in the “Soil–Plant” System at Different Soil Moisture
- Authors: Edomskaya M.A.1, Lukashenko S.N.1, Shupik A.A.1, Zheltov D.A.2, Kharkin P.V.2, Makarova V.A.2
-
Affiliations:
- Russian Institute of Radiology and Agroecology
- The Institute of nuclear physics
- Issue: Vol 64, No 2 (2024)
- Pages: 204-215
- Section: Radioecology
- URL: https://journals.rcsi.science/0869-8031/article/view/267016
- DOI: https://doi.org/10.31857/S0869803124020106
- EDN: https://elibrary.ru/NAMRPD
- ID: 267016
Cite item
Full Text
Abstract
In the vegetation experiment, the plutonium, micro- and macroelements migration in the “soil–agricultural plant” system depending on soil moisture in the range from 15 to 40٪ of absolute soil moisture were studied. The content of 239Pu was analyzed by α-spectrometry with preliminary radiochemical isolation. The elemental composition was analyzed by the ICP-MS and ICP-AES methods. Beans (Fabaceae) variety “Amber” were used as a test culture. The plutonium transfer factor obtained in the vegetation experiments are in the range of of 5.3×10–4–1.5×10–2, with an average value of 5.4×10–3 for the aboveground part of bean and range of 4.5×10–2–2.7×10–1, with an average of 1.6×10–1 for bean roots. It was determined that the distribution of plutonium, micro and macro elements in the vegetative organs of plants is not equally, the transfer factor of plutonium for the aboveground part of plants is lower than for the root part. It has been established that the accumulation of plutonium, micro- and macroelements, depending on soil moisture, is different for the organs of beans. The dependence of plutonium accumulation by plants on soil moisture is significantly higher than for other considered elements. A decrease in the coefficient of accumulation of plutonium in the aerial part of the beans is recorded with an increase in soil moisture up to two orders of magnitude. There is a trend towards a slight decrease in the accumulation coefficients of Fe, Mg, Mn, Cr, Mo, Ni, Co, Cu. For the root system of beans, a clear dependence of the accumulation of the considered elements on soil moisture is not observed.
Keywords
Full Text
Исследования по оценке дозовых нагрузок, выполненные на территориях, подвергшихся радиоактивному загрязнению в результате аварий на предприятиях ядерного энергетического цикла, показали, что во многих радиоэкологических ситуациях вклад внутреннего облучения населения за счет потребления содержащих радионуклиды продуктов питания в суммарную дозу сравним или даже выше вклада внешнего облучения [1].
В мировой практике исследований по изучению процессов перехода искусственных радионуклидов и тяжелых металлов (ТМ) в системе “почва–растения” известно достаточно много. И если в отношении тяжелых металлов сформировано определенное понимание их миграционной способности в системе “почва–растение”, то в отношении радионуклидов наблюдается недостаток в первичных данных. Более того, в основном, исследования посвящены переходам таких “традиционных” изотопов, как 137Cs и 90Sr, и гораздо меньшее количество исследований посвящено переходам изотопов плутония.
В мировой практике для количественного описания параметров переноса элементов из почвы в растения используют коэффициенты накопления, рассчитанные как отношение содержания элементов в сухой биомассе растений к их содержанию в сухой почве.
Все значимые результаты мировых исследований по переходу элементов из почвы в растения были обобщены группой экспертов МАГАТЭ и представлены в специальных публикациях [2–4]. В данных публикациях отмечается, что средние значения коэффициента накопления (Кн) для бобовых культур составляют 0.0002–0.48 для Fe, 0.022–2.8 для Mn, 5.4 для Mo, 0.073–2.6 для Ni, 0.91 для Zn, 0.08–0.46 для Cd, 0.005–0.72 для Co, 0.00046–4.9 для Pb.
Большой объем исследований по миграции ТМ в системе “почва–растение” для бобовых культур был проведен во Всероссийском научно-исследовательском институте радиологии и агроэкологии [5]. Например, коэффициенты накопления цинка при выращивании кормовых бобов на дерново-подзолистой почве с содержанием Zn в почве 0–500 мг/кг составили 1.58–4.16, в то время как при содержании свинца в почве 0–1500 мг/кг Кн(Pb) составили 6.9–24.9. Коэффициенты накопления меди бобовыми, выращенными на почвах с концентрацией Cu 0–500 мг/кг, колебались от 0.1 до 1.3.
Коэффициенты накопления плутония приведенные в публикациях МАГАТЭ отличаются высокой вариативностью значений до четырех порядков. Например, диапазон Кн плутония для зерна злаковых культур составляет 2.0×10–7–1.1×10–3, для кустарников – 6.4×10–5–6.6×10–1. Возможно, это связано с тем, что Кн(Pu) представлены для объединенных групп различных видов растений, а также получены в различных почвенно-климатических условиях.
Значительный объем исследований накопления изотопов плутония дикорастущей растительностью произведен на территории 30 км зоны отчуждения и Полесского радиационно-экологического заповедника [6–10]. Например, Кн плутония для травянистой растительности территории подверженной чернобыльским выпадениям находится на уровне n×10–2. Так для стеблей злаковых культур диапазон Кн составляет 3.0×10–3–4.1×10–1, для осоки – 3.0×10–3 – 1.4×10–1.
Обширные исследования были проведены по изучению накопления изотопов плутония дикорастущими и сельскохозяйственными растениями на территории Семипалатинского испытательного полигона (СИП) [1, 11, 12]. Исследования проводились в естественных условиях, на участках с высоких содержанием плутония (до n×104 Бк/кг), на одном типе почвы в одной климатической зоне, что позволяет предположить, что систематическая погрешность при проведении данных исследований сведена к минимуму. Экспериментальные данные по Кн(Pu) растительностью, полученные при исследованиях, проведенных на территории СИП выше обобщенных данных МАГАТЭ на 1–2 порядка для некоторых с/х культур. Например, среднее значение Кн надземной частью моркови по данным МАГАТЭ составляет 2.2×10–3, в то время как для территории СИП – 6.9×10–2, для корнеплода моркови Кн составляет 3.9×10–4 и 3.9×10–2 соответственно. На три порядка выше значение Кн плодов баклажана, которые составили 5.5×10–2 для территории СИП и 6.2×10–5 по данным МАГАТЭ (данные представлены как плоды не листовых овощей). На два порядка отличаются и Кн для листовых овощей. Так, по данным, средний Кн составляет 8.3×10–5, в то время как для листовой части капусты, выращенной на территории СИП данный коэффициент составляет 1.2×10–3.
Такая высокая вариабельность коэффициентов накопления плутония делает актуальным исследования по определению механизмов, влияющих на миграционную способность и доступность его для растительности.
Одним из важнейших факторов внешней среды, от которого зависит химическое состояние органических и минеральных компонентов почв, является режим увлажнения. Развитие окислительно-восстановительных процессов и изменение кислотности почв в результате высушивания или избыточного увлажнения, оказывают значительное влияние на подвижность металлов, вызывая их осаждение, растворение, а также образование комплексных соединений различной прочности с органическим веществом, глинистыми минералами и другими почвенными компонентами. В наибольшей мере таким превращениям подвержены элементы с переменной валентностью.
Прогнозирование развития техногенной обстановки на сельскохозяйственных угодьях, а также разработка комплекса мероприятий по производству продукции с минимальным содержанием токсикантов базируются на знании особенностей миграции радионуклидов микро- и макроэлементов в агроландшафтах и оценке значимости факторов, влияющих на поведение загрязняющих веществ в системе “почва–растение”.
Цель настоящего исследования – изучить влияние увлажнения дерново-подзолистой почвы на накопление плутония, макро- и микроэлементов сельскохозяйственными растениями на примере бобов сорта “Янтарный” в условиях вегетационного опыта.
Материалы и методы
Подготовка почвы
В качестве почвы использована дерново-подзолистая супесчаная окультуренная почва с внесенными удобрениями. Исходные физические и химические показатели почвы представлены в табл. 1.
Таблица 1. Основные характеристики дерново-подзолистой супесчаной почвы
Table 1. Main characteristics of sod-podzolic sandy loam soil
Показатель | Величина показателя |
Полная влагоемкость, % | 36.0 ±1.0 |
ρHKCl | 5.05 ± 0.01 |
ρHH2O | 6.04 ± 0.01 |
Гумус, % | 1.67 ± 0.03 |
Физическая глина (<0.01 мм) | 18.4 |
Илистая фракции (<2 μм), % | 8.8 |
Hг, мг-экв/100 г почвы | 1.89 ± 0.02 |
Сумма обменных оснований, мг-экв/100 г почвы | 5.3 ± 0.1 |
Обменный K2O, мг/кг (по Масловой) | 77.7 ± 1.3 |
Подвижный P2O5, мг/кг (по Кирсанову) | 127 ± 2 |
Отобранную почву высушивали до воздушно-сухого состояния и просеивали через сито с диаметром отверстий 3 мм.
Просеянную почву массой 30 кг помещали в пластиковую емкость объемом 50 литров. Добавляли водный раствор содержащий элементы питания N, P2O5 и K2O из расчета добавления 200, 100, 100 мг/кг воздушно-сухой почвы соответственно. При тщательном перемешивании вносили 1 л водного раствора 239Pu концентрацией 11.25 Бк/см3. Общая концентрация плутония в почве составляла 375 Бк/ кг. Почву инкубировали в течение 45 сут при периодическом перемешивании.
После инкубации почвы измеряли концентрацию 239Pu. Результаты анализа почвы представлены в табл. 2.
Таблица 2. Результаты контрольного анализа содержания 239Pu п подготовленной почве
Table 2. Results of the control analysis of 239Pu content in prepared soil
Почва | Концентрация 239Pu, Бк/кг | Разница, % | |
расчетное количество | полученное в ходе анализа | ||
Дерново-подзолистая супесчаная | 375 | 343 ± 48 | 8% |
386 ± 54 | 3% | ||
368 ± 52 | 2% | ||
Среднее – 366 | 2% | ||
Анализ образцов почвы показывает, что расхождение между расчетным и измеренным содержанием 239Pu в почве не превышает 8٪, при среднем расхождении 2٪.
Проведение вегетационного опыта
Для выращивания бобов использовали сосуды диаметром 22 см и высотой 20 см.
Набивку сосудов осуществляли согласно стандартным методикам проведения вегетационных опытов в агрохимии [13]. На дно сосуда помещали дренаж в виде пластиковых гранул диаметром 5 мм, поверх дренажа укладывали инертный материал и ставилась дренажная трубка. На весах поверх дренажа насыпалась сухая почва ∼3.5 кг с содержанием плутония 375 Бк/кг. В каждый сосуд на весах добавляли расчетное количество воды до соответствующей влажности почвы. Чтобы уменьшить испарение влаги, предотвратить образование почвенной корочки и уменьшить нагрев почвы солнцем, сверху насыпали пластиковые гранулы диаметром 5 мм светло-бежевого цвета. Сосуды с почвой выдерживались 10 дней с ежедневным доливом воды на весах до расчетной массы для достижения равномерного увлажнения почвы в сосуде.
Посев культур проводился проращенными семенами на глубину 0.5 см. Бобы выращивали в закрытой теплице. Условия проведения вегетационного опыта контролировались с помощью регистратора температуры и влажности Elitech GSP-6 с автоматической записью каждый час. Вегетационный период составлял 38 дней. Диапазон температурного режима проведения вегетационных опытов составлял +20–+28оC, при среднем значении +23°C, влажности воздуха – 45–78٪, при среднем значении 69٪.
Во время вегетационного периода ежедневно проводился контроль массы сосудов с растениями и их долив водой до соответствующей влажности в каждом сосуде. Увеличением массы сосудов за счет прироста массы растений пренебрегали.
Для установления потребления влаги растениями для каждой точки дублировался сосуд с “черным паром”(рис. 1). Расчет потребляемой влаги растениями рассчитывали, как разницу между потерей массы в сосудах с растениями и “черным паром” одинаковой влажности. Поскольку масса растений в сосудах отличалась, проведен перерасчет потребления влаги к единице сухой массы растения. Результаты расчета потребления растениями влаги представлено на рис. 2.
Рис. 1 Пример контроля потребления влаги бобами, выращенными при влажности почвы 35٪.
Fig. 1. Example of monitoring moisture consumption of beans grown at 35٪ soil moisture.
Рис. 2. Среднее потребление влаги растениями в течение вегетационного периода.
Fig. 2. Average moisture consumption by plants during the growing season.
Подготовка проб
По окончании вегетационного периода надземную часть бобов срезали. Отобранные образцы растений сразу после отбора промывали водопроводной водой и ополаскивали дистиллированной водой.
Почву с корневой системой переворачивали на сито диаметром 3 мм, почву отсеивали, с поверхности сита проводили отбор корневой части. Образцы корней вначале промывали на сите водопроводной водой до полного осветления воды и отсутствия видимых частиц минеральной составляющей почвы. Далее корни отмывались под проточной водой при постоянном потирании поверхности пальцами рук с визуальным контролем до полного отсутствия частиц почвы в воде. Отмытые корни опускали в емкость с дистиллированной водой. Воду с корнями перемешивали в течение ∼1 мин, визуально контролируя отсутствие почвенных частиц на дне емкости. При обнаружении почвенных частиц проводили дополнительную отмывку корней.
Образцы надземной и корневой частей рассматриваемых просушивали в сушильном шкафу при температуре 75°C до постоянного веса в течение 10–20 ч.
Анализ проб Анализ содержания плутония
Анализ содержания 239+240Pu в образцах проводили методом, описанном в [14]. Сухие образцы почвы и растений помещали в керамические тигли, вносили 242Pu в качестве трассера и проводили отжиг в муфельной печи при температуре 500°С в течение 7–8 ч. Озоленную пробу количественно переносили в тефлоновый стакан и растворяли смесью концентрированных HF, HNO3 и HCl кислот до полного растворения с получением 7.5 моль/л HNO3 раствора объемом 50 см3.
Из полученного после разложения раствора отбирали 3 см3 для анализа количественного определения микро- и макроэлементов методами масс-спектрометрии с индуктивно-связанной плазмой (ИСП-МС) и атомно-эмиссионной спектрометрии с индуктивно-связанной плазмой (ИСП-АЭС).
В оставшийся раствор вносили 0.2–0.3 г NaNO₂ для стабилизации плутония в состоянии Pu4+. Радиохимическое выделение плутония проводилось методом ионообменной хроматографии на анионите АВ-17х8. Элюирование изотопов плутония проводили 5٪ раствором гидроксиламина солянокислого. Из полученного элюента методом соосаждения со фторидом лантана с последующей фильтрацией на мембране из полиэфирсульфона с максимальным размером пор 0.1 µм получали спектрометрические источники плутония.
Измерение удельной активности альфа-излучающих изотопов плутония в подготовленном источнике проводилось α-спектрометрическим методом в α-спектрометрах Alpha Duo, ORTEC в течение 24 ч. Расчет активности изотопов плутония (239Pu и 240Pu в сумме) выполнялся из соотношения регистрируемых импульсов, исходя из известной активности предварительно введенной в пробу изотопной метки 242Pu.
Анализ микро- и макроэлементов
Элементный анализ разложенных образцов почв и растительности выполнен методами масс-спектрометрии с индуктивно-связанной плазмой (МС-ИСП), на квадрупольном масс-спектрометре ELAN-9000 (PerkinElmer SCIEX) и оптико-эмиссионной спектрометрии с индуктивно-связанной плазмой (ОЭС-ИСП) на оптико-эмиссионном спектрометре двойного обзора OPTIMA-8000DV (Perkin Elmer Inc.).
На обоих инструментах использовали штатный поперечно-поточный распылитель с ритоновой распылительной камерой и типичные операционные параметры [15–17]. Для анализа Cd, Co, Cu, Pb использовали метод МС-ИСП, для Fe, Mg, Mn, Cr, Mo, Ni, Zn – ОЭС-ИСП.
Поскольку навески и концентрации элементов в образцах заметно варьируются, образцы разбавляли деионизованной водой (≤0.2 µS). Коэффициенты разбавления составили от 1 до 7.
Для коррекции инструментального дрейфа во все измеряемые пробы и градуировочные растворы ввели внутренние стандарты 103Rh 5 мкг/л (для МС-ИСП) и Sc 0.25 мг/л (для ОЭС-ИСП). Для приготовления градуировочных растворов использованы стандартные образцы (СО) состава металлов производства Perkin Elmer (США): N9300235 (10.0 мкг/мл Mo), N9300233 (10.0 мкг/мл As, Cd, Co, Cu, Pb, Fe, Mg, Mn, Cr, Ni, V, Zn). Приемлемость градуировочной характеристики определена по критерию R2 ≥ 0.9992, где R2 – величина достоверности аппроксимации линейной функции.
Обработка данных
Аналитическая обработка данных проводилась в программном комплексе Microsoft Excel 2019. Средние величины рассчитывались как среднее арифметическое. Погрешность представлена ошибкой среднего.
Результаты
Результаты анализа содержания рассматриваемых элементов в почве, надземной и корневой части бобов представлены в табл. 3.
Таблица 3. Содержание плутония, макро- и микроэлементов в почве, надземной и корневой части бобов сорта «Янтарные»
Table 3. Content of plutonium, macro- and microelements in the soil, above-ground and root parts of beans of the “Amber” variety
Вид | Орган | Влажность почвы | Содержание | |||||||||||
Fe | Mg | Mn | Cr | Mo | Ni | Zn | Cu | Co | Cd | Pb | Pu | |||
мг/кг | мкг/кг | Бк/кг | ||||||||||||
Бобы | Надземная часть | 15 | 26 ± 3 | 550 ± 61 | 190 ± 21 | 3.1 ± 0.3 | 0.89 ± 0.1 | 2.0 ± 0.3 | 11 ± 1 | 1.3 ± 0.2 | 110 ± 22 | 6.6 ± 2.0 | 59 ± 15 | 3.6 ± 1.0 |
20 | – | – | – | – | – | – | – | – | – | – | – | 5.2 ± 2.0 | ||
25 | 33 ± 4 | 600 ± 66 | 170 ± 19 | 1.7 ± 0.2 | 0.53 ± 0.06 | 0.96 ± 0.1 | 16 ± 2 | 0.70 ± 0.08 | 110 ± 22 | 4.1 ± 1.0 | 69 ± 17 | 1.9 ±0.60 | ||
30 | 26 ± 3 | 490 ± 54 | 120 ± 13 | 0.94 ± 0.1 | 0.43 ± 0.05 | 0.55 ± 0.07 | 20 ± 2 | 0.51 ± 0.06 | 110 ± 22 | 14 ± 4 | 120 ± 30 | 0.45 ± 0.10 | ||
35 | 13 ± 2 | 430 ± 47 | 90 ± 9 | 0.84 ± 0.09 | 0.44 ± 0.05 | 0.48 ± 0.06 | 16 ± 2 | 0.37 ± 0.04 | 71 ± 14 | 8.4 ± 3.0 | 48 ± 12 | 0.31 ± 0.09 | ||
40 | 9.4 ± 1 | 240 ± 26 | 45 ± 5 | 0.95 ± 0.1 | 0.36 ± 0.04 | 0.57 ± 0.07 | 8.9 ± 1.0 | 0.44 ± 0.05 | 30 ± 6 | 3.3 ± 1.0 | 30 ± 8 | 0.19 ± 0.06 | ||
Корни | 15 | 580 ± 64 | 1300 ± 140 | 290 ± 32 | 7.7 ± 0.8 | 2.1 ± 0.2 | 4.5 ± 0.6 | 21 ± 2 | 1.7 ± 0.2 | 990 ± 200 | 110 ± 33 | 750 ± 190 | 74 ± 20 | |
20 | 420 ± 46 | 1400 ± 150 | 350 ± 39 | 8.8 ± 1 | 2.6 ± 0.3 | 5.1 ± 0.7 | 42 ± 5 | 1.7 ± 0.2 | 1000 ± 200 | 200 ± 60 | 930 ± 230 | 68 ± 20 | ||
25 | 400 ± 44 | 1700 ± 190 | 360 ± 40 | 9.2 ± 1 | 1.8 ± 0.2 | 5.0 ± 0.7 | 33 ± 4 | 1.4 ± 0.2 | 890 ± 180 | 180 ± 54 | 460 ± 120 | 59 ± 20 | ||
30 | 460 ± 51 | 1100 ± 120 | 360 ± 40 | 4.9 ± 0.5 | 1.1 ± 0.1 | 2.5 ± 0.3 | 23 ± 3 | 1.2 ± 0.1 | 810 ± 160 | 190 ± 57 | 550 ± 140 | 39 ± 10 | ||
35 | 350 ± 39 | 1100 ± 120 | 350 ± 39 | 4.7 ± 0.5 | 1.8 ± 0.2 | 2.5 ± 0.3 | 28 ± 3 | 1.4 ± 0.2 | 620 ± 120 | 210 ± 63 | 490 ± 120 | 16 ± 5 | ||
40 | 150 ± 17 | 1400 ± 150 | 240 ± 26 | 7.8 ± 0.9 | 3.0 ± 0.3 | 4.5 ± 0.6 | 43 ± 5 | 1.0 ± 0.1 | 410 ± 82 | 110 ± 33 | 290 ± 73 | 96 ± 30 | ||
Почва | – | – | 220 ± 24 | 730 ± 80 | 37 ± 4 | 12 ± 1 | 36 ± 4 | 6.2 ± 0.8 | 10 ± 1 | 2.3 ± 0.3 | 1100 ± 220 | 94 ± 28 | 3200 ± 800 | 375 ± 52 |
Обсуждение
На основании результатов анализа проведен расчет коэффициентов накопления плутония, макро- и микроэлементов в образцах растений. Рассчитанные Кн представлены в табл. 4. Средние значения получены как среднее арифметическое.
Таблица 4. Коэффициенты накопления плутония, микро- и макроэлементов вегетативными органами бобов сорта “Янтарные”
Table 4. Transfer factors of plutonium, micro- and macroelements by the vegetative organs of beans of the “Amber” variety
Орган | Влажность почвы | Fe | Mg | Mn | Cr | Mo | Ni | Zn | Cu | Co | Cd | Pb | Pu |
Коэффициент накопления | |||||||||||||
10–1 | 10–1 | 100 | 10–1 | 10–2 | 10–1 | 100 | 10–1 | 10–1 | 10–2 | 10–2 | 10–3 | ||
Надземная часть | 15 | 1.2 ± 0.1 | 7.5 ± 0.8 | 5.1 ± 0.6 | 2.6 ± 3 | 2.5 ± 0.3 | 3.2 ± 0.4 | 1.1 ± 0.1 | 5.7 ± 0.7 | 1.0 ± 0.2 | 7.0 ± 2.0 | 1.8 ± 0.5 | 10 ± 2 |
20 | – | – | – | – | – | – | – | – | – | – | – | 15 ± 3 | |
25 | 1.5 ± 0.2 | 8.2 ± 0.9 | 4.6 ± 0.5 | 1.4 ± 2 | 1.5 ± 0.2 | 1.5 ± 0.2 | 1.6 ± 0.2 | 3.0 ± 0.4 | 1.0 ± 0.2 | 4.4 ± 1.0 | 2.2 ± 0.6 | 5.3 ± 1.3 | |
30 | 1.2 ± 0.1 | 6.7 ± 0.7 | 3.2 ± 0.4 | 0.78 ± 0.09 | 1.2 ± 0.1 | 0.89 ± 0.10 | 2.0 ± 0.2 | 2.2 ± 0.3 | 1.0 ± 0.2 | 15 ± 5 | 3.8 ± 1.0 | 1.3 ± 0.4 | |
35 | 0.59 ± 0.06 | 5.9 ± 0.6 | 2.4 ± 0.3 | 0.70 ± 0.08 | 1.2 ± 0.1 | 0.78 ± 0.10 | 1.6 ± 0.2 | 1.6 ± 0.2 | 0.65 ± 0.10 | 8.9 ± 3.0 | 1.5 ± 0.4 | 0.87 ± 0.26 | |
40 | 0.43 ± 0.05 | 3.3 ± 0.4 | 1.2 ± 0.1 | 0.80 ± 0.09 | 1.0 ± 0.1 | 0.92 ± 0.10 | 0.89 ± 0.10 | 1.9 ± 0.2 | 0.27 ± 0.05 | 3.5 ± 1.0 | 0.94 ± 0.20 | 0.53 ± 0.19 | |
Среднее | 0.98 | 6.3 | 3.3 | 1.3 | 1.5 | 1.5 | 1.4 | 2.9 | 0.78 | 7.8 | 2.0 | 5.5 | |
Корни | 15 | 26 ± 3 | 18 ± 2 | 7.8 ± 0.9 | 6.4 ± 0.7 | 5.8 ± 0.6 | 7.3 ± 0.9 | 2.1 ± 0.2 | 7.4 ± 0.9 | 9.0 ± 2.0 | 120 ± 40 | 23 ± 6 | 210 ± 60 |
20 | 19 ± 2 | 19 ± 2 | 9.5 ± 1.0 | 7.3 ± 0.8 | 7.2 ± 0.8 | 8.2 ± 1.0 | 4.2 ± 0.5 | 7.4 ± 0.9 | 9.1 ± 2.0 | 210 ± 60 | 29 ± 7 | 190 ± 60 | |
25 | 18 ± 2 | 23 ± 3 | 9.7 ± 1.0 | 7.7 ± 0.8 | 5.0 ± 0.6 | 8.1 ± 1.0 | 3.3 ± 0.4 | 6.1 ± 0.7 | 8.1 ± 2.0 | 190 ± 60 | 14 ± 4 | 170 ± 50 | |
30 | 21 ± 2 | 15 ± 2 | 9.7 ± 1.0 | 4.1 ± 0.5 | 3.1 ± 0.3 | 4.0 ± 0.5 | 2.3 ± 0.3 | 5.2 ± 0.6 | 7.4 ± 1.0 | 200 ± 60 | 7 ± 4 | 110 ± 30 | |
35 | 16 ± 2 | 15 ± 2 | 9.5 ± 1.0 | 3.9 ± 0.4 | 5.0 ± 0.6 | 4.0 ± 0.5 | 2.8 ± 0.3 | 6.1 ± 0.7 | 5.6 ± 1.0 | 220 ± 70 | 15 ± 4 | 45 ± 13 | |
40 | 6.8 ± 0.7 | 19 ± 2 | 6.5 ± 0.7 | 6.5 ± 0.7 | 8.3 ± 0.9 | 7.3 ± 0.9 | 4.3 ± 0.5 | 4.3 ± 0.5 | 3.7 ± 0.7 | 120 ± 40 | 9.1 ± 2.0 | 270 ± 80 | |
Среднее | 18 | 18 | 8.8 | 6.0 | 5.7 | 6.5 | 3.2 | 6.1 | 7.2 | 180 | 18 | 170 | |
Коэффициенты накопления плутония и сопутствующих элементов вегетативными органами
Полученные результаты существенно уточняют данные МАГАТЭ. Например, в публикации [2] дана оценка поглощения железа семенами и стручками бобовых культур, для которых диапазон Кн составляет 0.0002-0.14. Для надземной части бобовых культур, оценка накопления железа отсутствует. Полученное значение коэффициента накопления молибдена, равное 1.5, дополняет представленное значение Кн в публикациях МАГАТЭ, равное 5.4, которое было оценено по одному источнику.
Полученный в настоящей исследовании диапазон Кн(Zn) равный 0.9–2.0 со средним значением 1.4 хорошо согласуется с представленными коэффициентами накопления в публикациях МАГАТЭ [2–4] и в работах ВНИИРАЭ [5], имеющих диапазоны в 0.25-13 при среднем значении 0.9 и 0.22–4.16 при среднем 1.5, соответственно.
Диапазон накопления меди в 0.1–1.3 со средним значением 0.5 дополняет представленное значение Кн в публикациях МАГАТЭ, полученное по 1 источнику и составляющее 0.8. По данным ВНИИРАЭ [5], диапазон Кн мели оценивается в 0.01-1.4, со средним значением 0.8.
Полученный диапазон значений Кн для свинца, равный 0.0094–0.038 при среднем значении 0.02 входит в представленный диапазон значений Кн(Pb) в публикациях МАГАТЭ в 0.00046–4.9 [2–4], и ниже полученных во ВНИИРАЭ данных, составляющих диапазон от 0,4 до 24,9 при среднем значении 13 [5]. Возможно это связано с тем, что Кн(Pb) полученные в настоящем исследовании рассчитывались для бобов, выращенных на фоновых концентрациях ТМ в почвах. В то время как в обобщенных данных ВНИИРАЭ Кн свинца представлены для бобовых, выращенных на почвах с разной концентрацией свинца в почве, в том числе и с высокой.
Коэффициенты накопления плутония, полученные в ходе настоящей работы сопоставимы с Кн, представленными в литературных источниках. При этом для надземной части бобовых наблюдаются более высокие значения коэффициентов накопления плутония, чем значения Кн, представленные в публикациях МАГАТЭ. Так в настоящем исследовании среднее значение Кн надземной части бобов составило 5.4×10–3, что на порядок выше данных МАГАТЭ (5.6×10–4) [2–4] и на порядок ниже для дикорастущих бобовых культур территории чернобыльских выпадений (3.16×10–2) [6–10].
Характер распределения плутония в органах растений указывает, что наибольшие концентрации 239+240Pu наблюдаются в корнях, превышающие концентрации в надземной части до нескольких порядков. Величина превышения коэффициента накопления, рассчитанная как отношение Кн корнями к Кн для надземной части представлена на рис. 3.
Рис. 3. Величина превышения коэффициента накопления корневой системой по отношению к надземной части.
Fig. 3. The amount of excess of the transfer factor by the root system in relation to the above-ground part.
Разные виды растений накапливают в надземной части и корневой системе разные количества элементов [5, 18]. В литературных данных сведения о распределении ТМ по органам растений неоднозначны. В настоящей работе фиксируется превышение коэффициентов накопления рассматриваемых элементов в корневой части тест-культуры бобы (рис. 3).
Высокую разницу в накоплении плутония разными органами растений, достигающую двух порядков показывают результаты исследований миграции плутония в системе “почва–растение”, проведенных на территории СИП. Например, для томатов Кн для листьев и стеблей по данным [19] составляет 4.8×10–3 и 1.7×10–3 соответственно, в то время как для корневой части этот коэффициент оценивается в 2.9×10–1. Однако для некоторых культур не наблюдается более высоких концентраций плутония в корневой системе. Так для перца наибольший Кн н фиксируется в листьях 1.1 Кн×10–2, а для стеблей и корней он составляет 1.8 Кн×10–3 и 9.0×10–3.
В целом данные литературных источников свидетельствуют о превышении коэффициентов накопления плутония корневой системой в сравнении с надземной частью растений.
Зависимость Кн от влажности почвы
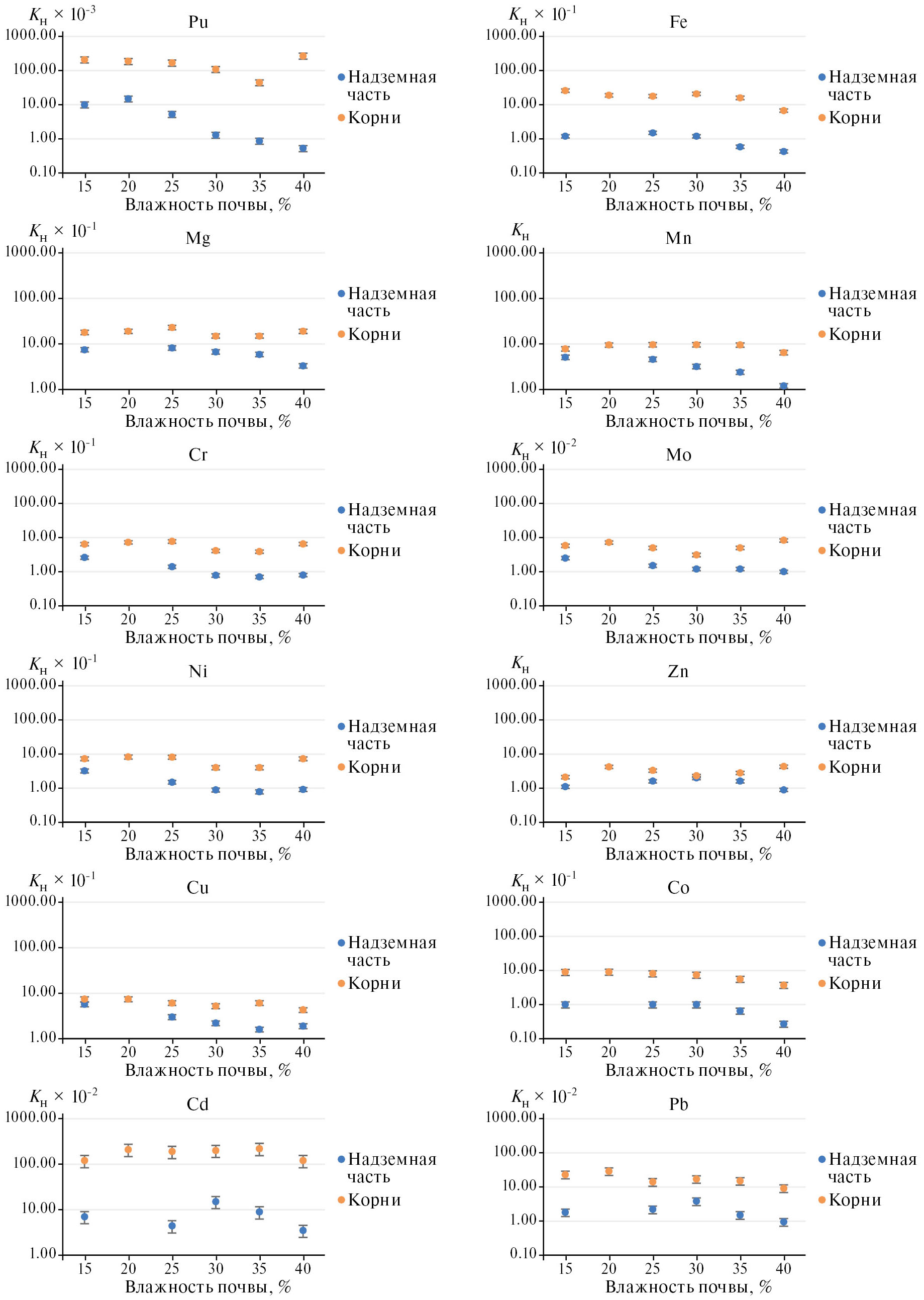
Зависимость коэффициентов накопления, полученных в ходе вегетационных опытов, от влажности почв представлена на рис. 4. Для сопоставления надземной и корневой частей бобов данные представлены в логарифмической шкале по оси ординат.
Рис. 4. Зависимость коэффициентов накопления плутония, микро- и макроэлементов в системе “почва— сельскохозяйственное растение” от влажности почв.
Рис. 4. Зависимость коэффициентов накопления плутония, микро- и макроэлементов в системе “почва— сельскохозяйственное растение” от влажности почв.
Анализ полученных в ходе вегетационных экспериментов Кн показывает, что особенности накопления плутония в зависимости от увлажненности почв неодинаковы для вегетативных органов бобов.
Из диаграммы 4 видно, что для надземной части бобов значение коэффициента накопления плутония с увеличением влажности почвы снижается. Так при абсолютной влажности почвы 15٪ Кн составил 1.0×10–2, что на два порядка выше, чем Кн при 40٪ влажности – 5.3×10–4.
Для большинства микро- и макроэлементов прослеживается тенденция снижения Кн от влажности почв для надземной части растений. В то же время не наблюдается какой-либо зависимости в накоплении Zn, Cd и Pb надземной частью бобов.
Для корневой части бобов не наблюдается однозначной зависимости в накоплении рассматриваемых элементов. Например, при абсолютной влажности почвы 15٪ Кн плутония составил 2.1×10–1, а при 40٪ влажности — 2.7×10–1.
На рис. 5 представлены количественные показатели изменчивости Кн (Pu), рассчитанной как отношение максимального значения Кн к минимальному.
Рис. 5. Изменчивость коэффициента накопления элементов, рассчитанная как отношение максимального значения к минимальному.
Fig. 5. Variability of the element transfer.
Данные диаграммы 5 свидетельствуют, что в целом изменчивость коэффициентов накопления рассматриваемых элементов выше для надземной части бобов. При этом зависимость накопления плутония от влажности почвы существенно выше, чем для других рассматриваемых элементов.
Изменение водного режима почвы приводит и к изменению окислительно-восстановительного потенциала почвы (ОВП). От величины ОВП зависит переход в раствор компонентов некоторых окислительно-восстановительных систем почвы. Например, ОВП ниже 200 мВ соответствуют резковосстановительным условиям, в которых протекают процессы преобразования и возникают восстановленные формы соединений железа и марганца, образуются сульфиты и нитриты. Накопление последних токсически действует на большинство культурных растений.
Влияние ОВП выражается в превращении минеральных веществ и прежде всего соединений элементов переменной валентности (азота, фосфора, серы, железа, марганца и др.). Так, при развитии контрастного окислительно-восстановительного режима в пахотных горизонтах почвы происходит накопление не силикатных подвижных соединений гидроксидов железа, которые связывают фосфор почвы и удобрений в трудноусвояемые растениями формы.
Другими факторами, влияющими на процесс миграции питательных веществ в системе “почва–растение”, являются процессы изменения в корнях растений при разном увлажнении почвы. Например, в условиях постоянной засухи стенки паренхимы корней становятся толще из-за усиления синтеза суберина, что замедляет отток поглощенных ионов в проводящие ткани и косвенно влияет на поглощение растениями новых ионов. С другой стороны, при избытке воды нарушается аэрация почвы. При этом недостаток кислорода влияет на дыхание корней, что приводит к нарушению поглощения солей. Кроме того, в условиях затопления корни плохо ветвятся и у них образуется мало корневых волосков, что также приводит к нарушению питания растений.
Длительное время транспирационный ток считался одним из обязательных условий поступления веществ из почвы в корень, а затем в надземные органы. Однако более поздние опыты показали, что количество поступивших в растение веществ непропорционально количеству прошедшей через него воды. Таким образом, существует несколько типов питания растений, независящих друг от друга с существенно различающимися механизмами [18].
Следует отметить, что экспериментальные данные потребления воды растениями (рис. 2) показывают увеличение транспирации с увеличением влажности почвы. При этом не наблюдается прямая зависимость в накоплении рассматриваемых элементов бобами. Следовательно, транспирационный ток не является определяющим путем поступления рассматриваемых элементов. Вероятнее всего перенос рассматриваемых микро- и макроэлементов, а также плутония осуществляется другими методами питания, например, с использованием мембранных транспортных белков или в процессе эндоцитоза и экзоцитоза.
Заключение
В ходе вегетационных экспериментов установлено, что накопление плутония, микро- и макроэлементов в зависимости от увлажненности почв неодинаково для отдельных органов бобовых.
Зависимость накопления плутония от влажности почвы существенно выше, чем для других рассматриваемых элементов. С увеличением влажности почвы наблюдается снижение коэффициента накопления плутония для надземной части бобов до двух порядков.
Для Fe, Mg, Mn, Cr, Mo, Ni, Co, Cu наблюдается тенденция к незначительному снижению коэффициентов накопления надземной частью бобов. Для Zn, Cd и Pb не выявлено зависимости накопления надземной частью бобов от влажности почвы.
Для корневой части бобовых зависимости коэффициентов накопления рассматриваемых элементов от влажности почв не наблюдается.
Таким образом, широкий диапазон коэффициентов накопления плутония, представленных в литературных данных, можно в значительной степени объяснить условиями произрастания растений и, в частности, влажностью почв.
Работа выполнена в рамках государственного задания 5ф6.4 “Создание научных основ мониторинга радиоактивно загрязненных территорий и разработка технологий возврата земель, подвергшихся радиоактивному воздействию, в сельскохозяйственный оборот”.
Конфликт интересов
Авторы заявили об отсутствии потенциального конфликта интересов.
About the authors
M. A. Edomskaya
Russian Institute of Radiology and Agroecology
Author for correspondence.
Email: ma.edomskaya@yandex.ru
ORCID iD: 0000-0002-3905-4087
Russian Federation, Obninsk
S. N. Lukashenko
Russian Institute of Radiology and Agroecology
Email: ma.edomskaya@yandex.ru
ORCID iD: 0000-0002-6146-4613
Russian Federation, Obninsk
A. A. Shupik
Russian Institute of Radiology and Agroecology
Email: ma.edomskaya@yandex.ru
ORCID iD: 0009-0000-4651-9199
Russian Federation, Obninsk
D. A. Zheltov
The Institute of nuclear physics
Email: ma.edomskaya@yandex.ru
ORCID iD: 0000-0002-0138-7484
Kazakhstan, Almaty
P. V. Kharkin
The Institute of nuclear physics
Email: ma.edomskaya@yandex.ru
ORCID iD: 0009-0000-3422-3833
Kazakhstan, Almaty
V. A. Makarova
The Institute of nuclear physics
Email: ma.edomskaya@yandex.ru
ORCID iD: 0000-0003-3615-141X
Kazakhstan, Almaty
References
- Актуальные вопросы радиоэкологии Казахстана. Вып. 3. Сб. трудов Института радиационной безопасности и экологии за 2011 г. Под рук. Лукашенко С.Н. Павлодар: Дом печати, 2011;3(2):396. [Topical issues of radioecology in Kazakhstan. Ed. by S.N. Lukashenko. Pavlodar: Dom pechati, 2011;3(2):396. ISBN: 978-601-7112-38-7. (In Russ.)].
- Balonov M. et al. Handbook of parameter values for the prediction of radionuclide transfer in terrestrial and freshwater environments. Technical Reports Series No. 472. IAEA, 2010.
- Barnett C. L., et al. Quantification of Radionuclide Transfer in Terrestrial and Freshwater Environments for Radiological Assessments. IAEA-TECDOC-1616. IAEA, 2009.
- Beresford N. A., Howard B.J. Handbook of parameter values for the prediction of radionuclide transfer to wildlife. Technical Reports Series No. 479. IAEA, 2014.
- Тяжелые металлы в агроценозах: миграция, действие, нормирование / Под ред. чл.-корр. РАН Н.И. Санжаровой, к.б.н. П.Н. Цыгвинцева. Обнинск: ФГБНУ ВНИИРАЭ, 2019. 398 с. [Heavy metals in agrocenoses: migration, effect, regulation / Ed. by N.I. Sanzharova, P.N. Tsygvintsev. Obninsk: RIRAE, 2019. 398 p. (In Russ.)].
- Спиров Р.К. Никитин А.Н., Чешик И.А., Король Р.А. Аккумуляция трансурановых элементов надземными и подземными органами сосудистых растений. Докл. Национальной академии наук Беларуси. 2017;61(2);51–57. [Spirov R.K., Nikitin A.N., Cheshik I.A., Korol R.A. Accumulation of transuranium elements by underground and aboveground organs of tracheophytes. Doklady Natsional’noj Akademii Nauk Belarusi. 2017;61(2):51–57. (In Russ.)].
- Тагай С.А. Дударева Н.В., Нилова Е.К. Параметры перехода 241Am, 239+240Pu в сельскохозяйственные культуры. Современные проблемы радиобиологии – 2021: Мат. междунар. научн. конф., Гомель, 23–24 сентября 2021 г. Минск: Информационно-вычислительный центр Министерства финансов Республики Беларусь. 2021. С. 166–169. [Tagay S.A. Dudareva N.V., Nilova E.K. Parameters of the transition of 241Am, 239+240Pu into agricultural crops. Modern problems of radiobiology – 2021: Proceedings of the international scientific conference, Gomel, September 23–24, 2021. Minsk: Information and Computing Center of the Ministry of Finance of the Republic of Belarus, 2021. 166–169. (In Russ.)].
- Шуранкова О.А. В.П. Кудряшов. Поступление трансурановых элементов (239+240Pu, 241Am) Чернобыльского происхождения в луговую растительность. Пробл. здоровья и экологии. 2006;1(7):67–71. [Shurankova О.А., Кudrjashov V.P. The transuranium elements (239+240Pu, 241Am) of the chernobyl parentage entering in a meadow plants. Problems of Health and Ecology. 2006;1(7):67–71. (In Russ.)].
- Lux D., Kammere, L., Rühm W., Wirth E. Cycling of Pu, Sr, Cs, and other longliving radionuclides in forest ecosystems of the 30-km zone around Chernobyl. Sci. Total Environ. 1995;(173):375–384. https://doi.org/10.1016/0048-9697(95)04741-7
- Sokolik, G. A., Ovsiannikova, S. V., Ivanova, T. G., & Leinova, S. L. Soil–plant transfer of plutonium and americium in contaminated regions of Belarus after the Chernobyl catastrophe. Environ. Int. 2004;30(7):939–947. https://doi.org/10.1016/j.envint.2004.03.003
- Kozhakhanov T.E., Lukashenko S.N., & Larionova N.V. Accumulation of artificial radionuclides in agricultural plants in the area used for surface nuclear tests. J. Environ. Radioact. 2014;(137):217–226. https://doi.org/10.1016/j.jenvrad.2014.06.026
- Larionova N.V., Lukashenko S.N., Kabdyrakova A.M., Kunduzbayeva A.Y., Panitskiy A.V., & Ivanova A.R. Transfer of radionuclides to plants of natural ecosystems at the Semipalatinsk Test Site. J. Environ. Radioact. 2018;(186):63–70. https://doi.org/10.1016/j.jenvrad.2017.09.006
- Агрохимия: Учебник для сельскохозяйственных вузов. Под ред. В.М. Клечковского и А.В. Петербургского. 2-е изд., испр. и доп. М.: Колос, 1967. 584 с. [Agrochemistry: A textbook for agricultural. Ed. by V.M. Klechkovsky, A.V. Petersburg. 2nd ed., Corrected. and additional Moscow: Kolos, 1967. 584 p. (In Russ.)].
- Edomskaya M.A., Lukashenko S.N., Stupakova G.A. et al. Estimation of radionuclides global fallout levels in the soils of CIS and eastern Europe territory. J. Environ. Radioact. 2022;(247):106865. https://doi.org/10.1016/j.jenvrad.2022.106865
- СТ РК ИСО 17294-1-2011 Качество воды. Применение масс-спектрометрии с индуктивно-связанной плазмой (ИСП-МС). Ч. 1: Общее руководство. Доступно по: https://online.zakon.kz/Document/?doc_id=31610236&pos=2;-108#pos=2;-108 Ссылка активна 06.12.2022.
- СТ РК ИСО 17294-2-2006 Качество воды. Применение масс-спектрометрии с индуктивно-связанной плазмой (ИСП-МС). Ч. 2. Доступно по: https://online.zakon.kz/Document/?doc_id=30371803 Ссылка активна 06.12.2022.
- ПНД.Ф 16.2.2.2.3.71-2011 Количественный химический анализ почв. Методика выполнения измерений массовых долей металлов в осадках сточных вод, донных отложениях, образцах растительного происхождения спектральными методами. Доступно по: http://gostrf.com/normadata/1/4293793/4293793107.pdf Ссылка активна 06.12.2022.
- Физиология растений. В 2 т. Т. 2: Учебник для вузов. В.В. Кузнецов, Г.А. Дмитриева. 4-е изд., перераб. и доп. М.: Изд-во Юрайт, 2021. 459 с. [Plant Physiology. In 2 v. V. 2: Textbook for universities. V.V. Kuznetsov, G.A. Dmitriev. 4th ed., revised. and additional. Moscow: Yurayt Publishing House, 2021. 459 p. (In Russ.)].
- Лукашенко С.Н., Эдомская М.А. Плутоний в окружающей среде: источники, механизмы распространения, концентрации. Радиац. биология. Радиоэкология. 2021;61(4):394–424. [Lukashenko S.N., Edomskaya M.A. Plutonium in the environment: sources, dissemination mechanisms, concentrations. Radiation biology. Radioecology. 2021;61(4):394–424. (In Russ.)]. https://doi.org/10.31857/S086980312104007X
Supplementary files







